CAS 6246-46-4
:ácido ursônico
Descrição:
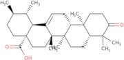
ácido ursônico, com o número CAS 6246-46-4, é um composto orgânico que ocorre naturalmente e é classificado como um triterpenoide. É derivado de várias fontes vegetais e é conhecido por suas características estruturais únicas, incluindo uma estrutura pentacíclica típica de muitos triterpenos. ácido ursônico exibe uma variedade de atividades biológicas, incluindo propriedades anti-inflamatórias, antioxidantes e potenciais anticancerígenas, tornando-o de interesse na pesquisa farmacológica. O composto é caracterizado por sua natureza hidrofóbica, que influencia sua solubilidade e interação com membranas biológicas. Além disso, ácido ursônico pode passar por várias transformações químicas, permitindo a síntese de derivados que podem aumentar sua eficácia terapêutica. Sua presença na medicina tradicional destaca suas potenciais aplicações, embora mais estudos sejam necessários para entender completamente seus mecanismos de ação e potencial terapêutico. No geral, ácido ursônico representa um composto significativo no campo dos produtos naturais e da química medicinal, justificando uma investigação contínua sobre suas propriedades e aplicações.
Fórmula:C30H46O3
InChI:InChI=1/C30H46O3/c1-18-10-15-30(25(32)33)17-16-28(6)20(24(30)19(18)2)8-9-22-27(5)13-12-23(31)26(3,4)21(27)11-14-29(22,28)7/h8,18-19,21-22,24H,9-17H2,1-7H3,(H,32,33)/t18-,19+,21+,22-,24+,27+,28-,29-,30+/m1/s1
Chave InChI:InChIKey=MUCRYNWJQNHDJH-OADIDDRXSA-N
SMILES:C(O)(=O)[C@]12[C@](C=3[C@@](C)(CC1)[C@@]4(C)[C@](CC3)([C@]5(C)[C@@](CC4)(C(C)(C)C(=O)CC5)[H])[H])([C@@H](C)[C@H](C)CC2)[H]
Sinónimos:- (5Xi,18Alpha)-3-Oxours-12-En-28-Oic Acid
- 3-Ketoursolic acid
- Urs-12-en-28-oic acid, 3-oxo-
- Ursonic acid
- 3-Oxours-12-en-28-oic acid
- Ursonic acid, >98%
- 3-Oxours-12-en-28-oicaci
- 3-oxo-urs-12-en-28-oic acid 6246-46-4
- 3-Ketone
- TOS-BB-0966
- (1S,2R,4aS,6aR,6aS,6bR,8aR,12aR,14bS)-1,2,6a,6b,9,9,12a-heptamethyl-10-oxo-1,2,3,4,5,6,6a,7,8,8a,11,12,13,14b-tetradecahydropicene-4a-carboxylic acid
- CCRIS 7123
- Ver mais sinónimos
Ordenar por
Pureza (%)
0
100
|
0
|
50
|
90
|
95
|
100
Foram encontrados 9 produtos.
3-Oxours-12-en-28-oic Acid
CAS:Fórmula:C30H46O3Pureza:>94.0%(GC)Cor e Forma:White to Almost white powder to crystalPeso molecular:454.70Ursonic Acid
CAS:Ursonic Acid (TOS-BB-0966) belongs to the family of Ursane Triterpenes whose structure is based on the pentacyclic ursane skeleton.Fórmula:C30H46O3Pureza:98.90% - >99.99%Cor e Forma:SolidPeso molecular:454.683-Oxours-12-en-28-oic Acid
CAS:Produto Controlado3-Oxours-12-en-28-oic Acid is a natural compound that is a metabolite of ursolic acid. 3-Oxours-12-en-28-oic Acid has been shown to have antiapoptotic and antidiabetic effects in preclinical studies. Furthermore, it has been shown to inhibit the growth of cancer cells and reduce insulin resistance in clinical studies. The structural similarity between 3-oxours-12-en-28 oic acid and pomolic acid may be due to the hydroxyl group on the aromatic ring. This structural similarity may account for their similar biological activities, including antioxidant activity, anticancer activity, and antidiabetic effect.
Fórmula:C30H46O3Pureza:Min. 95%Peso molecular:454.7 g/mol








