CAS 10016-20-3
:α-Ciclodextrina
Descrição:
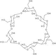
α-Ciclodextrina é um oligossacarídeo cíclico composto por seis unidades de glicose ligadas por ligações α-1,4-glicosídicas, formando uma estrutura toroidal. É um pó branco e cristalino que é solúvel em água, com uma solubilidade que aumenta com a temperatura. Este composto é conhecido por sua capacidade de formar complexos de inclusão com várias moléculas hidrofóbicas, aumentando sua solubilidade e estabilidade, o que o torna valioso em aplicações farmacêuticas, alimentícias e cosméticas. α-Ciclodextrina tem um perfil de toxicidade relativamente baixo e é geralmente reconhecido como seguro (GRAS) para consumo. Sua estrutura única permite encapsular moléculas hóspedes dentro de sua cavidade hidrofóbica, facilitando a liberação controlada e melhorando a biodisponibilidade. Além disso, α-Ciclodextrina exibe propriedades como biodegradabilidade e a capacidade de modificar os perfis de liberação de ingredientes ativos, tornando-se um excipiente versátil na formulação de medicamentos. Suas aplicações se estendem além dos produtos farmacêuticos para áreas como preservação de alimentos e melhoria de sabor, demonstrando sua natureza multifuncional em várias indústrias.
Fórmula:C36H60O30
InChI:InChI=1S/C36H60O30/c37-1-7-25-13(43)19(49)31(55-7)62-26-8(2-38)57-33(21(51)15(26)45)64-28-10(4-40)59-35(23(53)17(28)47)66-30-12(6-42)60-36(24(54)18(30)48)65-29-11(5-41)58-34(22(52)16(29)46)63-27-9(3-39)56-32(61-25)20(50)14(27)44/h7-54H,1-6H2/t7-,8-,9-,10-,11-,12-,13-,14-,15-,16-,17-,18-,19-,20-,21-,22-,23-,24-,25-,26-,27-,28-,29-,30-,31-,32-,33-,34-,35-,36-/m1/s1
Chave InChI:InChIKey=HFHDHCJBZVLPGP-RWMJIURBSA-N
SMILES:C(O)[C@@H]1[C@@]2([C@H](O)[C@@H](O)[C@](O1)(O[C@@]3([C@@H](CO)O[C@@]([C@H](O)[C@H]3O)(O[C@@]4([C@@H](CO)O[C@@]([C@H](O)[C@H]4O)(O[C@]5([C@H](O)[C@@H](O)[C@@](O[C@]6([C@H](O)[C@@H](O)[C@@](O[C@]7([C@H](O)[C@@H](O)[C@@](O2)(O[C@@H]7CO)[H])[H])(O[C@@H]6CO)[H])[H])(O[C@@H]5CO)[H])[H])[H])[H])[H])[H])[H])[H]
Sinónimos:- (1S,3R,5R,6S,8R,10R,11S,13R,15R,16S,18R,20R,21S,23R,25R,26S,28R,30R,31R,32R,33R,34R,35R,36R,37R,38R,39R,40R,41R,42R)-5,10,15,20,25,30-hexakis(hydroxymethyl)-2,4,7,9,12,14,17,19,22,24,27,29-dodecaoxaheptacyclo[26.2.2.2~3,6~.2~8,11~.2~13,16~.2~18,21~.2~23,26~]dotetracontane-31,32,33,34,35,36,37,38,39,40,41,42-dodecol (non-preferred name)
- (1S,3R,6S,8R,11S,13R,16S,18R,21S,23R,26S,28R)-5,10,15,20,25,30-hexakis(hydroxymethyl)-2,4,7,9,12,14,17,19,22,24,27,29-dodecaoxaheptacyclo[26.2.2.2~3,6~.2~8,11~.2~13,16~.2~18,21~.2~23,26~]dotetracontane-31,32,33,34,35,36,37,38,39,40,41,42-dodecol (non-preferred name)
- 2,4,7,9,12,14,17,19,22,24,27,29-Dodecaoxaheptacyclo[26.2.2.2<sup>3,6</sup>.2<sup>8,11</sup>.2<sup>13,16</sup>.2<sup>18,21</sup>.2<sup>23,26</sup>]dotetracontane, α-cyclodextrin deriv.
- 5,10,15,20,25,30-Hexakis(Hydroxymethyl)-2,4,7,9,12,14,17,19,22,24,27,29-Dodecaoxaheptacyclo[26.2.2.2~3,6~.2~8,11~.2~13,16~.2~18,21~.2~23,26~]Dotetracontane-31,32,33,34,35,36,37,38,39,40,41,42-Dodecol (Non-Preferred Name)
- Alpha-Cycloamylose
- Alpha-Dextrin
- Cavamax W 6
- Cavamax W 6 Food
- Celdex A 100
- Ciclohexapentilosa
- Cyclohexaamylose
- Cyclohexaamylose hydrate
- Cyclohexadextrin
- Cyclohexapentylose
- Cyclomaltohexaose
- Cyclomaltohexose
- Dexipar α-100
- Dextrin, α-cyclo
- Dexy Pearl α-100
- Isoeleat K 50
- Nsc 269470
- Ringdex A
- Stereoisomer of 5,10,15,20,25,30-hexakis(hydroxymethyl)-2,4,7,9,12,14,17,19,22,24,27,29-dodecaoxaheptacyclo[26.2.2.23,6.28,11.213,16.218,21.223,26]dotetracontane-31,32,33,34,35,36,37,38,39,40,41,42-dodecol
- Stereoisomer of 5,10,15,20,25,30-hexakis(hydroxymethyl)-2,4,7,9,12,14,17,19,22,24,27,29-dodecaoxaheptacyclo[26.2.2.2<sup>3,6</sup>.2<sup>8,11</sup>.2<sup>13,16</sup>.2<sup>18,21</sup>.2<sup>23,26</sup>]dotetracontane-31,32,33,34,35,36,37,38,39,40,41,42-dodecol
- alpha-Cyclodextrin
- Α-100
- α-Cycloamylose
- α-Cyclodextrin
- α-Dextrin
- α-Schardinger dextrin
- Ver mais sinónimos
Ordenar por
Pureza (%)
0
100
|
0
|
50
|
90
|
95
|
100
Foram encontrados 19 produtos.
α-Cyclodextrin
CAS:Fórmula:C36H60O30Pureza:>98.0%(HPLC)Cor e Forma:White powder to crystalPeso molecular:972.85α-Cyclodextrin, 97+%
CAS:Useful for selective precipitation of enantiomeric, positional or structural isomersFórmula:C36H60O30Pureza:97+%Cor e Forma:White to pale cream, Crystalline powderPeso molecular:972.85ALFADEX CRS
CAS:ALFADEX CRSFórmula:C36H60O30Cor e Forma:Amorphous. White. Whitish. Crystalline Powder. Powder.Peso molecular:972.8436α Cyclodextrin
CAS:Sugars, chemically pure, other than sucrose, lactose, maltose, glucose and fructose; sugar ethers and sugar esters, and their salts, nesoiFórmula:C36H60O30Cor e Forma:White Off-White Crystalline Powder Amorphous PowderPeso molecular:972.31694α-cyclodextrin
CAS:α-cyclodextrinFórmula:C36H60O30Pureza:By hplc: 99.5% (Typical Value in Batch COA)Cor e Forma:SolidPeso molecular:972.8436α-Cyclodextrin
CAS:α-CyclodextrinFórmula:C36H60O30Pureza:By hplc: coforms witrh reference (Typical Value in Batch COA)Cor e Forma:White Solid-PowderPeso molecular:972.8436Ref: IN-DA00H969
5g21,00€10g24,00€25g28,00€100g53,00€500g107,00€5kg202,00€1kg208,00€10kg499,00€25kg767,00€α-Cyclodextrin, Ph. Eur. grade
CAS:Fórmula:C36H60O30·xH2OPureza:(dried basis) 98.0 - 101.0 %Cor e Forma:White or almost white, amorphous or crystalline powderPeso molecular:972.86Sugammadex Impurity 62 (α-Cyclodextrin)
CAS:Fórmula:C36H60O30Cor e Forma:White To Off-White SolidPeso molecular:972.85α-Cyclodextrin
CAS:α-Cyclodextrin (Alfadex) is a soluble fiber derived from corn and has beneficial effects on weight management in obese individuals with type 2 diabetes.Fórmula:C36H60O30Pureza:99.79% - 99.9%Cor e Forma:White SolidPeso molecular:972.84α-Cyclodextrin
CAS:Produto ControladoStability Hygroscopic
Applications α-Cyclodextrin is a 6 member dextrin ring used as an encapsulation agent for bioactive compounds and pharmaceuticals.
References Pinho, E. et al.: Carb. Polym., 101, 121 (2014);Fórmula:C36H60O30Cor e Forma:NeatPeso molecular:972.84a-Cyclodextrin
CAS:α-Cyclodextrin is a cyclic oligosaccharide with 6 D-glucose residues which are α-1,4-linked. α-cyclodextrin is used in the food industry to encapsulate flavors and fragrances (Kfoury, 2016). α-cyclodextrin is also an effective inhibitor of the upstream inflammatory response induced by cholesterol crystals. Cholesterol crystal-induced complement activation is a critical step in the development of atherosclerosis, thus inhibition of complement with α-cyclodextrin has the potential to be used in the treatment of atherosclerosis (Pilely, 2019).Fórmula:C36H60O30Pureza:Min. 90.0 Area-%Peso molecular:972.84 g/molRef: 3D-C-9100
-Unit-kgkgA consultar1kgA consultar5kgA consultar10gA consultar500gA consultar2500gA consultara-Cyclodextrin
CAS:α-Cyclodextrin is a cyclic oligosaccharide with 6 D-glucose residues which are α-1,4-linked. α-cyclodextrin is used in the food industry to encapsulate flavours and fragrances. α-cyclodextrin is also an effective inhibitor of the upstream inflammatory response induced by cholesterol crystals. Cholesterol crystal-induced complement activation is a critical step in the development of atherosclerosis, thus inhibition of complement with α-cyclodextrin has the potential to be used in the treatment of atherosclerosis.Fórmula:C36H60O30Pureza:Min. 98 Area-%Cor e Forma:White Off-White PowderPeso molecular:972.84 g/molRef: IN-DG113410
5g30,00€10g34,00€25g38,00€100g74,00€500g136,00€1kg249,00€25kg2.307,00€100kg5.766,00€α-Cyclodextrin Deuterated
CAS:Produto ControladoApplications α-Cyclodextrin (C988470) is a 6 member dextrin ring used as an encapsulation agent for bioactive compounds and pharmaceuticals.
References Pinho, E. et al.: Carb. Polym., 101, 121 (2014);Fórmula:C36H42D18O30Cor e Forma:NeatPeso molecular:990.95














