CAS 98474-78-3
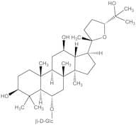
:(3beta,6alpha,12beta,24R)-3,12,25-triidroxi-20,24-epoxydammaran-6-il beta-D-glucopiranosídeo
Descrição:
A substância química conhecida como "(3beta,6alpha,12beta,24R)-3,12,25-triidroxi-20,24-epoxydammaran-6-il beta-D-glucopiranosídeo," com o número CAS 98474-78-3, é um glicosídeo complexo derivado de triterpenos do tipo dammarano. Este composto apresenta múltiplos grupos hidroxila, que contribuem para sua hidrofobicidade e potencial atividade biológica. A presença de um grupo epóxido indica um local reativo que pode participar de várias reações químicas, aumentando sua reatividade. A porção beta-D-glucopiranosídeo sugere que pode formar ligações de hidrogênio, influenciando sua solubilidade e interação com sistemas biológicos. Este composto é de interesse na farmacologia e bioquímica devido às suas potenciais propriedades terapêuticas, incluindo atividades anti-inflamatórias e anticancerígenas. Sua complexidade estrutural e estereoquímica também podem desempenhar um papel significativo em sua função biológica e eficácia. No geral, esta substância exemplifica a intrincada relação entre estrutura e função em produtos naturais, destacando a importância dos triterpenos na química medicinal.
Fórmula:C36H62O10
InChI:InChI=1/C36H62O10/c1-31(2)23(39)10-12-33(5)22-15-19(38)25-18(36(8)14-11-24(46-36)32(3,4)43)9-13-34(25,6)35(22,7)16-20(29(31)33)44-30-28(42)27(41)26(40)21(17-37)45-30/h18-30,37-43H,9-17H2,1-8H3/t18-,19+,20-,21+,22+,23-,24+,25-,26+,27-,28+,29-,30+,33+,34+,35+,36-/m0/s1
Sinónimos:- beta-D-glucopyranoside, (3beta,6alpha,12beta,24R)-20,24-epoxy-3,12,25-trihydroxydammaran-6-yl
- pseudo-Ginsenoside RT5
- Pseudoginsenoside Rt5
- (3beta,6alpha,12beta,24R)-3,12,25-Trihydroxy-20,24-epoxydammaran-6-yl beta-D-glucopyranoside
- 6α-O-β-D-glucopyranosyl-(20S,24R)-epoxydammarane-3β,12β,25-triol
- (3beta,6alpha,12beta,24R)-20,24-Epoxy-3,12,25-trihydroxydammaran-6-yl beta-D-glucopyranoside
- b-D-Glucopyranoside, (3b,6a,12b,24R)-20,24-epoxy-3,12,25-trihydroxydammaran-6-yl (9CI)
- 24(R)-Pseudoginsenoside rt(5)
Ordenar por
Pureza (%)
0
100
|
0
|
50
|
90
|
95
|
100
Foram encontrados 6 produtos.
Pseudoginsenoside RT5
CAS:Pseudoginsenoside RT5: anti-epileptic, anti-depressant, boosts nerve growth/cognition, fights bacteria, tumors, malaria.Fórmula:C36H62O10Pureza:99.46% - >99.99%Cor e Forma:SolidPeso molecular:654.87Pseudoginsenoside RT5
CAS:Natural glycosideFórmula:C36H62O10Pureza:≥ 95.0 % (HPLC)Cor e Forma:PowderPeso molecular:654.88Pseudoginsenoside RT5
CAS:Pseudoginsenoside RT5 is a saponin, which is a type of glycoside found in certain plants, particularly in the Panax ginseng species. It is extracted from the root of this traditional medicinal plant, which is well-known for its therapeutic properties. The mode of action of Pseudoginsenoside RT5 involves modulating various cellular pathways, including the inhibition of certain enzymes and receptors involved in disease processes such as inflammation and cell proliferation. This compound is also implicated in antioxidant activities, which further contribute to its potential therapeutic effects.Pureza:Min. 95%






