CAS 7423-96-3
:3-Fluoro-L-tirosina
Descrição:
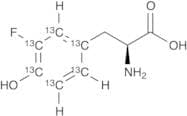
3-Fluoro-L-tirosina é um derivado fluorinado do aminoácido tirosina, caracterizado pela presença de um átomo de flúor na posição meta do anel aromático. Essa modificação pode influenciar as propriedades bioquímicas do composto, incluindo sua interação com enzimas e receptores. A fórmula molecular de 3-Fluoro-L-tirosina é C9H10FNO3, e apresenta um grupo hidroxila, um grupo amino e um grupo ácido carboxílico, típicos dos aminoácidos. A introdução do átomo de flúor pode aumentar a estabilidade do composto e alterar sua hidrofobicidade, potencialmente afetando sua solubilidade e reatividade. 3-Fluoro-L-tirosina é de interesse na pesquisa bioquímica, particularmente em estudos envolvendo síntese de proteínas e o desenvolvimento de novos fármacos. Suas propriedades únicas também podem torná-lo uma ferramenta valiosa no estudo de vias metabólicas e no design de compostos fluorados para aplicações terapêuticas. Assim como muitos compostos fluorados, devem ser observadas precauções de segurança e manuseio devido ao potencial de toxicidade e impacto ambiental.
Fórmula:C9H10FNO3
InChI:InChI=1S/C9H10FNO3/c10-6-3-5(1-2-8(6)12)4-7(11)9(13)14/h1-3,7,12H,4,11H2,(H,13,14)/t7-/m0/s1
Chave InChI:InChIKey=VIIAUOZUUGXERI-ZETCQYMHSA-N
SMILES:C([C@@H](C(O)=O)N)C1=CC(F)=C(O)C=C1
Sinónimos:- (2S)-2-Amino-3-(3-fluoro-4-hydroxyphenyl)propanoic acid
- (2S)-2-Azaniumyl-3-(3-fluoro-4-hydroxyphenyl)propanoate
- (S)-2-Amino-3-(3-Fluoro-4-Hydroxy-Phenyl)-Propionic Acid
- (S)-2-Amino-3-(3-fluoro-4-hydroxyphenyl)propanoic acid
- 3-Fluoro-<span class="text-smallcaps">L</span>-tyrosine
- <span class="text-smallcaps">L</span>-Tyrosine, 3-fluoro-
- <span class="text-smallcaps">L</span>-m-Fluorotyrosine
- H-Tyr(3-F)-OH
- Tyrosine, 3-fluoro-, <span class="text-smallcaps">L</span>-
- L-m-Fluorotyrosine
- L-Tyrosine, 3-fluoro-
- 3-Fluoro-L-tyrosine
- Ver mais sinónimos
Ordenar por
Pureza (%)
0
100
|
0
|
50
|
90
|
95
|
100
Foram encontrados 7 produtos.
3-Fluoro-L-tyrosine
CAS:Fórmula:C9H10FNO3Pureza:>98.0%(T)(HPLC)Cor e Forma:White to Light gray to Light yellow powder to crystalPeso molecular:199.183-Fluoro-L-tyrosine, 97%
CAS:3-Fluoro-L-tyrosine is used as pharma and intermediates. This Thermo Scientific Chemicals brand product was originally part of the Alfa Aesar product portfolio. Some documentation and label information may refer to the legacy brand. The original Alfa Aesar product / item code or SKU reference has noFórmula:C9H10FNO3Pureza:97%Cor e Forma:White to cream or pale brown, PowderPeso molecular:199.183-Fluoro-4-hydroxy-L-phenylalanine
CAS:3-Fluoro-4-hydroxy-L-phenylalanineFórmula:C9H10FNO3Pureza:97%Cor e Forma:White SolidPeso molecular:199.179(S)-2-Amino-3-(3-fluoro-4-hydroxyphenyl)propanoic acid
CAS:Fórmula:C9H10FNO3Pureza:98%Cor e Forma:SolidPeso molecular:199.17903-Fluoro-L-tyrosine
CAS:3-Fluoro-L-tyrosine is a hydroxylated amino acid that is used as a pharmacological agent. 3-Fluoro-L-tyrosine has been shown to be a substrate for the enzyme tyrosinase, which catalyzes the conversion of L-tyrosine into 3,4 dihydroxyphenylalanine (DOPA). 3-Fluoro-L-tyrosine also reacts with bacterial enzymes and may have antibacterial properties.Fórmula:C9H10FNO3Pureza:Min. 95%Cor e Forma:PowderPeso molecular:199.18 g/mol3-Fluoro-L-Tyrosine-13C6
CAS:Produto ControladoFórmula:C6C3H10FNO3Cor e Forma:NeatPeso molecular:205.135







