CAS 3844-45-9
:C.I. Bleu Alimentaire 2
Description :
C.I. Bleu Alimentaire 2, également connu sous le nom de Bleu Brillant FCF, est un colorant synthétique couramment utilisé dans les aliments, les boissons et les cosmétiques pour donner une couleur bleue vive. Il appartient à la classe des colorants triphénylméthane et se caractérise par sa stabilité dans diverses conditions, y compris la chaleur et la lumière, ce qui le rend adapté à un large éventail d'applications. La structure chimique de C.I. Bleu Alimentaire 2 comprend un groupe acide sulfonique, qui améliore sa solubilité dans l'eau, permettant une incorporation facile dans les produits aqueux. Il est généralement reconnu comme sûr (GRAS) lorsqu'il est utilisé dans des limites spécifiées, bien que certaines personnes puissent éprouver des réactions allergiques. Le colorant est réglementé par les autorités de sécurité alimentaire dans de nombreux pays, et son utilisation est soumise à des directives spécifiques pour garantir la sécurité des consommateurs. De plus, C.I. Bleu Alimentaire 2 est souvent utilisé en combinaison avec d'autres colorants pour obtenir les teintes souhaitées dans les produits. Sa couleur vive et sa stabilité en font un choix populaire dans l'industrie alimentaire, en particulier pour les confiseries, les produits laitiers et les boissons.
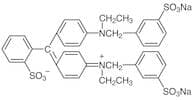
Formule :C37H36N2O9S3·2Na
InChI :InChI=1S/C37H36N2O9S3.2Na/c1-3-38(25-27-9-7-11-33(23-27)49(40,41)42)31-19-15-29(16-20-31)37(35-13-5-6-14-36(35)51(46,47)48)30-17-21-32(22-18-30)39(4-2)26-28-10-8-12-34(24-28)50(43,44)45;;/h5-24H,3-4,25-26H2,1-2H3,(H2-,40,41,42,43,44,45,46,47,48);;
Code InChI :InChIKey=XGJOULBUZNWIAW-UHFFFAOYSA-N
SMILES :C(C1=C(S(=O)(=O)O)C=CC=C1)(C2=CC=C(N(CC3=CC(S(=O)(=O)O)=CC=C3)CC)C=C2)=C4C=CC(=[N+](CC5=CC(S(=O)(=O)[O-])=CC=C5)CC)C=C4.[Na]
Synonymes :- AB 9 (dye)
- Acid Blue 9
- Basacid Blue 756
- Basacid Blue 756 Liquid
- Benzenemethaminium, N-ethyl-N-[4-[[4-[ethyl[(3-sulfophenyl)methyl]amino]phenyl](2-sulfophenyl)methylene]-2,5-cyclohexadien-1-ylidene-3-sulfo]-, hydroxide, inner salt, disodium salt
- Benzenemethanaminium, N-ethyl-N-[4-[[4-[ethyl[(3-sulfophenyl)methyl]amino]phenyl](2-sulfophenyl)methylene]-2,5-cyclohexadien-1-ylidene]-3-sulfo-, inner salt, disodium salt
- Benzenemethanaminium, N-ethyl-N-[4-[[4-[ethyl[(3-sulfophenyl)methyl]amino]phenyl](2-sulfophenyl)methylene]-2,5-cyclohexadien-1-ylidene]-3-sulfo-, hydroxide, inner salt, disodium salt
- Benzenemethanaminium, N-ethyl-N-[4-[[4-[ethyl[(3-sulfophenyl)methyl]amino]phenyl](2-sulfophenyl)methylene]-2,5-cyclohexadien-1-ylidene]-3-sulfo-, inner salt, sodium salt (1:2)
- Benzenemethanaminium, N-ethyl-N-[4-[[4-[ethyl[(3-sulfophenyl)methyl]amino]phenyl](2-sulfophenyl)methylene]-2,5-cyclohexadien-1-ylidene]-3-sulfo-,ydroxide, inner salt, disodium salt
- Blue 1
- Blue 1206
- Blue FCF
- Blue No. 1
- Briliant Blue FCF
- Brilliant Blue
- Brilliant Blue E 133
- Brilliant Blue FCF Supra
- Brilliant Blue Fcf
- CI 42090 sodium salt
- CL Acid Blue 9
- Canacert Brilliant Blue FCF
- D and C Blue No. 1
- D&C Blue No. 1
- Dihidrogeno(Etil)[4-[4-[Etil(3-Sulfonatobencil)]Amino]-2'-Sulfonatobencidriliden]Ciclohexa-2,5-Dien-1-Iliden](3-Sulfonatobencil)Amonio, Sal De Disodio
- Dihydrogen(ethyl)[4-[4-[ethyl(3-sulfonatobenzyl)]amino]-2'-sulfonatobenzhydryliden]cyclohexa-2,5-dien-1-yliden](3-sulfonatobenzyl)ammonium, Dinatriumsalz
- Dihydrogeno(Ethyl)[4-[4-[Ethyl(3-Sulfonatobenzyl)]Amino]-2'-Sulfonatobenzhydrylidene]Cyclohexa-2,5-Diene-1-Ylidene](3-Sulfonatobenzyl)Ammonium, Sel De Disodium
- Dihydrogeno(ethyl)[4-[4-[ethyl(3-sulfonatobenzyl)]amino]-2'-sulfonatobenzhydrylidene]cyclohexa-2,5-dien-1-ylidene](3-sulfonatobenzyl)ammonium, sel de disodium
- Disodium erioglaucine
- Dolkwal Brilliant Blue
- Duasyn Acid Blue AE 02
- E 133
- E 133 (dye)
- E133 Brilliant Blue FCF Granular
- E133 Granular
- Erioglaucine Disodium Salt
- FD and C Blue 1
- FD&C Blue No. 1
- FDC Blue 1
- Fd And C Blue No. 1
- Food Blue 1
- Food Blue 2
- Food Blue 2 CI 42090
- Food Blue Dye No. 1
- Food Blue No. 1
- Food Blue No. 2
- Food Brilliant blue
- Hexacol Brilliant Blue A
- Iragon Blue ABL9 HFC
- Iragon Blue ABL9-L HFC
- Japan Blue 1
- Japan Blue No. 1
- Japan Food Blue 1
- Japan Food Blue No. 1
- K-Rcp-B 1Al
- Kayaset Blue J-FG
- N-Ethyl-N-[4-[[4-[ethyl[(3-sulfophenyl)methyl]amino]phenyl] (2-sulfophenyl)methylene]-2,5-cyclohexadien-1-ylidene]-3-sulfobenzenemethanaminium hydroxide, inner salt, disodium salt
- Puricolor Blue ABL 9
- Sicovit Brilliant Blue 85E133
- Unicert Blue O 5601J
- Usacert Blue No. 1
- Usacert FD and C Blue No. 1
- Voir plus de synonymes
Trier par
Degré de pureté (%)
0
100
|
0
|
50
|
90
|
95
|
100
16 produits trouvés.
Acid Blue 9
CAS :Formule :C37H34N2Na2O9S3Couleur et forme :Blue to Dark red to Dark blue powder to crystalMasse moléculaire :792.84Erioglaucine sodium salt
CAS :Erioglaucine sodium salt is used as a colorant for foods and other substances to induce a color change. This Thermo Scientific Chemicals brand product was originally part of the Alfa Aesar product portfolio. Some documentation and label information may refer to the legacy brand. The original Alfa AeFormule :C37H34N2Na2O9S3Masse moléculaire :792.84Brilliant Blue FCF
CAS :Brilliant Blue FCFFormule :C37H34N2Na2O9S3Degré de pureté :≥80%Couleur et forme :SolidMasse moléculaire :792.85Erioglaucine disodium salt
CAS :Erioglaucine disodium saltFormule :C37H34N2Na2O9S3Degré de pureté :85%Couleur et forme :SolidMasse moléculaire :792.85Erioglaucine (C.I. 42090)
CAS :Formule :C37H34N2Na2O9S3Couleur et forme :Purple to dark purple powderMasse moléculaire :792.86Brilliant Blue FCF
CAS :Brilliant Blue FCF (Erioglaucine disodium salt) is a nontoxic dye for saphenous vein graft marking that abrogates response to injury.Formule :C37H34N2Na2O9S3Degré de pureté :85.09% - 99.38%Couleur et forme :Purple SolidMasse moléculaire :792.85Brilliant Blue FCF
CAS :Sodium 2-((4-(ethyl(3-sulfonatobenzyl)amino)phenyl)(4-(ethyl(3-sulfonatobenzyl)iminio)cyclohexa-2,5-dien-1-ylidene)methyl)benzenesulfonateFormule :C37H34N2Na2O9S3Degré de pureté :85%Masse moléculaire :792.85Brilliant Blue FCF (Technical Grade)
CAS :Formule :C37H34N2O9S3·2NaCouleur et forme :NeatMasse moléculaire :792.85Brilliant blue FCF
CAS :Brilliant blue FCF is a water-soluble dye that has been used for many purposes, including as a food coloring and in wastewater treatment. It is an intensely blue powder that is soluble in water and reactive to acids. The toxicity of this substance has been extensively studied, with long-term studies showing no significant negative effects on the liver or other organs. In addition, it does not cause any toxic effects when tested on human serum. The adsorption of brilliant blue FCF onto activated carbon or silica gel beads has been shown to be reversible and time-dependent. This dye can also be quantified using an analytical method involving surface methodology coupled with electrochemical impedance spectroscopy.
Formule :C37H34N2Na2O9S3Couleur et forme :PowderMasse moléculaire :792.85 g/molBrilliant Blue FCF (Erioglaucine Disodium Salt)
CAS :Formule :C37H34Na2N2O9S3Couleur et forme :Dark purple, PowderMasse moléculaire :792.85













