CAS 18549-40-1
:1,2-O-Isopropilideno-α-D-glicofuranose
Descrição:
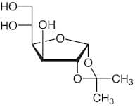
1,2-O-Isopropilideno-α-D-glicofuranose é um derivado de carboidrato, especificamente uma forma protegida de α-D-glucofuranose, que é um monossacarídeo. Este composto apresenta uma estrutura de anel de furanose, caracterizada por um anel de cinco membros contendo quatro átomos de carbono e um átomo de oxigênio. O grupo isopropilideno atua como um grupo protetor para as funcionalidades hidroxila, melhorando a estabilidade e reatividade da molécula durante os processos sintéticos. Tipicamente, este composto é utilizado na síntese orgânica, particularmente na preparação de glicosídeos e outros derivados de carboidratos. Suas propriedades químicas incluem solubilidade em solventes polares, e pode exibir atividade óptica específica devido aos seus centros quirais. A presença do grupo isopropilideno também influencia sua reatividade, tornando-o menos suscetível à hidrólise em comparação com açúcares não protegidos. No geral, 1,2-O-Isopropilideno-α-D-glicofuranose é um intermediário importante na química de carboidratos, facilitando o estudo e a manipulação de ligações glicosídicas e outras reações relacionadas a carboidratos.
Fórmula:C9H16O6
InChI:InChI=1S/C9H16O6/c1-9(2)14-7-5(12)6(4(11)3-10)13-8(7)15-9/h4-8,10-12H,3H2,1-2H3/t4-,5+,6-,7-,8-/m1/s1
Chave InChI:InChIKey=BGGCXQKYCBBHAH-OZRXBMAMSA-N
SMILES:O[C@@H]1[C@@]2([C@](O[C@@]1([C@@H](CO)O)[H])(OC(C)(C)O2)[H])[H]
Sinónimos:- 1,2-Mono-O-isopropylidene-α-<span class="text-smallcaps">D</span>-glucofuranose
- 1,2-O-(1-Methylethylidene)-α-<span class="text-smallcaps">D</span>-glucofuranose
- 1,2-O-(1-methylethylidene)-alpha-D-glucofuranose
- 1,2-O-(1-methylethylidene)-β-L-idofuranose
- 1,2-O-(1-methylethylidene)hexofuranose
- 1,2-O-Isopropylidene-alpha-D-glucofuranose
- 1,2-O-Isopropylidene-α-<span class="text-smallcaps">D</span>-glucofuranose
- Furo[2,3-d]-1,3-dioxole, α-<span class="text-smallcaps">D</span>-glucofuranose deriv.
- Glucofuranose, 1,2-O-isopropylidene-
- Glucofuranose, 1,2-O-isopropylidene-, α-<span class="text-smallcaps">D</span>-
- Monoacetone-D-glucose
- NSC 1697
- α-<span class="text-smallcaps">D</span>-Glucofuranose, 1,2-O-(1-methylethylidene)-
- 1,2-O-(1-Methylethylidene)-α-D-glucofuranose
- Glucofuranose, 1,2-O-isopropylidene-, α-D-
- Furo[2,3-d]-1,3-dioxole, α-D-glucofuranose deriv.
- Ver mais sinónimos
Ordenar por
Pureza (%)
0
100
|
0
|
50
|
90
|
95
|
100
Foram encontrados 11 produtos.
1,2-O-Isopropylidene-α-D-glucofuranose
CAS:Fórmula:C9H16O6Pureza:>97.0%(GC)Cor e Forma:White to Almost white powder to crystalPeso molecular:220.221,2-O-Isopropylidene-α-D-glucofuranose
CAS:This Thermo Scientific Chemicals brand product was originally part of the Alfa Aesar product portfolio. Some documentation and label information may refer to the legacy brand. The original Alfa Aesar product / item code or SKU reference has not changed as a part of the brand transition to Thermo SciFórmula:C9H16O6Cor e Forma:White to cream, Powder or crystalline powderPeso molecular:220.22a-D-Glucofuranose, 1,2-O-(1-methylethylidene)-
CAS:Fórmula:C9H16O6Pureza:95%Cor e Forma:SolidPeso molecular:220.21971,2-O-Isopropylidene-α-d-glucofuranose
CAS:1,2-O-Isopropylidene-alpha-d-glucofuranose (Mono-acetone glucose) is a biochemical reagent utilized as a biomaterial or organic compound pertinent to life sciences research.Fórmula:C9H16O6Cor e Forma:SolidPeso molecular:220.221,2-O-iIsopropylidene-α-D-glucofuranose
CAS:1,2-O-iIsopropylidene-α-D-glucofuranoseFórmula:C9H16O6Pureza:>98%Cor e Forma:Solid-PowderPeso molecular:220.219731,2-O-Isopropylidene-α-D-glucofuranose
CAS:Fórmula:C9H16O6Pureza:95%Cor e Forma:Solid, White to almost white powderPeso molecular:220.2211,2-O-Isopropylidene-a-D-glucofuranose
CAS:1,2-O-Isopropylidene-a-D-glucofuranose (IPDF) is a natural compound that has been isolated from the leaves of the plant Cinnamomum camphora. IPDF has been shown to have biological properties such as inhibiting hl-60 cells and inducing apoptosis in leukemia cells. The metabolic rate of IPDF was studied in isolated hearts and it was found that the compound slows fatty acid oxidation. The enzyme substrate specificity of IPDF was also tested by adding trifluoroacetic acid, which yielded no reaction.Fórmula:C9H16O6Cor e Forma:White Off-White PowderPeso molecular:220.22 g/mol1,2-O-Isopropylidene-α-D-glucofuranose
CAS:(R)-1-((3aR,5R,6S,6aR)-6-Hydroxy-2,2-dimethyltetrahydrofuro[2,3-d][1,3]dioxol-5-yl)ethane-1,2-diolFórmula:C9H16O6Pureza:95%Peso molecular:220.22










