
Carbohidratos y glucoconjugados
Los carbohidratos son compuestos orgánicos formados por carbono, hidrógeno y oxígeno, y su estructura básica está constituida por monosacáridos. Estos se pueden unir para formar disacáridos, oligosacáridos o polisacáridos, dependiendo de la cantidad de unidades monoméricas. Los carbohidratos tienen un papel fundamental en el almacenamiento de energía, la estructura celular y la comunicación celular. Sus derivados se utilizan en productos farmacéuticos, como edulcorantes y excipientes.
En CymitQuimica disponemos de una amplia variedad de carbohidratos y sus derivados para investigación y aplicaciones industriales.
Se han encontrado 5013 productos de "Carbohidratos y glucoconjugados"
Ordenar por
Pureza (%)
0
100
|
0
|
50
|
90
|
95
|
100
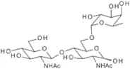
Lewis B tetrasaccharide
CAS:<p>Lewis B tetrasaccharide (LBT) is a glycosylated oligosaccharide that is found in the outer membrane of human pathogens, such as Helicobacter pylori. LBT has been shown to inhibit the growth of cancer cells and may be used as a potential therapeutic agent for cancer treatment. It has also been shown to have structural features similar to those found in inflammatory bowel disease patients, suggesting that it may play a role in regulating bowel inflammation. LBT is recognized by monoclonal antibodies and can be used to detect H. pylori in biological samples. Lewis B tetrasaccharide binds with methyl glycosides on human erythrocytes, which inhibits the polymerase chain reaction (PCR). This inhibition leads to reduced DNA synthesis and a decrease in bacterial replication, making it an effective antimicrobial agent.</p>Fórmula:C26H45NO19Pureza:Min. 90%Forma y color:White PowderPeso molecular:675.63 g/molDermatan sulphate tetrasaccharide ammonium salt
<p>Dermatan sulphate tetrasaccharide ammonium salt is a synthetic, high purity oligosaccharide that is also known as Dermatan sulfate. Dermatan sulfate is a complex carbohydrate that is composed of a repeating sequence of three monosaccharides: glucuronic acid, N-acetylgalactosamine and N-acetylglucosamine. Dermatan sulfate has been shown to have an inhibitory effect on the growth of bacteria such as Staphylococcus aureus and Mycobacterium tuberculosis. This molecule can be modified to include fluorination or methylation for custom synthesis.</p>Pureza:Min. 95%Maltotriose - Technical
CAS:<p>Starch breakdown product</p>Fórmula:C18H32O16Pureza:Min. 90.0 Area-%Forma y color:PowderPeso molecular:504.44 g/mol5-Cyclohexylpentyl-4-O-(a-D-glucopyranosyl)-b-D-glucopyranoside
CAS:<p>The glycosylation process is a chemical reaction in which an organic molecule is attached to a sugar or other carbohydrate. The product of this process is known as a glycoside. Glycosylations are important in the synthesis of complex carbohydrates and glycoconjugates. The most common glycosidic bond that is formed is between the hydroxyl group of a saccharide (such as glucose) and the amino group of another saccharide (such as N-acetylglucosamine). The most common type of glycosylation reaction is the formation of an O-glycosidic bond between two sugars, such as glucose and N-acetylgalactosamine, to form the disaccharide lactose. There are many different types of glycosylations, including methylation, Click modification, fluorination, saccharide modification, and custom synthesis.<br>Methylation: Methylation is a chemical reaction where one or more hyd</p>Fórmula:C23H42O11Pureza:Min. 95%Forma y color:PowderPeso molecular:494.57 g/molMan-9 N-Glycan
CAS:<p>Man-9 N-glycan is a glycoprotein that is found on the surface of many viruses. It has an oligosaccharide structure, which consists of a mannose and a glucose molecule linked by an alpha-1,3-glycosidic bond. The Man-9 N-glycan can be found in human serum and is involved in lectin binding to cells. It also has antiviral activity and may be used as a model system for studying glycosidic bonds. This glycan can be broken down into smaller components by methyl glycosides or titration calorimetry, which is a technique for determining the molecular weight of substances. The Man-9 N-Glycan binds to toll-like receptor 2 (TLR2) on the surface of human cells, which activates an antibody response.</p>Fórmula:C70H118N2O56Pureza:Min. 95%Forma y color:PowderPeso molecular:1,883.67 g/molN2F N-Glycan
CAS:<p>N2F N-Glycan is a custom synthesis, modification and fluorination product that contains a methylated monosaccharide and a saccharide. The saccharide is glycosylated with a complex carbohydrate, which is composed of many sugar molecules. This product can be used for the modification of proteins, peptides and nucleic acids. It can also be used to synthesize oligosaccharides or polysaccharides.</p>Fórmula:C22H38N2O15Pureza:Min. 95 Area-%Forma y color:White PowderPeso molecular:570.54 g/molD-Galactopyranosyl-(b1-3)-[N-acetylneuraminyl-(a2-6)]-D-N-acetylgalactosaminyl serine-biotin
<p>D-Galactopyranosyl-(b1-3)-[N-acetylneuraminyl-(a2-6)]-D-N-acetylgalactosaminyl serine-biotin is a Glycosylation, complex carbohydrate. It is a Methylation, Click modification, Polysaccharide. This product is Fluorinated.</p>Pureza:Min. 95%Robinose
CAS:<p>Robinose is a flavonoid derivative that is used as a conditioning agent in animal health products. It has been shown to increase the efficacy of an antigen by enhancing the immune response. Robinose also has enzyme activities and has been shown to work synergistically with other flavonoids such as quercetin. In addition, it can be used as an analytical method for glycan structures. Robinose is typically produced from the hydrolysis of flavonol glycosides found in plants such as raspberries, blackberries, and blueberries. It can also be extracted from sugar beet molasses or sugar cane molasses.</p>Fórmula:C12H22O10Pureza:Min. 95%Peso molecular:326.3 g/molPenta-mannuronic acid sodium
<p>b1-4 penta mannuronosaccharide-from alginate by enzyme or acid hydrolysis</p>Fórmula:C30H37O31Na5Pureza:Min. 95%Forma y color:White PowderPeso molecular:1,008.55 g/molManninotriose
CAS:<p>Manninotriose is a mannose-containing oligosaccharide that has been found to have high resistance against enzymes. This mannose-containing oligosaccharide can be used as a biomarker for the detection of activated macrophages in biological samples, such as serum and urine. It is also used as an activator of monoclonal antibodies, which are used in the diagnosis of autoimmune diseases. Manninotriose may act as a signal peptide for the activation of enzyme activities, such as glycosyl transferase reactions and caffeic acid hydrolase.</p>Fórmula:C18H32O16Pureza:Min. 95 Area-%Forma y color:White Off-White PowderPeso molecular:504.44 g/mol1,2,3,6-Tetra-O-acetyl-4-O-(2,3,6-tri-O-acetyl-4-O-(2,3,4,6-tetra-O-acetyl-a-D-glucopyranosyl)-a-D-glucopyranosyl)-b-D-thioglucopyra nose
<p>1,2,3,6-Tetra-O-acetyl-4-O-(2,3,6-tri-O-acetyl-4-O-(2,3,4,6-tetra-O-acetylaDglucopyranosyl)-aDglucopyranosyl)-bDthioglucopyra nose is a sugar with the chemical formula C27H42O14. This compound is synthesized by the glycosylation of 1,2,3,6 tetra O acetyl 4 O (2 3 6 tri O acetyl 4 O (2 3 4 6 tetra O acetyl a D glucopyranosyl) a D glucopyranosyl) b D thioglucopyrazine with 2 3 6 tri O acetate 4 O (2 3 4 6 tetra O acetate a D glucopyranoside a D glucopyranoside</p>Fórmula:C40H54O26SPureza:Min. 95%Peso molecular:982.91 g/molHyaluronate rhodamine - Molecular Weight - 10kDa
<p>Hyaluronate rhodamine is a fluorescent dye that is used in molecular biology to visualize the distribution of intracellular glycoconjugates. It is a water-soluble, cationic dye that binds to negatively charged saccharides and glycosaminoglycans. The dye fluoresces when bound to these molecules, making it useful for detecting the distribution of glycoproteins in cells. Hyaluronate rhodamine can be used as a marker for carbohydrate-rich tissues such as cartilage, synovial fluid, and vitreous humor. This dye can also be used to detect glycoconjugates on the surface of cells and in extracellular spaces.</p>Pureza:Min. 95%1,6:2,3-Dianhydro-4-O-(2,3-di-O-benzyl-b-D-glucopyranosyl)-b-D-mannopyranose
<p>This compound is a sugar molecule that is used in the synthesis of complex carbohydrates. It can be custom synthesized to have a desired purity and monomer content. It is also an intermediate for the synthesis of other saccharides. This compound is fluorinated at the 6-position and glycosylated at the 2-position, which makes it water soluble. The CAS number for this compound is 58427-42-6.</p>Fórmula:C26H30O9Pureza:Min. 95%Peso molecular:486.51 g/molNGA3 Glycan, 2-AB labelled
<p>NGA3 Glycan, 2-AB labelled is an oligosaccharide that is a complex carbohydrate. It is a polysaccharide that contains saccharides, which are sugars. The saccharides in this compound are monosaccharides, which are single sugar units. This compound has been modified and can be used for the detection of methylation.</p>Pureza:Min. 95%Blood Group H type I trisaccharide-PAA-biotin
<p>Blood group antigen conjugated to spacer and biotin</p>Pureza:Min. 95 Area-%Forma y color:PowderPeso molecular:586.6 g/molD-Cellotriose undecaacetate
CAS:<p>D-Cellotriose undecaacetate is a glycosylation product of cellobiose and erythritol. It is a methylated polysaccharide, which is an oligosaccharide that contains a single sugar unit. This compound can be custom synthesized and has high purity. D-Cellotriose undecaacetate is used in the synthesis of polysaccharides in the food industry and for medical purposes as a drug delivery system.</p>Fórmula:C40H54O27Pureza:Min. 95%Forma y color:White To Off-White SolidPeso molecular:966.84 g/mol1,2-a-1,2-a-L-Rhamnotriose
<p>1,2-a-1,2-a-L-Rhamnotriose is a carbohydrate that can be modified to suit your needs. It has a CAS number of 57749-83-5. This oligosaccharide is a sugar made up of two monosaccharides joined by an alpha 1,2 glycosidic bond. The product can be custom synthesized and its purity is high. It can be fluorinated or methylated and it can also be glycosylated. Click modification is also possible with this product.</p>Fórmula:C18H32O13Pureza:Min. 95%Forma y color:White PowderPeso molecular:456.44 g/molD-Turanose
CAS:<p>Turanose is a reducing analog of sucrose that is not metabolized by higher plants, but rather acquired through the action of sucrose transporters for intracellular carbohydrate signaling. In addition to its involvement in signal transduction, D-(+)-turanose can also be used as a carbon source by many organisms including numerous species of bacteria and fungi.</p>Fórmula:C12H22O11Pureza:Min. 98 Area-%Forma y color:White PowderPeso molecular:342.3 g/molSialylglycopeptide
CAS:<p>Starting material for semi-synthesis of N-glycans</p>Fórmula:C112H189N15O70Pureza:(Hplc) Min. 95%Forma y color:White PowderPeso molecular:2,865.76 g/molMurNAc-6-phosphate-GlcNAc
<p>MurNAc-6-phosphate-GlcNAc is a complex carbohydrate that is composed of a glycosylation, methylation, and fluorination. It is an important component in polysaccharides and oligosaccharides. This compound has been modified with Click chemistry to form a reactive site for incorporation of a variety of molecules such as fluorophores, biotin, or other small molecules. This compound can be synthesized using custom synthesis methods and has CAS number 106579-01-4. MurNAc-6-phosphate-GlcNAc is available in high purity and can be custom synthesized to specific needs.</p>Pureza:Min. 95%2,3,6,2',3',4',6'-Hepta-O-acetyl-a-D-cellobiosyl bromide
CAS:<p>2,3,6,2',3',4',6'-Hepta-O-acetyl-a-D-cellobiosyl bromide is a naturally occurring trisubstituted steroidal glycoside. It is insoluble in water and activated by chloride ions. 2,3,6,2',3',4',6'-Hepta-O-acetyl-a-D-cellobiosyl bromide has been shown to have antiviral properties in mammalian tissue cultures. This compound also has potential use as an ingredient in skin care products due to its ability to inhibit the production of fatty acids that are essential for the replication of viruses.<br>2,3,6,2',3',4',6'-Hepta-O-acetyl-a-D-cellobiosyl bromide can be found in microalgae and food composition as a nutrient.</p>Fórmula:C26H35BrO17Pureza:Min. 95%Forma y color:White PowderPeso molecular:699.45 g/mol4,6-O-Benzylidene-D-maltose
CAS:<p>4,6-O-Benzylidene-D-maltose is an oligosaccharide that is a high purity custom synthesis. It has a Click modification and can be synthesized using the Fluorination and Glycosylation reaction. 4,6-O-Benzylidene-D-maltose is soluble in water and ethanol, but insoluble in ether. This product is listed as CAS No. 93417-41-5 and has a Methylation modification. 4,6-O-Benzylidene-D-maltose is also found in saccharides, carbohydrates, and complex carbohydrates.</p>Fórmula:C19H26O11Pureza:Min. 95%Forma y color:PowderPeso molecular:430.4 g/molDi-N-acetyl-D-lactosamine
<p>Di-N-acetyl-D-lactosamine (DNL) is a sugar that is found in the mammalian tissues and can be used as a lectin to specifically bind to glycoproteins. It has been shown to have specificities for enteritis, and can be used to detect or analyze the sequences of oligosaccharides. DNL has been immobilized on silica gel, which was then reacted with lectins, such as concanavalin A, wheat germ agglutinin, and soybean agglutinin. This process allows for the detection of high-mannose-type oligosaccharides.</p>Fórmula:C28H48N2O21Pureza:Min. 95%Forma y color:PowderPeso molecular:748.68 g/molBenzyl 4-O-{4-O-[[2,4-di-O-acetyl-3-O-[2,4-di-O-(3,4,6-tri-O-acetyl-2-deoxy-2-phthalimido-b-D-glucopyranosyl)-3,6-di-O-benzyl-a-D-ma nnopyranosyl]-6-O-[3,4-di-O-acetyl-2,6-di-O-(3,4,6-tri-O-acetyl-2-deoxy-2-phthalimido-b-D-glucopyranosyl)-a-D-mannopyr
CAS:<p>The benzyl group is a type of organic group in which the hydrogen atom at the alpha position is replaced with a phenyl group. In this compound, the benzyl group is attached to a sugar molecule through an ether bond. The benzyl group can be modified to produce different compounds. For example, it can be fluorinated to produce fluoro-benzyl compounds that are used as anti-cancer agents.</p>Fórmula:C203H206N6O71SPureza:Min. 95%Peso molecular:3,897.87 g/mol1-(3'-Azidopropyl)-2-deoxy-4-O-[3-O-(p-phenoxybenzyl)-b-D-galactopyranosyl]-2-phthalimido-b-D-glucopyranoside
<p>1-(3'-Azidopropyl)-2-deoxy-4-O-[3-O-(p-phenoxybenzyl)-b-D-galactopyranosyl]-2-phthalimido-b-D-glucopyranoside is a modification of an oligosaccharide. It is synthesized by the methylation and glycosylation of a monosaccharide, then fluorinated and saccharified. 1-(3'-Azidopropyl)-2-deoxy-4-O-[3-O-(p-phenoxybenzyl)-b -D -galactopyranosyl]-2 -phthalimido b -D -glucopyranoside is a white powder that can be used in the synthesis of complex carbohydrates.</p>Pureza:Min. 95%3-(b-D-Mannopyranosyl)-D-rhamnose
<p>3-(b-D-Mannopyranosyl)-D-rhamnose is a custom synthesized carbohydrate that is modified by fluorination. It is also a complex carbohydrate with an Oligosaccharide, sugar, and a Monosaccharide. 3-(b-D-Mannopyranosyl)-D-rhamnose has high purity and can be used for methylation, glycosylation, or Click modifications. Click modification is an organic chemistry technique that uses a copper ion to add chemical groups to the surface of molecules. This provides access to new functionalities, such as increased solubility or stability in organic solvents.</p>Pureza:Min. 95%D-Lactose monohydrate
CAS:<p>Lactose is the principal sugar in human and most other mammalian milks, ( 4-O-(β-d-galactopyranosyl)-d-glucopyranose) (Collins, 2006). Lactose undergoes mutarotation; it is a reducing sugar and is significantly less soluble in water than sucrose. Lactose is much less sweet than sucrose (at ~1% about 0.15 (sucrose=1). The enzyme lactase (β-galactosidase), which is present in the small intestine, catalyzes hydrolysis of lactose to form glucose and galactose. Anhydrous lactose is an excipient, filler, diluent, and bulking agent in a wide variety of pharmaceutical tablets, capsules, powders and other preparations. Lactose also has applications as a nutrient and multi-functional ingredient in infant formulae, geriatric, dietetic and health foods (Linko, 1982).</p>Fórmula:C12H22O11·H2OPureza:Min. 96 Area-%Forma y color:White Off-White PowderPeso molecular:360.31 g/molBlood group B hexasaccharide type II
<p>Core antigen fragment in ABO blood group system</p>Fórmula:C38H65NO30Pureza:Min. 90%Forma y color:PowderPeso molecular:1,015.93 g/molGlycyl-lacto-N-neodifucohexaose I
<p>Glycyl-lacto-N-neodifucohexaose I is a synthetic carbohydrate that has been modified to include a fluorine atom. Glycyl-lacto-N-neodifucohexaose I is an oligosaccharide that belongs to the class of carbohydrates and is composed of glycosylated and methylated monosaccharides. This product can be custom synthesized for your specific needs.</p>Fórmula:C40H69N3O29Pureza:Min. 95%Peso molecular:1,055.98 g/molChitosan oligomer (Dp 12-20)
<p>Chitosan oligomer (Dp 12-20) is a modification of chitin, a polysaccharide. It can be synthesized by treating chitin with sodium hydroxide in an alkaline environment. Chitosan oligomer (Dp 12-20) has a high degree of saccharide modification and exhibits a variety of functions, including complex carbohydrate, custom synthesis, synthetic, high purity, CAS No., and monosaccharide methylation. This compound has been shown to inhibit the growth of bacteria such as Staphylococcus aureus and Clostridium perfringens.</p>Fórmula:(C6H11NO4)nForma y color:Beige PowderD-Cellobiose
CAS:<p>Cellobiose is a reducing disaccharide consisting of two β(1-4)-linked glucopyranose units. It is produced by the hydrolysis of cellulose, a homopolysaccharide of glucose with β(1-4)-linkages. Cellobiose constitutes the polar part of cellobiose lipids (CLs) that are secreted by yeasts and mycelia fungi. Their various biological activities have led to a range of applications in the food industry, pharmaceutical industry and in medicine. Cellobiose itself has been used as an indicator carbohydrate for Crohns disease and malabsorption syndrome. In biotechnology, cellobiose is one of the sugars explored for the synthesis of biotensides.</p>Fórmula:C12H22O11Pureza:Min. 98.0 Area-%Peso molecular:342.30 g/molForssman antigen pentaose
CAS:<p>Tumor associated antigen and target for the development of anti-cancer vaccines</p>Fórmula:C34H58N2O26Pureza:Min. 90 Area-%Forma y color:White PowderPeso molecular:910.82 g/molLaminarihexaose
CAS:<p>Ex algal/bacterial polysaccharides-value in b1-3 glucanase assays & diagnostics</p>Fórmula:C36H62O31Pureza:Min. 90 Area-%Forma y color:White Off-White PowderPeso molecular:990.86 g/molGala1-3Galb1-4GlcNAc-O-L-serine
<p>Gala1-3Galb1-4GlcNAc-O-L-serine is a Custom synthesis, Modification, Fluorination, Methylation, Monosaccharide, Synthetic, Click modification, Oligosaccharide, saccharide. The CAS number for this product is . It has been created by the process of Glycosylation. This product is a Carbohydrate and a Polysaccharide. The molecular weight of this product is .</p>Pureza:Min. 95%Hyaluronic acid sodium salt - Average MW 0.6-2.5 million Daltons
CAS:<p>Gycosaminoglycan in many organs; joint lubricant and shock absorber</p>Fórmula:(C14H20NO11Na)nPureza:Min. 95%Forma y color:PowderLactose 3'-sulfate
CAS:<p>Unusual lactose sulphate isolated from canine milk (beagle-Canis familiaris), which does not appear to have previously been isolated from milk or other natural sources. The structure was established by 2D NMR spectroscopy and mass spectrometry.</p>Fórmula:C12H22O14SPureza:Min. 95%Forma y color:Beige PowderPeso molecular:422.36 g/molGD2-Oligosaccharide-sp-biotin
<p>The structure of GD2-oligosaccharide-sp-biotin (sodium salt) comprises (GalNAcβ1,4Galβ1,4Glc) with two sialic acids linked (β-2,3/β-2,8) to the central galactose residue and biotin attached to position 1 of the reducing glucose moiety. GD2 ganglioside is expressed at a low concentration in the central nervous system, nerves, skin melanocytes and stem cells in healthy adults. On the other hand, GD2 ganglioside is overexpressed in a number of tumors, including: neuroblastoma, melanoma, small cell lung carcinoma and brain tumors. Recently, it has been found in low concentrations on breast cancer stem cells (CSC) that possess: self-renewal properties (division without disrupting the undifferentiated state) and tumor-initiating capabilities. It has been suggested that GD2 ganglioside may be developed as an effective target antigen for CSC immunotherapy.</p>Fórmula:C65H104N10O37S·2NaPureza:One SpotForma y color:White PowderPeso molecular:1,695.61 g/mol1-Azido-1-deoxy-β-D-lactopyranoside
CAS:<p>Synthetic building block for oligosaccharide synthesis</p>Fórmula:C12H21N3O10Pureza:(%) Min. 95%Forma y color:PowderPeso molecular:367.31 g/mol4-O-(4-O-(α-D-Glucopyranosyl)-α-D-glucopyranosyl)-β-D-thioglucopyranose
<p>4-O-(4-O-(a-D-Glucopyranosyl)-a-D-glucopyranosyl)-b-D-thioglucopyranose is a glycosylation product of the sugar 4-O-(4-O-(a-D-glucopyranosyl)-a-D-glucopyranosyl) b -D -thioglucopyranose. It is synthesized by reaction of 4,5,6,7,8,9,10,11,12,13,14 and 15 with a 1:1 molar ratio. The product can be modified to methylated or fluorinated products using the click chemistry method.</p>Fórmula:C18H32O15SPureza:Min. 95%Peso molecular:520.5 g/molStachyose - 70%
CAS:<p>Non-reducing storage and transport sugar in woody plants; used as a sweetener</p>Fórmula:C24H42O21Pureza:Min. 70 Area-%Forma y color:White PowderPeso molecular:666.59 g/molHeparin disaccharide IV-S disodium salt
CAS:<p>Heparin is a complex carbohydrate that has been modified by the addition of a sugar and a sulfate group. It is used in the treatment of thrombosis, deep vein thrombosis, pulmonary embolism, and other blood clots. Heparin disaccharide IV-S disodium salt (HDS) is an intravenous form of heparin that consists of sodium salts of two saccharides: heparin disaccharide and sodium disulfate. HDS has been shown to be more potent than unfractionated heparin in animal models, as well as being more effective in preventing clot formation in humans. This drug also exhibits less frequent side effects such as skin rash, itching, or hives.</p>Fórmula:C12H17NO13S·2NaPureza:Min. 95%Forma y color:White PowderPeso molecular:461.31 g/mol4-O-(β-D-Mannopyranosyl)-D-glucose
CAS:<p>4-O-(b-D-Mannopyranosyl)-D-glucose is a metabolite of D-mannose. It is a bacterial metabolite produced by Streptococcus pneumoniae that has been shown to inhibit the growth of bacteria by binding to the 50S ribosomal subunit. 4-O-(b-D-Mannopyranosyl)-D-glucose inhibits bacterial growth by binding to DNA dependent RNA polymerase, thereby preventing transcription and replication. The high frequency of human activity has been shown using a patch clamp technique on human erythrocytes. This active form is metabolized through a number of metabolic transformations, including hydrolysis by esterases or glucuronidases, oxidation by cytochrome P450 enzymes, reduction by glutathione reductase, or conjugation with glucuronic acid. Rifapentine also specifically binds to markers expressed at high levels in Mycobacter</p>Fórmula:C12H22O11Pureza:Min. 98 Area-%Forma y color:PowderPeso molecular:342.3 g/molHeparin derived dp4 saccharide ammonium
CAS:<p>Heparin is a linear sulphated polysaccharide comprising contiguous disaccharide units of a uronic acid and a derivative of 2-amino-2-deoxy-D-glucose. The heparin tetrasaccharide can be obtained from the degradation of heparin with the lyase enzymes isolated from Flavobacterium heparinum, which yields oligosaccharides terminated at the non-reducing end by the unsaturated unit, 4-deoxy-α-L-threo-hex-4-enopyranosyl uronic acid or its 2-0-sulphated derivative. The major product following lyase degradation is the trisulphated derivative DUA-2S + GlcNS-6S (unsaturated disaccharide). Other oligosaccharides such as the tetrasaccharide, illustrated below, can be produced by the lytic degradation of heparin (Moffat, 1991).</p>Fórmula:C24H40N2O39S6•(NH3)xPureza:Of Main Disaccharide Unit Approx. 75%Forma y color:PowderPeso molecular:Av 1200N,N'-Diacetylchitobiose
CAS:<p>Carbon source for E. coli; inhibitor of lysozymes</p>Fórmula:C16H28N2O11Pureza:Min. 95%Forma y color:White PowderPeso molecular:424.4 g/mol2-Acetamido-3-O-(2,3,4,6-tetra-O-acetyl-b-D-galactopyranosyl)-4,6-di-O-acetyl-2-deoxy-a-D-galactopyranosyl-Fmoc-L-threonine tert-but yl ester
<p>2-Acetamido-3-O-(2,3,4,6-tetra-O-acetyl-b-D-galactopyranosyl)-4,6-di-O-acetyl-2,6 -deoxy--a-,D-,galactopyranosyl--Fmoc--L--threonine tert--but yl ester is a synthetic carbohydrate that contains 2 acetamido groups and 3 O-(2,3,4,6 tetra O acetyl b D galactopyranosyl) groups. The chemical name for this compound is 2 Acetamido 3 O (2 3 4 6 tetra O acetyl b D galactopyranosyl) 4 6 di O acetyl 2 deoxy a D galactopyranosyl Fmoc L threonine tert but yl ester. It has been synthesized by the Click modification reaction of an oligos</p>Fórmula:C49H62N2O21Pureza:Min. 95%Peso molecular:1,015.02 g/molLactose octaisobutyrate
<p>Synthetic building block for oligosaccharide synthesis</p>Fórmula:C44H70O19Pureza:Min. 95%Forma y color:PowderPeso molecular:903.02 g/molG1F Glycan, 2-AB labelled
<p>G1F Glycan, 2-AB labelled is a complex carbohydrate that is modified by the addition of fluorine and saccharide. It can be custom synthesized to order with a purity of >98% and is available from Sigma-Aldrich.</p>Pureza:Min. 95%Benzyl 4- O- b- D- glucosaminyl-b- D- xylopyranoside
<p>Benzyl 4- O- b- D- glucosaminyl-b- D- xylopyranoside is an oligosaccharide that is synthesized by the glycosylation of benzyl 4-O- b -D-glucosaminyl b -D -xylopyranoside with a monosaccharide. The synthesis of this compound is achieved through the modification of the parent compound with a fluorination, methylation, or glycosylation. Benzyl 4- O- b -D- glucosaminyl b -D -xylopyranoside can be found in complex carbohydrates, such as cellulose and starch.</p>Pureza:Min. 95%Methyl 6-O-(a-D-mannopyranosyl)-b-D-mannopyranoside
CAS:<p>Methyl 6-O-(a-D-mannopyranosyl)-b-D-mannopyranoside is a carbohydrate that has been modified with fluorination. It is synthesized by the methylation of glucose and mannose residues, followed by glycosylation. Methyl 6-O-(a-D-mannopyranosyl)-b-D-mannopyranoside is a custom synthesis and can be ordered in high purity.</p>Fórmula:C13H24O11Pureza:Min. 95%Forma y color:White To Off-White SolidPeso molecular:356.32 g/molLewis A trisaccharide methyl glycoside
CAS:<p>Lewis A trisaccharide methyl glycoside is a sugar that is synthesized by the chemical modification of an oligosaccharide. The methyl glycoside is then fluorinated and reacted with a complex carbohydrate to produce Lewis A trisaccharide methyl glycoside. It has CAS No. 186315-40-2, which identifies it as a synthetic compound. This product has high purity, and can be custom synthesized to meet your needs. It is also available in both a glycosylated and non-glycosylated form.</p>Fórmula:C21H37NO15Pureza:Min. 95%Forma y color:PowderPeso molecular:543.52 g/mol
