CAS 577-76-4
:Quitobiose
Descrição:
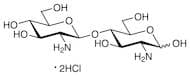
Quitobiose é um dissacarídeo composto por duas unidades de N-acetilglucosamina ligadas por uma ligação glicosídica β(1→4). É um derivado da quitina, que é um polímero natural encontrado nos exoesqueletos de crustáceos e nas paredes celulares de fungos. Quitobiose é tipicamente branco a off-white em aparência e é solúvel em água, tornando-o útil em várias aplicações biológicas e industriais. Apresenta propriedades como ser não tóxico e biodegradável, o que o torna um candidato atraente para uso em produtos farmacêuticos, alimentos e cosméticos. Quitobiose pode servir como um prebiótico, promovendo o crescimento de bactérias intestinais benéficas. Além disso, tem aplicações potenciais em sistemas de entrega de medicamentos e como biomaterial devido à sua biocompatibilidade. A substância também é de interesse em pesquisas relacionadas a glicoproteínas e polissacarídeos, contribuindo para a compreensão da química dos carboidratos e suas implicações biológicas.
Fórmula:C12H24N2O9
InChI:InChI=1S/C12H24N2O9/c13-4(1-15)8(19)11(5(18)2-16)23-12-7(14)10(21)9(20)6(3-17)22-12/h1,4-12,16-21H,2-3,13-14H2/t4-,5+,6+,7+,8+,9+,10+,11+,12-/m0/s1
Chave InChI:InChIKey=VUALREFPJJODHZ-JTCHKQLLSA-N
SMILES:O([C@@H]([C@@H]([C@H](C=O)N)O)[C@@H](CO)O)[C@@H]1O[C@H](CO)[C@@H](O)[C@H](O)[C@H]1N
Sinónimos:- 2-Amino-4-O-(2-amino-2-deoxy-β-<span class="text-smallcaps">D</smallcap>-glucopyranosyl)-2-deoxy-<smallcap>D</span>-glucose
- 4-O-(2-Amino-2-deoxy-β-<span class="text-smallcaps">D</smallcap>-glucosyl)-<smallcap>D</span>-glucosamine
- <span class="text-smallcaps">D</smallcap>-Glucose, 2-amino-4-O-(2-amino-2-deoxy-β-<smallcap>D</span>-glucopyranosyl)-2-deoxy-
- Chitobiose
- hexopyranose, 2-(acetylamino)-4-O-[2-(acetylamino)-2-deoxyhexopyranosyl]-2-deoxy-
- 2-Amino-4-O-(2-amino-2-deoxy-β-D-glucopyranosyl)-2-deoxy-D-glucose
- 4-O-(2-Amino-2-deoxy-β-D-glucosyl)-D-glucosamine
- D-Glucose, 2-amino-4-O-(2-amino-2-deoxy-β-D-glucopyranosyl)-2-deoxy-
Ordenar por
Pureza (%)
0
100
|
0
|
50
|
90
|
95
|
100
Foram encontrados 5 produtos.
Chitobiose Dihydrochloride
CAS:Fórmula:C12H24N2O9·2HClPureza:>90.0%(T)Cor e Forma:White to Almost white powder to crystalPeso molecular:413.25(2R,3R,4S,5R)-2-Amino-4-(((2S,3R,4R,5S,6R)-3-amino-4,5-dihydroxy-6-(hydroxymethyl)tetrahydro-2H-pyran-2-yl)oxy)-3,5,6-trihydroxyhexanal
CAS:(2R,3R,4S,5R)-2-Amino-4-(((2S,3R,4R,5S,6R)-3-amino-4,5-dihydroxy-6-(hydroxymethyl)tetrahydro-2H-pyran-2-yl)oxy)-3,5,6-trihydroxyhexanalFórmula:C12H24N2O9Pureza:≥99%Peso molecular:340.33Chitobiose dihydrochloride
CAS:Fórmula:C12H24N2O9·2HClPureza:≥ 98.0%Cor e Forma:White to off-white powderPeso molecular:413.25Chitosan Dimer Dihydrochloride extrapure, 98%
CAS:Fórmula:C12H24N2O9·2HClPureza:min. 98%Cor e Forma:White to off-white, PowderPeso molecular:413.25





