CAS 520-27-4
:Diosmina
Descrição:
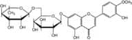
Diosmina é um composto flavonoide derivado principalmente de frutas cítricas, particularmente laranjas e limões. É classificado como um glicosídeo, especificamente um glicosídeo flavona, o que significa que consiste em uma parte flavonoide ligada a uma molécula de açúcar. Diosmina é conhecido por seus potenciais benefícios à saúde, particularmente no tratamento da insuficiência venosa e condições relacionadas, pois pode melhorar o tônus venoso e reduzir a permeabilidade capilar. Sua estrutura química inclui um anel de cromona, que é característico dos flavonoides, e exibe propriedades antioxidantes. Diosmina é frequentemente utilizado em suplementos dietéticos e formulações farmacêuticas, e geralmente é bem tolerado, embora algumas pessoas possam experimentar efeitos colaterais gastrointestinais leves. O composto é solúvel em água e solventes orgânicos, tornando-o versátil para várias aplicações. Além disso, Diosmina é frequentemente estudado por seus efeitos anti-inflamatórios e protetores sobre os vasos sanguíneos, contribuindo para seu uso no manejo de condições como hemorróidas e varizes.
Fórmula:C28H32O15
InChI:InChI=1S/C28H32O15/c1-10-21(32)23(34)25(36)27(40-10)39-9-19-22(33)24(35)26(37)28(43-19)41-12-6-14(30)20-15(31)8-17(42-18(20)7-12)11-3-4-16(38-2)13(29)5-11/h3-8,10,19,21-30,32-37H,9H2,1-2H3/t10-,19+,21-,22+,23+,24-,25+,26+,27+,28+/m0/s1
Chave InChI:InChIKey=GZSOSUNBTXMUFQ-YFAPSIMESA-N
SMILES:O=C1C=2C(OC(=C1)C3=CC(O)=C(OC)C=C3)=CC(O[C@@H]4O[C@H](CO[C@H]5[C@H](O)[C@H](O)[C@@H](O)[C@H](C)O5)[C@@H](O)[C@H](O)[C@H]4O)=CC2O
Sinónimos:- 3',5,7-Trihydroxy-4'-Methoxyflavone 7-Rutinoside
- 3,5,7-Trihydroxy-4-methoxyflavone-7- rutinoside
- 3′,5,7-Trihydroxy-4′-methoxyflavone 7-O-rutinoside
- 3′,5-Dihydroxyl-4′-methoxylflavanone-7-O-α-<span class="text-smallcaps">L</smallcap>-rhamnosyl (1→6)-β-<smallcap>D</span>-glucopyranoside
- 4H-1-Benzopyran-4-one, 7-[[6-O-(6-deoxy-α-<span class="text-smallcaps">L</smallcap>-mannopyranosyl)-β-<smallcap>D</span>-glucopyranosyl]oxy]-5-hydroxy-2-(3-hydroxy-4-methoxyphenyl)-
- 5-hydroxy-2-(3-hydroxy-4-methoxyphenyl)-4-oxo-4H-chromen-7-yl 6-O-(6-deoxy-alpha-D-mannopyranosyl)-beta-D-glucopyranoside
- 5-hydroxy-2-(3-hydroxy-4-methoxyphenyl)-4-oxo-4H-chromen-7-yl 6-O-(6-deoxy-alpha-L-mannopyranosyl)-beta-D-glucopyranoside
- 5-hydroxy-2-(3-hydroxy-4-methoxyphenyl)-4-oxo-4H-chromen-7-yl 6-O-(6-deoxyhexopyranosyl)hexopyranoside
- 7-[[6-O-(6-Deoxy-α-<span class="text-smallcaps">L</smallcap>-mannopyranosyl)-β-<smallcap>D</span>-glucopyranosyl]oxy]-5-hydroxy-2-(3-hydroxy-4-methoxyphenyl)-4H-1-benzopyran-4-one
- Barosmin
- Buchu resin
- Diosmetin 7-O-rhamnosyl(1→6)-glucoside
- Diosmetin 7-O-rutinoside
- Diosmetin 7-O-α-<span class="text-smallcaps">L</smallcap>-rhamnopyranosyl-(1→6)-β-<smallcap>D</span>-glucopyranoside
- Diosmetin 7-rutinoside
- Diosmetin 7-β-rutinoside
- Diosmil
- Diosmine
- Diosven
- Dioven
- Diovenor
- Flebodia
- Flebosmil
- Flebosten
- Hemerven
- Insuven
- Litosmil
- Phlebodia
- Tovene
- Varinon
- Ven-Detrex
- Venex 500
- Venosmine
- 4H-1-Benzopyran-4-one, 7-[[6-O-(6-deoxy-α-L-mannopyranosyl)-β-D-glucopyranosyl]oxy]-5-hydroxy-2-(3-hydroxy-4-methoxyphenyl)-
- Diosmin
- Ver mais sinónimos
Ordenar por
Pureza (%)
0
100
|
0
|
50
|
90
|
95
|
100
Diosmin
CAS:Fórmula:C28H32O15Pureza:>85.0%(HPLC)Cor e Forma:White to Gray to Brown powder to crystalPeso molecular:608.55Diosmin
CAS:Diosmin exhibits anti-proliferative and anti-inflammatory. It is used in the treatment of venous disease, i.e., chronic venous insufficiency (CVI) and hemorrhoidal disease (HD). This Thermo Scientific Chemicals brand product was originally part of the Alfa Aesar product portfolio. Some documentationFórmula:C28H32O15Peso molecular:608.5Diosmin
CAS:Diosmin analytical standard provided with w/w absolute assay, to be used for quantitative titration.Fórmula:C28H32O15Pureza:(HPLC) ≥99%Cor e Forma:PowderPeso molecular:608.564H-1-Benzopyran-4-one,7-[[6-O-(6-deoxy-a-L-mannopyranosyl)-b-D-glucopyranosyl]oxy]-5-hydroxy-2-(3-hydroxy-4-methoxyphenyl)-
CAS:Fórmula:C28H32O15Pureza:95%Cor e Forma:SolidPeso molecular:608.5447Ref: IN-DA00IKGP
5g25,00€1g26,00€10g40,00€25g53,00€50g67,00€75g95,00€100g113,00€200g175,00€300g187,00€500g210,00€Diosmin
CAS:Diosmin (Venosmine) is a bioflavonoid that strengthens vascular walls.Fórmula:C28H32O15Pureza:97.90%Cor e Forma:Greyish-Yellow Or Light Yellow Hygroscopic PowderPeso molecular:608.54Diosmin
CAS:5-Hydroxy-2-(3-hydroxy-4-methoxyphenyl)-7-(((2S,3R,4S,5S,6R)-3,4,5-trihydroxy-6-((((2R,3R,4R,5R,6S)-3,4,5-trihydroxy-6-methyltetrahydro-2H-pyran-2-yl)oxy)methyl)tetrahydro-2H-pyran-2-yl)oxy)-4H-chromen-4-oneFórmula:C28H32O15Pureza:95%Peso molecular:608.54Diosmin
CAS:Fórmula:C28H32O15Pureza:≥ 90.0% (anhydrous basis)Cor e Forma:Yellow to green-yellow or yellow-brown powderPeso molecular:608.50Diosmin (Standard)
CAS:Diosmin (Standard) is a reference standard for research and analysis in studies involving Diosmin. Diosmin (Venosmine) is a bioflavonoid that strengthens vascular walls.Fórmula:C28H32O15Peso molecular:608.54Diosmin
CAS:Natural glycosideFórmula:C28H32O15Pureza:≥ 90.0 % (HPLC)Cor e Forma:PowderPeso molecular:608.55Diosmin
CAS:Produto ControladoApplications Naturally occurring flavonic glycoside; rhamnoglycoside of Diosmetin. Capillary protectant.
References Damon, M., et al.: Arzneim.-Forsch., 37, 1149 (1987), Laurent, R., et al.: Int. Angiol., 7, 39 (1988), Tajana, A., et al.: Minerva Med., 79, 387 (1988),Fórmula:C28H32O15Cor e Forma:NeatPeso molecular:608.54Diosmin - 90%
CAS:Phlebotropic drug used in the treatment of venous diseaseFórmula:C28H32O15Pureza:Min. 95%Cor e Forma:Yellow PowderPeso molecular:608.54 g/mol















