CAS 83905-01-5
:Azitromicina
Descripción:
Azitromicina es un antibiótico macrólido caracterizado por su actividad de amplio espectro contra diversas infecciones bacterianas. Se deriva de la eritromicina y es conocido por su estructura única, que incluye un gran anillo de lactona y varios moieties de azúcar. Azitromicina se administra típicamente por vía oral y es notable por su vida media prolongada, lo que permite una dosificación una vez al día y cursos de tratamiento más cortos en comparación con otros antibióticos. Actúa inhibiendo la síntesis de proteínas bacterianas al unirse a la subunidad ribosomal 50S, previniendo efectivamente el crecimiento de bacterias. Azitromicina es eficaz contra una variedad de patógenos, incluidos aquellos responsables de infecciones respiratorias, infecciones cutáneas y enfermedades de transmisión sexual. Generalmente es bien tolerado, con efectos secundarios comunes que incluyen trastornos gastrointestinales. Además, tiene propiedades antiinflamatorias, que pueden ser beneficiosas en el tratamiento de ciertas condiciones más allá de las infecciones bacterianas. Su farmacocinética, que incluye una buena penetración en los tejidos y acumulación en las células, contribuye a su eficacia en el tratamiento de infecciones. Azitromicina también se incluye en regímenes de tratamiento para ciertas infecciones atípicas y a menudo se utiliza en terapias combinadas.
Fórmula:C38H72N2O12
InChI:InChI=1S/C38H72N2O12/c1-15-27-38(10,46)31(42)24(6)40(13)19-20(2)17-36(8,45)33(52-35-29(41)26(39(11)12)16-21(3)48-35)22(4)30(23(5)34(44)50-27)51-28-18-37(9,47-14)32(43)25(7)49-28/h20-33,35,41-43,45-46H,15-19H2,1-14H3/t20-,21-,22+,23-,24-,25+,26+,27-,28+,29-,30+,31-,32+,33-,35+,36-,37-,38-/m1/s1
Clave InChI:InChIKey=MQTOSJVFKKJCRP-BICOPXKESA-N
SMILES:O([C@@H]1[C@@H](C)[C@H](O[C@H]2C[C@](OC)(C)[C@@H](O)[C@H](C)O2)[C@@H](C)C(=O)O[C@H](CC)[C@@](C)(O)[C@H](O)[C@@H](C)N(C)C[C@H](C)C[C@@]1(C)O)[C@H]3[C@H](O)[C@@H](N(C)C)C[C@@H](C)O3
Sinónimos:- (2R,3S,4R,5R,8R,10R,11R,12S,13S,14R)-13-[(2,6-Dideoxy-3-C-methyl-3-O-methyl-α-<span class="text-smallcaps">L</smallcap>-ribo-hexopyranosyl)oxy]-2-ethyl-3,4,10-trihydroxy-3,5,6,8,10,12,14-heptamethyl-11-[[3,4,6-trideoxy-3-(dimethylamino)-β-<smallcap>D</span>-xylo-hexopyranosyl]oxy]-1-oxa-6-azacyclopentadecan-15-one
- (2R,3S,4R,5S,6R,8R,11S,12R,13R,14S)-5-[(2S,3R,4S,6R)-4-(dimethylamino)-3-hydroxy-6-methyl-tetrahydropyran-2-yl]oxy-14-ethyl-6,12,13-trihydroxy-3-[(2S,4R,5S,6R)-5-hydroxy-4-methoxy-4,6-dimethyl-tetrahydropyran-2-yl]oxy-2,4,6,8,10,11,13-heptamethyl-15-oxa-10-azacyclopentadecan-1-one
- 1-Oxa-6-azacyclopentadecan-15-one, 13-[(2,6-dideoxy-3-C-methyl-3-O-methyl-α-<span class="text-smallcaps">L</smallcap>-ribo-hexopyranosyl)oxy]-2-ethyl-3,4,10-trihydroxy-3,5,6,8,10,12,14-heptamethyl-11-[[3,4,6-trideoxy-3-(dimethylamino)-β-<smallcap>D</span>-xylo-hexopyranosyl]oxy]-, (2R,3S,4R,5R,8R,10R,11R,12S,13S,14R)-
- 1-Oxa-6-azacyclopentadecan-15-one, 13-[(2,6-dideoxy-3-C-methyl-3-O-methyl-α-<span class="text-smallcaps">L</smallcap>-ribo-hexopyranosyl)oxy]-2-ethyl-3,4,10-trihydroxy-3,5,6,8,10,12,14-heptamethyl-11-[[3,4,6-trideoxy-3-(dimethylamino)-β-<smallcap>D</span>-xylo-hexopyranosyl]oxy]-, [2R-(2R*,3S*,4R*,5R*,8R*,10R*,11R*,12S*,13S*,14R*)]-
- 1-Oxa-6-azacyclopentadecan-15-one, 13-[(2,6-dideoxy-3-C-methyl-3-O-methyl-α-L-ribo-hexopyranosyl)oxy]-2-ethyl-3,4,10-trihydroxy-3,5,6,8,10,12,14-heptamethyl-11-[[3,4,6-trideoxy-3-(dimethylamino)-β-D-xylo-hexopyranosyl]oxy]-, (2R,3S,4R,5R,8R,10R,11R,12S,13S,14R)-
- 1-Oxa-6-azacyclopentadecan-15-one, 13-[(2,6-dideoxy-3-C-methyl-3-O-methyl-α-L-ribo-hexopyranosyl)oxy]-2-ethyl-3,4,10-trihydroxy-3,5,6,8,10,12,14-heptamethyl-11-[[3,4,6-trideoxy-3-(dimethylamino)-β-D-xylo-hexopyranosyl]oxy]-, [2R-(2R*,3S*,4R*,5R*,8R*,10R*,11R*,12S*,13S*,14R*)]-
- 1-Oxa-6-azacyclopentadecan-15-one,13-((2,6-dideoxy-3-C-methyl-1-3-O-methyl-alpha-L-ribo-hexopyranosyl)-oxy)-2-ethyl-3,4,10-trihydroxy-3,5,6,8,10,12,14-heptamethyl-11-((3,4,6-trideoxy-3-(dimethylamino)-beta-D-xylo-hexopyranosyl)oxy)
- 11-(4-Dimethylamino-3-Hydroxy-6-Methyl-Oxan-2-Yl)Oxy-2-Ethyl-3,4,10-Tr
- 9-Deoxo-9-methyl-9a-aza-9-homoerythromycin A
- 9-Deoxo-9a-methyl-9a-aza-9a-homoetrythromycin A
- 9-deoxo-9a-methyl-9a-aza-homoerythromycin A
- Aruzilina
- Arzomicin
- Auricin
- Auricin (polyketide antibiotic)
- AzaSite
- Azadose
- Azatril
- Azee
- Azenil
- Azimin
- Aziromycin
- Azisara
- Azithral
- Azithrocin
- Azithromycin A
- Azithromycine
- Azitrocin
- Azitromax
- Aziwin
- Aziwok
- Azomycin
- Azomycin (macrolide)
- Aztrin
- Cp 62993
- Durasite
- Hemomycin
- Macromycin
- Macrozit
- N-methyl-11-aza-10-deoxo-10-dihydroerythromycin A
- Sanhe
- Setron
- Shimen
- Sumamed
- Sumazid
- Tobil
- Tridosil
- Tromix
- Trozocina
- Ultreon
- Xithron
- Xithrone
- Xz 405
- Xz 450
- Zeto
- Zi-Factor
- Zifin
- Zistic
- Zithromac
- Zithromax
- Zithromax IV
- Zitrim
- Zitrocin
- Zitromax
- Zythromax
- Ver más sinónimos
Ordenar por
Pureza (%)
0
100
|
0
|
50
|
90
|
95
|
100
Se han encontrado 17 productos.
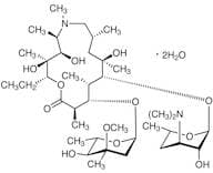
Azithromycin Dihydrate
CAS:Fórmula:C38H72N2O12·2H2OPureza:>98.0%(N)Forma y color:White powder to crystalPeso molecular:785.03Azithromycin
CAS:AzithromycinFórmula:C38H72N2O12Pureza:By hplc: 97.7% by area (Typical Value in Batch COA)Forma y color:White Solid-PowderPeso molecular:748.984481-Oxa-6-azacyclopentadecan-15-one, 13-[(2,6-dideoxy-3-C-methyl-3-O-methyl-α-L-ribo-hexopyranosyl)oxy]-2-ethyl-3,4,10-trihydroxy-3,5,6,8,10,12,14-heptamethyl-11-[[3,4,6-trideoxy-3-(dimethylamino)-β-D-xylo-hexopyranosyl]oxy]-, (2R,3S,4R,5R,8R,10R,11R,12S,13S,14R)-
CAS:Fórmula:C38H76N2O14Pureza:98%Forma y color:SolidPeso molecular:785.0150GB 31660.1-2019 Macrolide Antibiotics Mixture 167 100 µg/mL in Methanol
CAS:Producto controladoForma y color:MixtureAzithromycin
CAS:Azithromycin (CP 62993) is a macrolide antibiotic that primarily targets the 50S subunit of bacterial ribosomes. High-Quality, Low-Cost!Fórmula:C38H72N2O12Pureza:99.9% - 99.97%Forma y color:White To Off-White Solid CrystallinePeso molecular:748.98Azithromycin-13CD3
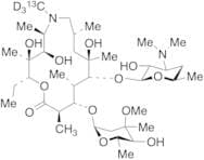
CAS:Producto controladoApplications Labelled Azithromycin, a semi-synthetic macrolide antibiotic; related to Erythromycin A. Antibacterial.
References Langtry, H.D., et al.: Drugs, 56, 273 (1998),Fórmula:C3713CH69D3N2O12Forma y color:NeatPeso molecular:753.0Azithromycin
CAS:Applications Azithromycin is an azalide macrolide antibiotic.
References Hunter, R., et al.: J. Vet. Pharmacol. Ther., 26, 117 (2003);Fórmula:C38H72N2O12Forma y color:NeatPeso molecular:748.98Azithromycin-d5
CAS:Producto controladoApplications Azithromycin-d5, is the labeled analogue Azithromycin (A927000), a semi-synthetic macrolide antibiotic; related to Erythromycin A. Antibacterial.
References Langtry, H.D., et al.: Drugs, 56, 273 (1998),Fórmula:C38H67D5N2O12Forma y color:NeatPeso molecular:754.02Azithromycin, Antibiotic for Culture Media Use Only
CAS:Azithromycin is a fine chemical that is useful as a scaffold, building block, and intermediate. Azithromycin has been used in research to study the structure of enzymes and other proteins. It is also useful as a reaction component in organic synthesis. This compound has many uses including as a reagent and as a speciality chemical. Azithromycin is used to produce high-quality laboratory chemicals for use in research.Fórmula:C38H72N2O12Pureza:Min. 97.0 Area-%Peso molecular:748.98 g/molRef: 3D-A-9941
-Unit-ggA consultar25gA consultar50gA consultar100gA consultar250gA consultar500gA consultarAzithromycin
CAS:A broad-spectrum antibiotic of macrolide class which targets 50S ribosome subunit and inhibits protein synthesis. Azithromycin is a semi-synthetic acid-stable derivative of erythromycin. In vitro, azithromycin is more efficient than erythromycin in some Gram-negative organisms such as Haemophilus influenzae, Haemophilus parainfluenzae, Moraxella catarrhalis, Neisseria gonorrhoeae and Borrelia burgdorferi.Fórmula:C38H72N2O12Pureza:945.0 To 1030.0 U/MgForma y color:White PowderPeso molecular:748.98 g/molAzithromycin
CAS:(2R,3S,4R,5R,8R,10R,11R,12S,13S,14R)-11-(((2S,3R,4S,6R)-4-(Dimethylamino)-3-hydroxy-6-methyltetrahydro-2H-pyran-2-yl)oxy)-2-ethyl-3,4,10-trihydroxy-13-(((2R,4R,5S,6S)-5-hydroxy-4-methoxy-4,6-dimethyltetrahydro-2H-pyran-2-yl)oxy)-3,5,6,8,10,12,14-heptamethyl-1-oxa-6-azacyclopentadecan-15-oneFórmula:C38H72N2O12Pureza:98% (hydrate)Peso molecular:748.98











