
CaSR
O receptor sensível ao cálcio (CaSR) é um GPCR que desempenha um papel vital na manutenção da homeostase do cálcio, regulando a secreção do hormônio paratireoideano e a reabsorção de cálcio nos rins. O CaSR também está envolvido em vários outros processos fisiológicos, incluindo o metabolismo ósseo e a função vascular. Moduladores de CaSR são usados no tratamento de condições como hiperparatireoidismo, osteoporose e doenças cardiovasculares. Na CymitQuimica, oferecemos uma seleção de moduladores de CaSR de alta qualidade para apoiar sua pesquisa em metabolismo do cálcio, endocrinologia e saúde óssea.
Foram encontrados 32 produtos de "CaSR"
Ordenar por
Pureza (%)
0
100
|
0
|
50
|
90
|
95
|
100
AC265347
CAS:<p>AC265347 is a potent calcium-sensitive receptor (CaSR) agonist and ago-PAM orthosteric modulator with antitumour activity for the study of neuroblastoma.</p>Fórmula:C17H17NOSPureza:>99.99%Cor e Forma:SolidPeso molecular:283.39Strontium ranelate
CAS:<p>Strontium ranelate (S12911), a strontium (II) salt of the ranelic acid, is a medication for osteoporosis and can slow the course of osteoarthritis of the knee.</p>Fórmula:C12H6N2O8S·2SrPureza:98.97%Cor e Forma:Crystalline SolidPeso molecular:513.49Evocalcet
CAS:<p>Evocalcet (KHK7580) has an activating effect on the calcium-sensing receptor (CaSR).</p>Fórmula:C24H26N2O2Pureza:98.88% - 99.68%Cor e Forma:SolidPeso molecular:374.48G-Glu-Val
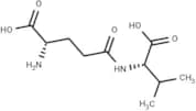
CAS:<p>G-Glu-Val (γ-glutamyl-L-valine, H-Glu-Val -OH), a flavour-regulating dipeptide, is a major contributor to "mellow".</p>Fórmula:C10H18N2O5Cor e Forma:SolidPeso molecular:246.26Upacicalcet HCl
<p>Upacicalcet HCl, a calcium mimetic, reduces blood PTH by targeting parathyroid receptors; treats secondary hyperparathyroidism.</p>Fórmula:C11H15Cl2N3O6SPureza:98.56%Cor e Forma:SoildPeso molecular:388.22Etelcalcetide
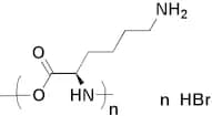
CAS:<p>Etelcalcetide (AMG 416), a synthetic peptide CaSR activator, treats secondary hyperparathyroidism in hemodialysis patients.</p>Fórmula:C38H73N21O10S2Pureza:98%Cor e Forma:SolidPeso molecular:1048.26Poly-D-lysine hydrobromide (MW 150000-300000)
<p>Poly-D-lysine hydrobromide (MW 150000-300000) enhances neural cell adhesion in culture and acts as a calcium-sensing receptor agonist peptide in research.</p>Cor e Forma:Odour Solidγ-Glu-Abu TFA
<p>Gamma-Glu-AbuTFA is the TFA salt form of Gamma-Glu-Abu. This compound acts as an agonist for the calcium sensing receptor (CaSR), activating CaSR in HEK-293 cells with an EC50 of 0.21 μM.</p>Fórmula:C11H17F3N2O7Cor e Forma:SolidPeso molecular:346.26Poly-D-lysine hydrobromide (MW 1000-5000)
<p>Poly-D-lysine hydrobromide (PDLHB) (MW 1000-5000) is a synthetically produced polymeric substrate widely used in neural cell culture. Additionally, Poly-D-lysine hydrobromide acts as a CaSR agonist peptide.</p>Cor e Forma:Odour SolidCalcium-Sensing Receptor Antagonists I
CAS:<p>Calcium-Sensing Receptor Antagonists I functions as an antagonist to the parathyroid hormone receptors that sense calcium.</p>Fórmula:C23H24N2O2Cor e Forma:SolidPeso molecular:360.45NPS-2143 hydrochloride
CAS:<p>NPS-2143 hydrochloride (NPS-2143 HCL) is a selective potent calcium ion-sensing receptor antagonist.</p>Fórmula:C24H25ClN2O2·HClPureza:99.38% - 99.67%Cor e Forma:SolidPeso molecular:445.38Etelcalcetide hydrochloride
CAS:<p>Etelcalcetide HCl, a synthetic peptide modulator of CaSR, lowers PTH in dialysis patients with secondary hyperparathyroidism.</p>Fórmula:C38H73N21O10S2HClPureza:>99.99%Cor e Forma:SolidPeso molecular:1353.33NPS2390
CAS:<p>NPS2390 is a first generation quinoxaline derivative that acts as a noncompetitive antagonist of mGluR1 and mGluR5 (IC50 of 5.2 and 82 nM, respectively)</p>Fórmula:C19H21N3OPureza:97.13%Cor e Forma:SolidPeso molecular:307.39Cinacalcet
CAS:<p>Cinacalcet (AMG 073) is an orally active, allosteric Ca receptor (CaR) agonist, treatment of cardiovascular disease .</p>Fórmula:C22H22F3NPureza:99.48%Cor e Forma:Yellow OilPeso molecular:357.41TNCA
CAS:<p>TNCA (Lycoperodine-1) is a high-affinity CaSR ligand (CaSRL) with co-agonist activity.</p>Fórmula:C12H12N2O2Pureza:97.33% - 97.73%Cor e Forma:SolidPeso molecular:216.24Cinacalcet hydrochloride
CAS:<p>Cinacalcet hydrochloride (AMG-073 hydrochloride) is a naphthalene derivative and CALCIMIMETIC AGENT that increases the sensitivity of PARATHYROID GLAND calcium-</p>Fórmula:C22H23ClF3NPureza:99.96% - >99.99%Cor e Forma:Off-White To Tan SolidPeso molecular:393.87γ-L-Glutamyl-L-alanine
CAS:<p>γ-L-Glutamyl-L-alanine, composed of gamma-glutamate and alanine, is the substrate of CRF21 (gamma-Glutamylcyclotransferase, GGCT).</p>Fórmula:C8H14N2O5Pureza:99.49%Cor e Forma:SolidPeso molecular:218.21Ligustroflavone
CAS:<p>Ligustroflavone (Nuezhenoside) has anti-inflammatory activity.</p>Fórmula:C33H40O18Pureza:98% - 99.92%Cor e Forma:SolidPeso molecular:724.66Gadolinium chloride
CAS:<p>Gadolinium chloride is a calcium-sensing receptor (CaSR) agonist</p>Fórmula:Cl3GdPureza:98%Cor e Forma:White Crystalline SolidPeso molecular:263.61Poly-D-lysine hydrobromide (MW 30000-70000)
CAS:<p>Poly-D-lysine hydrobromide (MW 30000-70000) (Poly-D-lysine HBr) is a peptide CaSR agonist that removes proteinase K-resistant PrP from SN56 neuroblastoma cells.</p>Fórmula:(C6H14N2O2)x·xHBrCor e Forma:SolidPeso molecular:227.102

