CAS 84366-81-4
:sal de sódio de flavina adenina dinucleótido
Descrição:
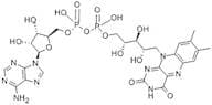
sal de sódio de flavina adenina dinucleótido (FAD) é uma coenzima envolvida em várias reações redox biológicas, desempenhando um papel crucial no metabolismo celular. É um derivado da riboflavina (vitamina B2) e consiste em um nucleotídeo de adenina ligado a um mononucleotídeo de flavina. O FAD atua como transportador de elétrons na cadeia de transporte de elétrons e é essencial para a função de várias flavoproteínas, que estão envolvidas em processos como fosforilação oxidativa e oxidação de ácidos graxos. A forma de sal de sódio melhora sua solubilidade em soluções aquosas, tornando-a adequada para aplicações bioquímicas. O FAD é caracterizado por sua cor amarela e propriedades de fluorescência, que podem ser utilizadas em várias técnicas analíticas. É estável em condições fisiológicas, mas pode ser sensível à luz e ao calor, exigindo manuseio e armazenamento cuidadosos. Além de sua importância bioquímica, o FAD também é estudado por suas potenciais aplicações terapêuticas, incluindo seu papel no metabolismo energético e como antioxidante.
Fórmula:C27H33N9O15P2·2Na
InChI:InChI=1S/C27H33N9O15P2.2Na/c1-10-3-12-13(4-11(10)2)35(24-18(32-12)25(42)34-27(43)33-24)5-14(37)19(39)15(38)6-48-52(44,45)51-53(46,47)49-7-16-20(40)21(41)26(50-16)36-9-31-17-22(28)29-8-30-23(17)36;;/h3-4,8-9,14-16,19-21,26,37-41H,5-7H2,1-2H3,(H,44,45)(H,46,47)(H2,28,29,30)(H,34,42,43);;/t14-,15+,16+,19-,20+,21+,26+;;/m0../s1
Chave InChI:InChIKey=JCGIJLSDQPUSED-WFUPGROFSA-N
SMILES:C([C@@H]([C@@H]([C@@H](COP(OP(OC[C@H]1O[C@H]([C@H](O)[C@@H]1O)N2C=3C(N=C2)=C(N)N=CN3)(=O)O)(=O)O)O)O)O)N4C=5C(=NC=6C4=CC(C)=C(C)C6)C(=O)NC(=O)N5.[Na]
Sinónimos:- Benzo[g]pteridine, riboflavin 5′-(trihydrogen diphosphate) deriv.
- FAD sodium salt
- Flavin adenine dinucleotide disodium salt
- Flavin adenine dinucleotide sodium salt
- Riboflavin 5'-(trihydrogen diphosphate), 5'.5'-ester with adenosine, disodium salt
- Riboflavin 5′-(trihydrogen diphosphate), P′→5′-ester with adenosine, disodium salt
- Riboflavin 5′-(trihydrogen diphosphate), P′→5′-ester with adenosine, sodium salt (1:2)
- disodium [(2R,3S,4R,5R)-5-(6-aminopurin-9-yl)-3,4-dihydroxy-tetrahydrofuran-2-yl]methyl [[(2R,3S,4S)-5-(7,8-dimethyl-2,4-dioxo-benzo[g]pteridin-10-yl)-2,3,4-trihydroxy-pentoxy]-oxido-phosphoryl] phosphate
- disodium [(2R,3S,4R,5R)-5-(6-aminopurin-9-yl)-3,4-dihydroxy-tetrahydrofuran-2-yl]methyl [[5-(7,8-dimethyl-2,4-dioxo-benzo[g]pteridin-10-yl)-2,3,4-trihydroxy-pentoxy]-oxido-phosphoryl] phosphate
Ordenar por
Pureza (%)
0
100
|
0
|
50
|
90
|
95
|
100
Foram encontrados 11 produtos.
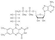
Flavin Adenine Dinucleotide Disodium Salt
CAS:Fórmula:C27H31N9Na2O15P2Pureza:>94.0%(HPLC)Cor e Forma:Light yellow to Brown powder to crystalPeso molecular:829.52Flavin adenine dinucleotide disodium salt hydrate
CAS:Fórmula:C27H31N9Na2O15P2Pureza:98%Cor e Forma:SolidPeso molecular:829.5134Flavin Adenine Dinucleotide Disodium Salt Hydrate
CAS:Flavin Adenine Dinucleotide Disodium Salt HydrateFórmula:C27H31N9Na2O15P2·H2OPureza:99%Cor e Forma:Solid-PowderPeso molecular:829.521Flavin adenine dinucleotide disodium salt hydrate
CAS:Fórmula:C27H31N9Na2O15P2·xH2OPureza:(HPLC) ≥ 95.0%Cor e Forma:Light yellow to dark orange powderPeso molecular:829.51 (anhydrous)Flavin adenine dinucleotide disodium salt
CAS:Flavin adenine dinucleotide disodium saltFórmula:C27H31N9Na2O15P2Pureza:≥95%Peso molecular:829.52Flavin Adenine Dinucleotide Disodium Salt Hydrate
CAS:Fórmula:C27H31N9O15P22·2NaPeso molecular:783.54 2*22.99Flavine Adenine Dinucleotide Disodium Salt
CAS:Produto ControladoStability Hygroscopic
Applications The prosthetic group of certain flavoproteins including D-amino acid oxidase, glucose oxidase, glycine oxidase, fumaric hydrogenase, histaminase, and xanthine oxidase. Riboflavin kinase tumor necrosis factor receptor 1 NADPH oxidase.
References DeLuca, K., et al.: J. Biol. Chem., 223, 569 (1956), Yagi, K., et al.: Biochemistry, 19, 1553 (1980), Li, G., et al.: J. Phys. Chem., 112, 4573 (2008),Fórmula:C27H31N9O15P2·2NaCor e Forma:NeatPeso molecular:829.51Flavin adenine dinucleotide disodium salt
CAS:Flavin adenine dinucleotide disodium salt (FAD sodium salt) is a coenzyme that facilitates the electron transfer of flavin enzymes in cellular redox reactions.Fórmula:C27H31N9Na2O15P2Pureza:99.88% - >99.99%Cor e Forma:White Or Off-White Crystal PowderPeso molecular:829.52Flavin adenine dinucleotide disodium salt
CAS:(((2R,3S,4R,5R)-5-(6-Amino-9H-purin-9-yl)-3,4-dihydroxyoxolan-2-yl)methoxy)(((((2R,3S,4S)-5-(7,8-dimethyl-2,4-dioxo-2H,3H,4H,10H-benzo[g]pteridin-10-yl)-2,3,4-trihydroxypentyl)oxy)(hydroxy)phosphoryl)oxy)phosphinic acid Disodium SaltFórmula:C27H31N9Na2O15P2Pureza:98%Peso molecular:829.51Flavin Adenine Dinucleotide Sodium Salt Hydrate (FAD Hydrate) extrapure, 95%
CAS:Fórmula:C27H31N9O15P2Na2·2H2OPureza:min. 95%Cor e Forma:Orange, Crystalline powder, Clear, OrangePeso molecular:865.55Flavine Adenine Dinucleotide Disodium Salt
CAS:Fórmula:C27H31N9O15P2(Na)H2OPeso molecular:783.54 : 2 (22.99) : 18.02









