CAS 992-62-1
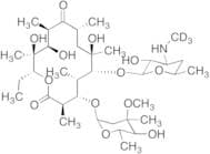
:14-etil-7,12,13-triidroxi-4-[(5-hidroxi-4-metoxi-4,6-dimetiltetrahidro-2H-pirano-2-il)oxi]-6-{[3-hidroxi-6-metil-4-(metilamino)tetrahidro-2H-pirano-2-il]oxi}-3,5,7,9,11,13-hexametiloxaciclotetradecano-2,10-diona (nome não preferido)
Descrição:
A substância química com o nome "14-etil-7,12,13-trihidroxi-4-[(5-hidroxi-4-metoxi-4,6-dimetiltetrahidro-2H-piran-2-il)oxi]-6-{[3-hidroxi-6-metil-4-(metilamino)tetrahidro-2H-piran-2-il]oxi}-3,5,7,9,11,13-hexametiloxaciclotetradecano-2,10-diona" e número CAS 992-62-1 é um composto orgânico complexo caracterizado por sua intrincada estrutura molecular, que inclui múltiplos grupos hidroxila e ligações éter. Este composto provavelmente exibirá solubilidade significativa em solventes orgânicos devido às suas cadeias de hidrocarbonetos hidrofóbicas e grupos funcionais polares. A presença de múltiplos grupos hidroxila sugere potencial para formação de ligações de hidrogênio, o que pode influenciar sua reatividade e interações com outras moléculas. Além disso, a estrutura do composto indica que pode possuir atividade biológica, possivelmente servindo como precursor ou ingrediente ativo em produtos farmacêuticos ou agroquímicos. Sua estabilidade, reatividade e aplicações específicas dependeriam da disposição precisa de seus grupos funcionais e da conformação tridimensional geral da molécula. Estudos adicionais seriam necessários para elucidar completamente suas propriedades e possíveis usos.
Fórmula:C36H65NO13
InChI:InChI=1/C36H65NO13/c1-13-24-36(10,44)29(40)19(4)26(38)17(2)15-34(8,43)31(50-33-27(39)23(37-11)14-18(3)46-33)20(5)28(21(6)32(42)48-24)49-25-16-35(9,45-12)30(41)22(7)47-25/h17-25,27-31,33,37,39-41,43-44H,13-16H2,1-12H3
SMILES:CCC1C(C)(C(C(C)C(=O)C(C)CC(C)(C(C(C)C(C(C)C(=O)O1)OC1CC(C)(C(C(C)O1)O)OC)OC1C(C(CC(C)O1)NC)O)O)O)O
Ordenar por
Pureza (%)
0
100
|
0
|
50
|
90
|
95
|
100
Foram encontrados 13 produtos.
N-DEMETHYLERYTHROMYCIN A CRS
CAS:N-DEMETHYLERYTHROMYCIN A CRSFórmula:C36H65NO13Peso molecular:719.9002Clarithromycin Impurity R (3""-N-Demethylerythromycin A)
CAS:Lactones nesoiFórmula:C36H65NO13Cor e Forma:White PowderPeso molecular:719.44559Erythromycin Related Compound N (N-Demethylerythromycin A)
CAS:Lactones nesoiFórmula:C36H65NO13Cor e Forma:White PowderPeso molecular:719.44559N-Demethylerythromycin A
CAS:N-Demethylerythromycin AFórmula:C36H65NO13Pureza:≥95%Peso molecular:719.9N-Demethylerythromycin A
CAS:N-Demethylerythromycin A, a metabolite of erythromycin from S. erythreus, may contaminate its preparations.Fórmula:C36H65NO13Cor e Forma:SolidPeso molecular:719.9Erythromycin EP Impurity B (Erythromycin USP Related Compound N, 3″-N-Demethylerythromycin A)
CAS:Fórmula:C36H65NO13Cor e Forma:White To Off-White SolidPeso molecular:719.91N-Demethyl Erythromycin A (>90%)
CAS:Impurity Erythromycin EP Impurity B
Applications N-Demethyl Erythromycin A (Erythromycin EP Impurity B) is a metabolite of Erythromycin (E649950).
References Rich, D.H., et al.: J. Med. Chem., 18, 1004 (1975), Itoh, Z,. et al.: Antimicrob. Agents Chemother., 26, 863 (1984), Omura, S., et al.: J. Antibiotics 38, 1631 (1985),Fórmula:C36H65NO13Pureza:>90%Cor e Forma:NeatPeso molecular:719.9N-Demethyl erythromycin A
CAS:N-Demethyl erythromycin A is a metabolite of erythromycin with narrow-spectrum antibiotic activity and is used for research on erythromycin derivatives.Fórmula:C36H65NO13Pureza:Min. 95 Area-%Cor e Forma:White PowderPeso molecular:719.9 g/molN-Demethyl Erythromycin A-d3
CAS:Produto ControladoFórmula:C36D3H62NO13Cor e Forma:NeatPeso molecular:722.919N-Demethyl Erythromycin A-d7
CAS:Produto ControladoApplications N-Demethyl Erythromycin A-d7 is a labeled version of N-Demethyl Erythromycin A (D230930), which is a metabolite of Erythromycin (E649950).
References Rich, D.H., et al.: J. Med. Chem., 18, 1004 (1975), Itoh, Z,. et al.: Antimicrob. Agents Chemother., 26, 863 (1984), Omura, S., et al.: J. Antibiotics 38, 1631 (1985)Fórmula:C36D7H58NO13Cor e Forma:NeatPeso molecular:726.943










