CAS 34369-07-8
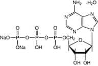
:Hidrato de sal dissódica de adenosina-5'-trifosfato
Descrição:
Hidrato de sal dissódica de adenosina-5'-trifosfato, comumente referido como sal dissódica de ATP, é um nucleotídeo que desempenha um papel crucial na transferência de energia celular. Consiste em uma molécula de adenosina ligada a três grupos fosfato, com dois íons de sódio associados à parte de trifosfato em sua forma de sal dissódico. Este composto é altamente solúvel em água, tornando-se prontamente disponível para reações bioquímicas. O ATP serve como a principal moeda energética nas células, facilitando vários processos biológicos, como contração muscular, propagação de impulsos nervosos e síntese bioquímica. A presença do grupo trifosfato permite que o ATP libere energia durante a hidrólise, o que é essencial para impulsionar reações endergônicas. Além disso, o ATP está envolvido em vias de sinalização e atua como substrato para quinases em reações de fosforilação. A forma hidratada indica que moléculas de água estão incorporadas na estrutura cristalina, o que pode influenciar sua estabilidade e solubilidade. No geral, a sal dissódica de ATP é vital para manter as funções celulares e é amplamente utilizada em pesquisas e aplicações bioquímicas.
Fórmula:C10H14N5Na2O13P3
InChI:InChI=1/C10H16N5O13P3.2Na/c11-8-5-9(13-2-12-8)15(3-14-5)10-7(17)6(16)4(26-10)1-25-30(21,22)28-31(23,24)27-29(18,19)20;;/h2-4,6-7,10,16-17H,1H2,(H,21,22)(H,23,24)(H2,11,12,13)(H2,18,19,20);;/q;2*+1/p-2/t4-,6-,7-,10?;;/m1../s1
SMILES:C(C1C(C(C(n2cnc3c(N)ncnc23)O1)O)O)OP(=O)(O)OP(=O)(O)OP(=O)(O)O.[Na].[Na]
Sinónimos:- Adenosine 5'-Triphosphate Disodium Sal&
Ordenar por
Pureza (%)
0
100
|
0
|
50
|
90
|
95
|
100
Foram encontrados 15 produtos.
Adenosine 5'-Triphosphate Disodium Salt Hydrate
CAS:Fórmula:C10H14N5Na2O13P3·xH2OPureza:>98.0%(T)(HPLC)Cor e Forma:White to Almost white powder to crystalinePeso molecular:551.14 (as Anhydrous)Adenosine-5'-triphosphate disodium salt hydrate, ultrapure, 98%
CAS:Adenosine 5'-Triphosphate, is used as a p2 purinergicagonist. It is also used as a nucleotide, the 5'-triphosphate of deoxyadenosine activated precursor in DNA synthesis. This Thermo Scientific Chemicals brand product was originally part of the Alfa Aesar product portfolio. Some documentation and laFórmula:C10H14N5Na2O13P3Pureza:98%Cor e Forma:White to pale yellow, Powder or crystals or crystalline powderPeso molecular:551.15Adenosine-5'-triphosphate disodium salt hydrate, 99%, water <10%
CAS:Adenosine-5'-triphosphate disodium salt hydrate is used as a form of cellular energy. It is used in many cellular processes, respiration, biosynthetic reactions, motility, and cell division. ATP is a substrate of many kinases involved in cell signaling and of adenylate cyclase(s) that produce the seFórmula:C10H14N5Na2O13P3Pureza:99%Cor e Forma:White, Crystals or powder or crystalline powderPeso molecular:551.15Adenosine-5'-triphosphate disodium salt hydrate, 98%
CAS:Adenosine-5'-triphosphate disodium salt hydrate, is used as a P2 purinoceptor agonist. This Thermo Scientific Chemicals brand product was originally part of the Alfa Aesar product portfolio. Some documentation and label information may refer to the legacy brand. The original Alfa Aesar product / iteFórmula:C10H14N5Na2O13P3Pureza:98%Cor e Forma:White to cream, Powder or crystalline powderPeso molecular:551.15Adenosine5'-(tetrahydrogen triphosphate), disodium salt, hydrate (8CI,9CI)
CAS:Fórmula:C10H16N5Na2O14P3Pureza:98%Cor e Forma:SolidPeso molecular:569.1600ATP disodium salt hydrate
CAS:ATP disodium salt hydrateFórmula:C10H16N5Na2O14P3Pureza:≥98%Peso molecular:569.161Adenosine 5'-triphosphate disodium salt hydrate
CAS:Adenosine 5'-triphosphate disodium salt hydrateFórmula:C10H14N5Na2O13P3·xH2OPureza:98%Cor e Forma:SolidAdenosine 5''-triphosphate disodium salt hydrate
CAS:Fórmula:C10H14O13N5Na2P3·xH2OPureza:≥ 97.0%Cor e Forma:White to almost white powderPeso molecular:551.14 (anhydrous)Adenosine 5'-Triphosphate as Disodium Salt
CAS:Fórmula:C10H14N5O13P3·2NaPeso molecular:505.17 2 22.99Adenosine 5'-Triphosphate-13C5 Disodium Salt
CAS:Fórmula:C513C5H14N5O13P3·2NaPeso molecular:510.11 2 22.99ATP disodium salt hydrate
CAS:ATP disodium salt hydrate (Adenosine disodium triphosphate) is a nucleoside triphosphate used in cells as a coenzyme.Fórmula:C10H16N5Na2O14P3Pureza:98.79% - >99.99%Cor e Forma:SolidPeso molecular:569.16Adenosine 5'-triphosphate disodium salt hydrate
CAS:Adenosine 5'-triphosphate disodium salt hydrate (ATP 2Na) is a nucleoside triphosphate acting as the essential part of energy storage and metabolism in vivo. It plays a crucial role in many biological processes including neurotransmission, signal transduction, muscle contraction and cardiac function, often described as the "molecular unit of currency" for intracellular energy transfer.
Fórmula:C10H14N5Na2O13P3·xH2OPureza:Min. 97 Area-%Cor e Forma:White PowderPeso molecular:551.14 g/molATP disodium salt hydrate
CAS:((2R,3S,4R,5R)-5-(6-Amino-9H-purin-9-yl)-3,4-dihydroxytetrahydrofuran-2-yl)methyl tetrahydrogen triphosphate, disodium salt xhydrateFórmula:C10H16N5O13P3Na2·xH2OPureza:98%Peso molecular:569.16Adenosine-5’-Triphosphate Disodium Salt (ATP-Na2) extrapure vanadium free, 98%
CAS:Fórmula:C10H14N5O13P3Na2Pureza:min. 98.0%Cor e Forma:White, Crystalline powder, Clear, ColourlessPeso molecular:551.15










