CAS 32860-62-1
:Maltotriitol
Descrição:
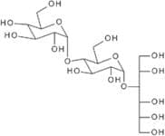
Maltotriitol, com o número CAS 32860-62-1, é um derivado de carboidrato que pertence à classe dos álcoois de açúcar. É um trisacarídeo composto por três unidades de glicose ligadas por ligações glicosídicas, apresentando uma estrutura que inclui múltiplos grupos hidroxila (-OH), que contribuem para sua natureza hidrofílica. Maltotriitol é tipicamente caracterizado por seu sabor doce, tornando-se um candidato potencial para uso como substituto do açúcar em produtos alimentares. É solúvel em água, o que aumenta sua aplicabilidade em várias formulações. Além disso, Maltotriitol é não tóxico e geralmente reconhecido como seguro para consumo, o que é vantajoso para seu uso em produtos dietéticos. Suas propriedades também podem incluir baixo teor calórico em comparação com açúcares tradicionais, tornando-o adequado para opções alimentares de baixo calor e amigáveis para diabéticos. Além disso, Maltotriitol pode participar de várias reações bioquímicas, tornando-o de interesse tanto na ciência dos alimentos quanto na bioquímica. No geral, suas características estruturais únicas e propriedades funcionais fazem de Maltotriitol um composto valioso na indústria alimentícia e além.
Fórmula:C18H34O16
InChI:InChI=1S/C18H34O16/c19-1-5(23)9(25)15(6(24)2-20)33-18-14(30)12(28)16(8(4-22)32-18)34-17-13(29)11(27)10(26)7(3-21)31-17/h5-30H,1-4H2/t5-,6+,7+,8+,9+,10+,11-,12+,13+,14+,15+,16+,17+,18+/m0/s1
Chave InChI:InChIKey=XJCCHWKNFMUJFE-CGQAXDJHSA-N
SMILES:O([C@@H]1[C@@H](CO)O[C@H](O[C@@H]([C@@H]([C@H](CO)O)O)[C@@H](CO)O)[C@H](O)[C@H]1O)[C@H]2O[C@H](CO)[C@@H](O)[C@H](O)[C@H]2O
Sinónimos:- <span class="text-smallcaps">D</smallcap>-Glucitol, O-α-<smallcap>D</smallcap>-glucopyranosyl-(1→4)-O-α-<smallcap>D</span>-glucopyranosyl-(1→4)-
- Glucitol, O-α-<span class="text-smallcaps">D</smallcap>-glucopyranosyl-(1→4)-O-α-<smallcap>D</smallcap>-glucopyranosyl-(1→4)-, <smallcap>D</span>-
- O-alpha-D-Glucopyranosyl-(1.4)-O-alpha-D-glucopyranosyl-(1.4)-D-glucitol
- O-α-<span class="text-smallcaps">D</smallcap>-Glucopyranosyl-(1→4)-O-α-<smallcap>D</smallcap>-glucopyranosyl-(1→4)-<smallcap>D</span>-glucitol
- alpha-D-glucopyranosyl-(1->4)-(3xi)-alpha-D-ribo-hexopyranosyl-(1->4)-(4xi)-D-xylo-hexitol
- Glucitol, O-α-D-glucopyranosyl-(1→4)-O-α-D-glucopyranosyl-(1→4)-, D-
- O-α-D-Glucopyranosyl-(1→4)-O-α-D-glucopyranosyl-(1→4)-D-glucitol
- D-Glucitol, O-α-D-glucopyranosyl-(1→4)-O-α-D-glucopyranosyl-(1→4)-
- Maltotriitol
Ordenar por
Pureza (%)
0
100
|
0
|
50
|
90
|
95
|
100
Foram encontrados 9 produtos.
Maltotriitol
CAS:(2S,3R,4R,5R)-4-(((2R,3R,4R,5S,6R)-3,4-Dihydroxy-6-(hydroxymethyl)-5-(((2R,3R,4S,5S,6R)-3,4,5-trihydroxy-6-(hydroxymethyl)tetrahydro-2H-pyran-2-yl)oxy)tetrahydro-2H-pyran-2-yl)oxy)hexane-1,2,3,5,6-pentaolFórmula:C18H34O16Pureza:95%Peso molecular:506.45Maltotriitol
CAS:Maltotriitol is a biochemical reagent that can be used as a biomaterial for life science related research and as a sulfonylation reagent for organic synthesis and drug discovery.Fórmula:C18H34O16Cor e Forma:SolidPeso molecular:506.45Maltotriitol
CAS:Bulk sweetener; viscosity/bodying agent; humectant; cryoprotectant
Fórmula:C18H34O16Pureza:(%) Min. 95%Cor e Forma:White PowderPeso molecular:506.45 g/mol








