
CAS 97045-11-9
:Ordenar por
Pureza (%)
0
100
|
0
|
50
|
90
|
95
|
100
Foram encontrados 1 produtos.
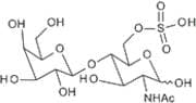
2-Acetamido-2-deoxy-4-O-(b-D-galactopyranosyl)-6-sulfo-b-D-glucopyranose
CAS:2-Acetamido-2-deoxy-4-O-(b-D-galactopyranosyl)-6-sulfo-b-D-glucopyranose is a glycosaminoglycan that can be used as an immunomodulator. It has been shown to inhibit the production of tumor necrosis factor alpha (TNFα) in experimental cancer tissues and to stimulate the activity of lymphocytes, which may be due to its ability to regulate camp levels. 2A2D4OSBG also has regulatory effects on monoclonal antibodies and inhibits the immune reaction caused by autoimmune diseases.Fórmula:C14H25NO14SPureza:Min. 95%Cor e Forma:White PowderPeso molecular:463.41 g/mol
