CAS 18323-44-9
:Clindamicina
Descrição:
Clindamicina é um antibiótico lincosamida que é usado principalmente para tratar várias infecções bacterianas, particularmente aquelas causadas por bactérias anaeróbias e certos protozoários. É eficaz contra bactérias Gram-positivas, incluindo algumas cepas de Staphylococcus e Streptococcus. Clindamicina atua inibindo a síntese de proteínas bacterianas, impedindo assim o crescimento e a reprodução das bactérias. A fórmula química de Clindamicina é C18H33ClN2O5S, e tem um peso molecular de aproximadamente 406,99 g/mol. É tipicamente administrado por via oral ou intravenosa e está disponível em várias formulações, incluindo cápsulas, soluções tópicas e formas injetáveis. Clindamicina é conhecido por sua boa penetração nos tecidos, tornando-o particularmente útil no tratamento de infecções de pele e tecidos moles. No entanto, também pode levar a efeitos colaterais, como distúrbios gastrointestinais e, em casos raros, diarreia associada ao Clostridium difficile. Devido ao seu mecanismo de ação e espectro de atividade, Clindamicina é frequentemente usado como uma alternativa para pacientes alérgicos à penicilina.
Fórmula:C18H33ClN2O5S
InChI:InChI=1S/C18H33ClN2O5S/c1-5-6-10-7-11(21(3)8-10)17(25)20-12(9(2)19)16-14(23)13(22)15(24)18(26-16)27-4/h9-16,18,22-24H,5-8H2,1-4H3,(H,20,25)/t9-,10+,11-,12+,13-,14+,15+,16+,18+/m0/s1
Chave InChI:InChIKey=KDLRVYVGXIQJDK-AWPVFWJPSA-N
SMILES:[C@@H](NC(=O)[C@@H]1C[C@@H](CCC)CN1C)([C@H](C)Cl)[C@]2(O[C@H](SC)[C@H](O)[C@@H](O)[C@H]2O)[H]
Sinónimos:- (2S,4R)-N-[2-chloro-1-[(2R,3R,4S,5R,6R)-3,4,5-trihydroxy-6-methylsulfanyl-tetrahydropyran-2-yl]propyl]-1-methyl-4-propyl-pyrrolidine-2-carboxamide
- 7(S)-Chloro-7-deoxylincomycin
- 7-Cdl
- 7-Chloro-7-deoxylincomycin
- 7-Chlorolincomycin
- 7-Deoxy-7(S)-chlorolincomycin
- <span class="text-smallcaps">L</smallcap>-threo-<smallcap>D</smallcap>-galacto-Octopyranoside, methyl 7-chloro-6,7,8-trideoxy-6-(1-methyl-4-propyl-<smallcap>L</span>-2-pyrrolidinecarboxamido)-1-thio-, trans- α-
- <span class="text-smallcaps">L</smallcap>-threo-α-<smallcap>D</span>-galacto-Octopyranoside, methyl 7-chloro-6,7,8-trideoxy-6-[[(1-methyl-4-propyl-2-pyrrolidinyl)carbonyl]amino]-1-thio-, (2S-trans)-
- <span class="text-smallcaps">L</smallcap>-threo-α-<smallcap>D</span>-galacto-Octopyranoside, methyl 7-chloro-6,7,8-trideoxy-6-[[[(2S,4R)-1-methyl-4-propyl-2-pyrrolidinyl]carbonyl]amino]-1-thio-
- Antirobe
- Chlolincocin
- Cleocin
- Clincin
- ClindaDerm
- Clindam
- Clindamicina
- Clindamycine
- Clinimycin
- Dalacin C
- Dalacin V
- Dalacine
- Klimicin
- Klindan 300
- L-threo-D-galacto-Octopyranoside, methyl 7-chloro-6,7,8-trideoxy-6-(1-methyl-4-propyl-L-2-pyrrolidinecarboxamido)-1-thio-, trans- α-
- L-threo-α-D-galacto-Octopyranoside, methyl 7-chloro-6,7,8-trideoxy-6-[[(1-methyl-4-propyl-2-pyrrolidinyl)carbonyl]amino]-1-thio-, (2S-trans)-
- L-threo-α-D-galacto-Octopyranoside, methyl 7-chloro-6,7,8-trideoxy-6-[[[(2S,4R)-1-methyl-4-propyl-2-pyrrolidinyl]carbonyl]amino]-1-thio-
- Methyl (7xi)-7-chloro-6,7,8-trideoxy-6-{[(4R)-1-methyl-4-propyl-L-prolyl]amino}-1-thio-D-glycero-alpha-D-galacto-octopyranoside
- Methyl 7-chloro-6,7,8-trideoxy-6-[[[(2S,4R)-1-methyl-4-propyl-2-pyrrolidinyl]carbonyl]amino]-1-thio-<span class="text-smallcaps">L</smallcap>-threo-α-<smallcap>D</span>-galacto-octopyranoside
- Sobelin
- U 21251
- methyl (5xi)-7-chloro-6,7,8-trideoxy-6-{[(4R)-1-methyl-4-propyl-L-prolyl]amino}-1-thio-L-glycero-alpha-D-galacto-octopyranoside hydrochloride
- methyl 7-chloro-6,7,8-trideoxy-6-{[(4R)-1-methyl-4-propyl-L-prolyl]amino}-1-thio-L-threo-alpha-D-galacto-octopyranoside
- methyl 7-chloro-6,7,8-trideoxy-6-{[(4R)-1-methyl-4-propyl-L-prolyl]amino}-1-thio-beta-L-arabino-octopyranoside hydrochloride
- Methyl 7-chloro-6,7,8-trideoxy-6-[[[(2S,4R)-1-methyl-4-propyl-2-pyrrolidinyl]carbonyl]amino]-1-thio-L-threo-α-D-galacto-octopyranoside
- Ver mais sinónimos
Ordenar por
Pureza (%)
0
100
|
0
|
50
|
90
|
95
|
100
Foram encontrados 9 produtos.
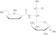
Clindamycin Hydrochloride Monohydrate
CAS:Fórmula:C18H33ClN2O5S·HCl·H2OPureza:>98.0%(T)(HPLC)Cor e Forma:White to Almost white powder to crystalPeso molecular:479.46Clindamycin
CAS:(2S,4R)-N-((1S,2S)-2-Chloro-1-((2R,3R,4S,5R,6R)-3,4,5-trihydroxy-6-(methylthio)tetrahydro-2H-pyran-2-yl)propyl)-1-methyl-4-propylpyrrolidine-2-carboxamideFórmula:C18H33ClN2O5SPureza:99%Peso molecular:424.98Clindamycin
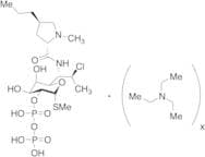
CAS:Clindamycin is a semisynthetic antibiotic that blocks bacterial protein synthesis by detaching peptidyl-tRNA from ribosomes.Fórmula:C18H33ClN2O5SPureza:98.04% - 99.87%Cor e Forma:Yellow Amorphous Solid SolidPeso molecular:424.98Clindamycin Pyrophosphate Triethylamine Salt
CAS:Produto ControladoStability Hygroscopic
Applications Clindamycin Pyrophosphate is an impurity of Clindamycin (C580000, HCl salt) which is a semi-synthetic antibiotic prepared from Lincomycin.
References Birkenmeyer, R.D., et al.: J. Med. Chem., 13, 616 (1970), Oesterling, et al.: J. Pharm. Sci., 59, 63 (1970), Gray, J.E., et al.: Toxicol. Appl. Pharmacol., 21, 516 (1972), Brown, L.W., et al.: Anal. Profiles Drug Subs., 10, 75 (1981),Fórmula:C18H35ClN2O11P2SxC6H15NCor e Forma:NeatPeso molecular:584.94Clindamycin
CAS:Applications Clindamycin is a semi-synthetic antibiotic. Antibacterial.
References Birkenmeyer, R.D., et al.: J. Med. Chem., 13, 616 (1970); Oesterling, et al.: J. Pharm. Sci., 59, 63 (1970); Gray, J.E., et al.: Toxicol. Appl. Pharmacol., 21, 516 (1972); Brown, L.W., et al.: Anal. Profiles Drug Subs., 10, 75 (1981);Fórmula:C18H33ClN2O5SCor e Forma:NeatPeso molecular:424.98Clindamycin
CAS:Inhibitor of protein synthesis; lincosamide classFórmula:C18H33ClN2O5SPureza:Min. 95%Peso molecular:424.98 g/mol








