CAS 102029-60-7
:ampso sódio
Descrição:
ampso sódio, com o número CAS 102029-60-7, é um composto químico que pertence à classe dos surfactantes. É utilizado principalmente em várias aplicações, incluindo como dispersante e emulsificante em formulações. O composto exibe propriedades anfifílicas, o que significa que possui características tanto hidrofílicas (que atraem água) quanto hidrofóbicas (que repelem água), o que lhe permite reduzir efetivamente a tensão superficial e estabilizar misturas de óleo e água. ampso sódio é frequentemente utilizado na formulação de produtos de cuidados pessoais, detergentes e aplicações industriais devido à sua capacidade de melhorar a solubilidade e a estabilidade das emulsões. Além disso, é conhecido por sua biodegradabilidade, tornando-se uma opção mais ecológica em comparação com alguns surfactantes tradicionais. As fichas de dados de segurança geralmente indicam que deve ser manuseado com cuidado, assim como muitas substâncias químicas, para evitar possíveis irritações ou reações adversas. No geral, ampso sódio é valorizado por suas propriedades funcionais em vários processos químicos e industriais.
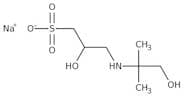
Fórmula:C7H16NNaO5S
InChI:InChI=1/C7H17NO5S.Na/c1-7(2,5-9)8-3-6(10)4-14(11,12)13;/h6,8-10H,3-5H2,1-2H3,(H,11,12,13);/q;+1/p-1
SMILES:CC(C)(CO)NCC(CS(=O)(=O)O)O.[Na]
Ordenar por
Pureza (%)
0
100
|
0
|
50
|
90
|
95
|
100
Foram encontrados 4 produtos.
AMPSO, 0.2M buffer soln., pH 9.0
CAS:This Thermo Scientific Chemicals brand product was originally part of the Alfa Aesar product portfolio. Some documentation and label information may refer to the legacy brand. The original Alfa Aesar product / item code or SKU reference has not changed as a part of the brand transition to Thermo SciN-(1,1-Dimethyl-2-hydroxyethyl)-3-amino-2-hydroxypropanesulphonic acid sodium salt
CAS:N-(1,1-Dimethyl-2-hydroxyethyl)-3-amino-2-hydroxypropanesulphonic acid sodium saltFórmula:C7H16NO5S·NaPureza:>98%Peso molecular:249.26041




