CAS 9082-07-9
:Sulfato de condroitina sódica
Descrição:
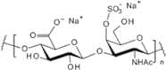
Sulfato de condroitina sódica é um glicosaminoglicano, um tipo de polissacarídeo que é comumente encontrado em tecidos conectivos, cartilagem e na matriz extracelular de vários tecidos do corpo. É uma forma salina de sulfato de condroitina, que é derivado da cartilagem animal, particularmente de fontes bovinas ou de tubarão. Este composto é caracterizado por sua capacidade de atrair e reter água, contribuindo para a hidratação e elasticidade da cartilagem. Sulfato de condroitina sódica é frequentemente utilizado como um suplemento dietético para a saúde das articulações, pois pode ajudar a aliviar os sintomas da osteoartrite e apoiar a reparação da cartilagem. Geralmente é administrado por via oral e é considerado seguro para a maioria das pessoas, embora os efeitos colaterais potenciais possam incluir desconforto gastrointestinal. A substância também é reconhecida por suas propriedades anti-inflamatórias e seu papel na promoção da função articular geral. Em termos de solubilidade, Sulfato de condroitina sódica é solúvel em água, tornando-o adequado para várias formulações em aplicações farmacêuticas e nutracêuticas.
Fórmula:H2O4S·xNa·xUnspecified
InChI:InChI=1/C14H23NO16S.Na/c1-3(17)15-5-10(9(30-32(25,26)31-24)4(2-16)27-13(5)23)28-14-8(20)6(18)7(19)11(29-14)12(21)22;/h4-11,13-14,16,18-20,23-24H,2H2,1H3,(H,15,17)(H,21,22);/q;+1/p-1/t4-,5-,6-,7-,8+,9+,10-,11-,13-,14+;/m1./s1/rC14H22NNaO16S/c1-3(18)15-5-10(28-14-8(21)6(19)7(20)11(29-14)12(22)23)9(4(2-17)27-13(5)24)30-33(25,26)32-31-16/h4-11,13-14,17,19-21,24H,2H2,1H3,(H,15,18)(H,22,23)/t4-,5-,6-,7-,8+,9+,10-,11-,13-,14+/m1/s1
SMILES:CC(=NC1C(C(C(CO)OC1O)OS(=O)(=O)OO)OC1C(C(C(C(C(=O)O)O1)O)O)O)O.[Na]
Sinónimos:- CSA
- Chondroitin 4-Sulfate Sodium Salt From Bovine Trachea
- Chondroitin 6-sulfate sodium salt
- Chondroitin Sulfate C Sodium Salt
- Chondroitin Sulfate Sodium
- Chondroitin Sulphate Sodium
- Chondroitin polysulfate sodium
- Chondroitin polysulfate sodium salt
- Chondroitin sulfate A sodium salt
- Chondroitin, hydrogen sulfate, sodium salt
- Chondroitin-6-Sulfate Sodium Sult
- Chondrolon
- Chondron
- Chondron (polysaccharide)
- Condrosulf
- Csc-Na
- Gepan
- Nd 3482
- Shark Chondroitin
- Shark Chondroitin Sulfate
- Sodium chondroitin polysulfate
- Sodium chondroitin sulfate
- Sodium salt of chondroitin sulfate
- Structum
- Uropol S
- Ver mais sinónimos
Ordenar por
Pureza (%)
0
100
|
0
|
50
|
90
|
95
|
100
Foram encontrados 11 produtos.
Chondroitin Sulfate Sodium, Shark
CAS:Natural polymers & modified natural polymers, in primary forms, nesoiFórmula:(C14H19NO14SNa2)nCor e Forma:White Off-White Light Yellow PowderPeso molecular:479.3679Chondroitin Sulfate Sodium
CAS:Natural polymers & modified natural polymers, in primary forms, nesoiFórmula:(C14H19NO14SNa2)nCor e Forma:White Yellow PowderPeso molecular:463.3685Chondroitin Sulfate Sodium Salt ,
CAS:Fórmula:C28H40N2Na4O29S2Pureza:95%Cor e Forma:SolidPeso molecular:1024.7023Chondroitin sulfate sodium, from bovine origin, USP grade
CAS:Fórmula:C13H21NO15SPureza:Meets requirementsCor e Forma:White to off-white powderPeso molecular:463.37Chondroitin sulfate sodium
CAS:Chondroitin sulfate sodium (Chondroitin polysulfate sodium) is a naturally occurring glycosaminoglycan extracted from animal cartilage that is used as a food supplement with antitumor activity, reduces inflammatory mediators and apoptotic processes, and decreases the production of inflammatory cytokines, iNOS, and MMPs, and may be used in the study of Osteoarthritis.Cor e Forma:White SolidChondroitin sulfate sodium, from bovine origin
CAS:Fórmula:C13H21NO15SCor e Forma:White to off-white powderPeso molecular:463.37Chondroitin Sulfate Sodium Salt
CAS:Produto ControladoApplications Chondroitin Sulfate Sodium Salt, is a sulfated glycosaminoglycan (GAG) and an important structural component of cartilage.
References Baeurle, S. A., et al.: Plymer, 50, 1805 (2009)Fórmula:C28H40N2Na4O29S2Cor e Forma:NeatPeso molecular:1024.07489Chondroitin sulfate sodium salt
CAS:Chondroitin sulphate is the most abundant glycosaminoglycan in mammalian tissues and occurs both in skeletal and soft connective tissue. The disaccharide repeat unit consists of N-acetyl galactosamine sulphate linked β1,4 to glucuronic acid.Pureza:Min. 95%Cor e Forma:White Off-White PowderRef: 4Z-C-499001
Produto descontinuado









