
Antibióticos Naturais e Semissintéticos
Os antibióticos naturais e semissintéticos são caracterizados por estruturas químicas com anéis heterocíclicos e grupos funcionais ativos que inibem o crescimento de microrganismos. Suas estruturas permitem-lhes interagir com os processos vitais das bactérias, tornando-os úteis para o tratamento de infecções bacterianas. Os antibióticos semissintéticos podem ser modificados para melhorar o espectro de atividade ou a resistência à degradação.
Na CymitQuimica, oferecemos antibióticos naturais e semissintéticos de alta qualidade para pesquisa em microbiologia e desenvolvimento farmacêutico.
Foram encontrados 6320 produtos de "Antibióticos Naturais e Semissintéticos"
Ordenar por
Pureza (%)
0
100
|
0
|
50
|
90
|
95
|
100
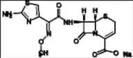
E-Ceftizoxime Sodium Salt
CAS:Fórmula:C13H12N5O5S2·NaCor e Forma:White To Off-White SolidPeso molecular:382.39 22.99Terbinafine EP Impurity C (Terbinafine USP Related Compound C (Free Form))
CAS:Fórmula:C21H25NCor e Forma:White To Off-White SolidPeso molecular:291.44Potassium Clavulanate EP Impurity B Sodium Salt
CAS:Fórmula:C11H15N2O4·NaCor e Forma:Pale Yellow SolidPeso molecular:239.25 22.99Enoxacin-d8 HCl
CAS:Fórmula:C15H9D8FN4O3·HClCor e Forma:White To Off-White SolidPeso molecular:328.37 36.46Piperacillin EP Impurity E (Piperacillin USP Related Compound E)
CAS:Fórmula:C6H10N2O2Cor e Forma:Off-White SolidPeso molecular:142.16Rifampicin EP Impurity A (Rifampicin Quinone)
CAS:Fórmula:C43H56N4O12Cor e Forma:Dark Purple SolidPeso molecular:820.94Piperacillin Impurity 13
Fórmula:C23H27N5O9SCor e Forma:White To Off-White SolidPeso molecular:549.56Lincomycin Impurity 1 HCl
Fórmula:C18H34N2O6S·HClCor e Forma:White To Off-White SolidPeso molecular:406.55 36.46Posaconazole Diastereoisomer Related Compound 1
CAS:Fórmula:C21H21F2N3O4SCor e Forma:White To Off-White SolidPeso molecular:449.48Dicloxacillin Sodium Salt
CAS:Fórmula:C19H16Cl2N3O5S·NaCor e Forma:White To Off-White SolidPeso molecular:469.31 22.99Cefamandole EP Impurity C Sodium Salt
CAS:Fórmula:C20H19N6O6S2·NaCor e Forma:Off-White SolidPeso molecular:503.54 22.99Rifaximin EP Impurity C (Rifamycin SV)
CAS:Fórmula:C37H47NO12Cor e Forma:Orange SolidPeso molecular:697.78Cilastatin EP Impurity H
Fórmula:C15H26N2O3SCor e Forma:White To Off-White SolidPeso molecular:314.44Terbinafine EP Impurity E DiHCl
CAS:Fórmula:C36H40N2·2HClCor e Forma:White To Off-White SolidPeso molecular:500.73 2*36.46N-Nitroso Vancomycin Trifluoroacetate
CAS:Fórmula:C66H74Cl2N10O25·C2HF3O2Peso molecular:1478.26 114.02Dihydrostreptomycin Sulfate
CAS:Fórmula:C21H41N7O12·3H2O4SCor e Forma:White To Off-White SolidPeso molecular:2 583.60 3 98.08Cefazolin EP Impurity A
CAS:Fórmula:C11H12N4O3S3Cor e Forma:White To Off-White SolidPeso molecular:344.44Sulbactam EP Impurity C
CAS:Fórmula:C8H10BrNO5SCor e Forma:White To Off-White SolidPeso molecular:312.13Sulbactam Impurity 1 (6-α-Bromopenicllanic Acid)
CAS:Fórmula:C8H10BrNO3SCor e Forma:Yellow LiquidPeso molecular:280.14Piperacillin Sodium EP Impurity G
CAS:Fórmula:C15H17N3O5Cor e Forma:White To Off-White SolidPeso molecular:319.32Posaconazole Impurity 13 (POS-H)
Fórmula:C37H40F2N8O6Cor e Forma:White To Off-White SolidPeso molecular:730.77Azithromycin Impurity 34 (Erythromycin A (9,11-Imino Ether))
CAS:Fórmula:C37H66N2O12Cor e Forma:White To Off-White SolidPeso molecular:730.94Cefpodoxime Proxetil EP Impurity A (Cefpodoxime Acid)
CAS:Fórmula:C15H17N5O6S2Cor e Forma:White To Off-White SolidPeso molecular:427.45Griseofulvin-13C-d3
CAS:Fórmula:C1613CH14D3ClO6Cor e Forma:White To Off-White SolidPeso molecular:356.78Lincomycin EP Impurity A
Fórmula:C18H34N2O6SCor e Forma:White To Off-White SolidPeso molecular:406.54Ceftizoxime Impurity 30 (Double Bond 2-Isomer) Trifluoroacetate
CAS:Fórmula:C13H13N5O5S2·C2HF3O2Cor e Forma:White To Off-White SolidPeso molecular:383.40 114.02Dalbavancin HCl
CAS:Fórmula:C88H100Cl2N10O28·HClCor e Forma:White To Off-White SolidPeso molecular:1816.73 36.46Ceftriaxone 3-ene Isomer Disodium Salt
Fórmula:C18H16N8O7S3·2NaCor e Forma:Yellow SolidPeso molecular:552.56 2*22.99Cefpodoxime Proxetil EP Impurity D
CAS:Fórmula:C21H27N5O9S2Cor e Forma:Off-White SolidPeso molecular:557.59Kanamycin A Related Compound 2
CAS:Fórmula:C12H25N3O7Cor e Forma:Pale Brown SolidPeso molecular:323.35Dihydropenicillin F Potassium Salt (Benzylpenicillin Potassium EP Impurity H Potassium Salt (Benzylpenicillin (Benzathine) EP Impurity I Potassium Salt, Benzylpenicillin (Procaine) EP Impurity H Potassium Salt, Benzylpenicillin Sodium EP Impurity H Potassium Salt)
CAS:Fórmula:C14H21N2O4S·KCor e Forma:White To Off-White SolidPeso molecular:313.40 39.10Eprinomectin-d3 (Mixture of B1a-d3 and B1b-d3)
CAS:Fórmula:C50H72D3NO14(componentB1ad3)C49H70D3NO14(componentB1bd3)Cor e Forma:White To Off-White SolidPeso molecular:917.16 (B1a-d3); 903.13 (B1b-d3)Mutilin (Tiamulin EP Impurity A)
CAS:Fórmula:C20H32O3Cor e Forma:White To Off-White SolidPeso molecular:320.47Bacitracin EP Impurity D Tritrifluoroacetate
CAS:Fórmula:C63H97N17O16S·2C2HF3O2Peso molecular:1380.63 3*114.02Clarithromycin Impurity 2
Fórmula:C38H68N2O14Cor e Forma:White To Off-White SolidPeso molecular:776.96Besifloxacin HCl
CAS:Fórmula:C19H21ClFN3O3·HClCor e Forma:Pale Yellow SolidPeso molecular:393.84 36.46Clarithromycin EP Impurity C
CAS:Fórmula:C38H70N2O13Cor e Forma:White To Off-White SolidPeso molecular:762.98Erythromycin Impurity 9 (Cycloester Erythromycin Enol Ether)
CAS:Fórmula:C38H63NO13Cor e Forma:White To Off-White SolidPeso molecular:741.92Linezolid Impurity 7 HCl
CAS:Fórmula:C15H22FN3O3·HClCor e Forma:Brown SolidPeso molecular:311.36 36.46Ciprofloxacin-d8 HCl
CAS:Fórmula:C17H10D8FN3O3·HClCor e Forma:White To Off-White SolidPeso molecular:339.40 36.46Piperacillin Sodium EP Impurity P Sodium Salt
Fórmula:C31H33N6O8S·NaCor e Forma:White To Off-White SolidPeso molecular:649.70 22.99Streptomycin Sulfate
CAS:Fórmula:C21H39N7O12H2O4SCor e Forma:White To Off-White SolidPeso molecular:581.58 3/2 98.08Cefepime EP Impurity E Chloride (Cefepime USP Related Compound E)
CAS:Fórmula:C13H20N3O3S·ClPeso molecular:298.39 35.45Ampicillin EP Impurity J
CAS:Fórmula:C13H20N2O4SCor e Forma:White To Off-White SolidPeso molecular:300.37Cefathiamidine Lactone HCl
CAS:Fórmula:C17H24N4O4S2·HClCor e Forma:White To Off-White SolidPeso molecular:412.52 36.46Tacrolimus Methyl Acryl Aldehyde
CAS:Fórmula:C11H18O3Cor e Forma:White To Off-White SolidPeso molecular:198.26Linezolid Impurity 1
CAS:Fórmula:C13H20FN3O2Cor e Forma:White To Off-White SolidPeso molecular:269.32Flucloxacillin Impurity 4
CAS:Fórmula:C13H10ClFN2O4Cor e Forma:White To Off-White SolidPeso molecular:312.68Spiramycin EP Impurity G Ditrifluoroacetate
Fórmula:C38H64N2O12·2C2HF3O2Peso molecular:740.93 2*114.02Moxifloxacin Impurity 83 DiHCl
CAS:Fórmula:C7H14N2·2HClCor e Forma:White To Off-White SolidPeso molecular:126.20 2*36.46Cefotaxime Bromoacetyl Analog
CAS:Fórmula:C15H16BrN3O8SCor e Forma:White To Off-White SolidPeso molecular:478.27Aztreonam Impurity 1 Disodium Salt (Mixture of Diastereomers)
Fórmula:C15H21N5O9S2·2NaCor e Forma:White To Off-White SolidPeso molecular:479.49 2*22.99Clarithromycin EP Impurity O
CAS:Fórmula:C39H72N2O13Cor e Forma:White To Off-White SolidPeso molecular:777.01Faropenem Related Compound 2
CAS:Fórmula:C21H33NO7SSiCor e Forma:White To Off-White SolidPeso molecular:471.65Amoxicillin EP Impurity D
CAS:Fórmula:C16H21N3O6SCor e Forma:White To Off-White SolidPeso molecular:383.42Formyl D-Penicillamine
CAS:Fórmula:C6H11NO3SCor e Forma:White To Off-White SolidPeso molecular:177.22Clindamycin HCl (Clindamycin Phosphate EP Impurity E HCl)
CAS:Fórmula:C18H33ClN2O5S·HClCor e Forma:White To Off-White SolidPeso molecular:424.99 36.46Azithromycin EP Impurity G
CAS:Fórmula:C44H76N2O14SCor e Forma:White To Off-White SolidPeso molecular:889.15Ciprofloxacin EP Impurity C HCl
CAS:Fórmula:C15H16FN3O3·HClCor e Forma:White To Off-White SolidPeso molecular:305.31 36.46N-Demethyl Clindamycin HCl
CAS:Fórmula:C17H31ClN2O5S·HClCor e Forma:White To Off-White SolidPeso molecular:410.95 36.46Linezolid Impurity 60 HCl
CAS:Fórmula:C3H8ClNO·HClCor e Forma:White To Off-White SolidPeso molecular:109.55 36.46Cefazolin EP Impurity D Sodium Salt
CAS:Fórmula:C13H13N6O6S·NaCor e Forma:White To Off-White SolidPeso molecular:381.35 22.99Clindamycin Phosphate EP Impurity J HCl (Mixture of Z and E Isomers)
CAS:Fórmula:C18H32ClN2O8PS·HClPeso molecular:502.94 36.46Erythromycin Ethylsuccinate-13C-d3
CAS:Fórmula:C4213CH72D3NO16Cor e Forma:White To Off-White SolidPeso molecular:866.07Cycloserine Impurity 2 HCl (D-Serine Methyl Ester HCl)
CAS:Fórmula:C4H9NO3·HClPeso molecular:119.12 36.46Amikacin EP Impurity F
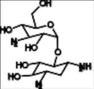
CAS:Fórmula:C26H50N6O15Cor e Forma:White To Off-White SolidPeso molecular:686.71Kanamycin A
CAS:<p>Kanamycin A (KanamycinA) is an aminoglycoside antibiotic with antibacterial and antiviral activity that inhibits bacterial and viral replication.</p>Fórmula:C18H36N4O11Pureza:99.59%Cor e Forma:Crystals From Methanol + Ethanol SolidPeso molecular:484.5Sulbenicillin
CAS:<p>Sulbenicillin is an alpha-sulfobenzylpenicillin. It has been used in combination with dibekacin.</p>Fórmula:C16H18N2O7S2Pureza:98%Cor e Forma:White Crystalline PowderPeso molecular:414.45Mepartricin
CAS:<p>Mepartricin, a polyene macrolide, exhibits both antifungal and antiprotozoal activities and is extensively utilized in studies related to benign prostatic hyperplasia.</p>Cor e Forma:SolidCefpirome
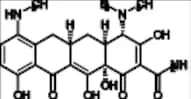
CAS:<p>Cefpirome: fourth-gen cephalosporin, broad-spectrum, inactivates penicillin-binding proteins in bacteria.</p>Fórmula:C22H22N6O5S2Cor e Forma:SolidPeso molecular:514.58Doxycycline hydrochloride
CAS:<p>Doxycycline hydrochloride (Hyclate) is a synthetic tetracycline derivative with similar antimicrobial activity.</p>Fórmula:C22H24N2O8·HClPureza:98.77%Cor e Forma:Yellow Hygroscopic Crystalline PowderPeso molecular:480.9Cefquinome
CAS:<p>Cefquinome is a cephem antibiotic that inhibits Enterobacteriaceae (family [1]).</p>Fórmula:C23H24N6O5S2Pureza:98%Cor e Forma:SolidPeso molecular:528.6Aztreonam USP Related Compound D Sodium Salt (Desulfated Aztreonam Sodium Salt)
CAS:Fórmula:C13H16N5O5S·NaCor e Forma:White To Off-White SolidPeso molecular:354.36 22.99Pristinamycin
CAS:<p>Pristinamycin, from Streptomyces pristinaespiralis, is a streptogramin antibiotic targeting Gram-positive and resistant bacteria like MRSA.</p>Fórmula:C73H89N11O17Cor e Forma:SolidPeso molecular:1392.55Elaiophylin
CAS:<p>Elaiophylin exhibits anti-Plasmodium falciparum and anti-Trypanosoma brucei activity; IC50: 0.36 μM & 0.45 μM, respectively.</p>Fórmula:C54H88O18Pureza:98%Cor e Forma:SolidPeso molecular:1025.27Mezlocillin
CAS:<p>Meloxicillin: a liver-excreted penicillin effective against Gram-negative and some Gram-positive bacteria; treats biliary infections.</p>Fórmula:C21H25N5O8S2Cor e Forma:SolidPeso molecular:539.58Monensin
CAS:<p>Monensin, from Streptomyces cinnamonensis, inhibits Wnt/β-catenin. Potential anticancer agent.</p>Fórmula:C36H62O11Pureza:98%Cor e Forma:Crystals White Or Off-White CrystalsPeso molecular:670.87Cefoperazone dihydrate
CAS:<p>Cefoperazone dihydrate, a semi-synthetic cephalosporin, exhibits a wide range of antibacterial properties.</p>Fórmula:C25H27N9O8S2Cor e Forma:SolidPeso molecular:645.67Tylosin, lactate
CAS:<p>Tylosin lactate: a vet macrolide antibiotic; broad vs. Gram-positive, limited on Gram-negative; from Streptomyces fradiae.</p>Fórmula:C49H83NO20Pureza:98%Cor e Forma:SolidPeso molecular:1006.19Doxycycline monohydrate
CAS:<p>Doxycycline monohydrate is an inhibitor of metalloproteinase (MMP)</p>Fórmula:C22H26N2O9Pureza:98.87%Cor e Forma:SolidPeso molecular:462.4Colistin
CAS:<p>Colistin: polypeptide antibiotic for Gram-negative bacteria, including drug-resistant strains, but may cause nephrotoxicity.</p>Fórmula:C53H100N16O13(forE1)Cor e Forma:SolidPeso molecular:1169.5Enduracidin
CAS:<p>Enduracidin (Enramycin) is a polypeptide antibiotic produced by Streptomyces fungicides.</p>Cor e Forma:SolidEnduracidin B Tritrifluoroacetate
CAS:Fórmula:C108H140Cl2N26O31·3C2HF3O2Cor e Forma:Off-White SolidPeso molecular:2369.38 3*114.02Clindamycin Impurity 30
CAS:Fórmula:C18H35N2O9PSCor e Forma:White To Off-White SolidPeso molecular:486.52Cefmetazole Impurity 47
Fórmula:C15H17N7O5S3Cor e Forma:White To Off-White SolidPeso molecular:471.53Amikacin EP Impurity D
CAS:Fórmula:C18H36N4O11Cor e Forma:White To Off-White SolidPeso molecular:484.50Ertapenem Impurity Pro-maba
CAS:Fórmula:C12H14N2O3Cor e Forma:White To Off-White SolidPeso molecular:234.26Faropenem Impurity 17 Sodium Salt
CAS:Fórmula:C12H14NO5S·NaCor e Forma:Yellow SolidPeso molecular:284.31 22.99rac-Griseofulvin EP Impurity C (Dehydro rac-Griseofulvin)
CAS:Fórmula:C17H15ClO6Cor e Forma:White To Off-White SolidPeso molecular:350.75Cefazolin EP Impurity E
CAS:Fórmula:C3H4N2S2Cor e Forma:White To Off-White SolidPeso molecular:132.21Aztreonam USP Related Compound E ((E)-Aztreonam)
CAS:Fórmula:C13H17N5O8S2Cor e Forma:White To Off-White SolidPeso molecular:435.43Potassium Clavulanate
CAS:Fórmula:C8H8NO5·KCor e Forma:White To Off-White SolidPeso molecular:198.16 39.10Cefoperazone Impurity 2
CAS:Fórmula:C15H17N3O6Cor e Forma:White To Off-White SolidPeso molecular:335.32Clindamycin Dehydro Impurity
CAS:Fórmula:C18H32N2O5SCor e Forma:White To Off-White SolidPeso molecular:388.52Clindamycin Phosphate EP Impurity L HCl
CAS:Fórmula:C18H34ClN2O8PS·HClCor e Forma:White To Off-White SolidPeso molecular:504.96 36.46Cefmetazole Impurity 7 (Mixture of Isomers)
CAS:Fórmula:C24H22N6O3S3Cor e Forma:Yellow SolidPeso molecular:538.664-Methylpiperazine-1-yl-imino Rifamycin O
Fórmula:C45H58N4O14Cor e Forma:Purple Black SolidPeso molecular:878.97Apramycin Disulfate
CAS:Fórmula:C21H41N5O11·2H2SO4Cor e Forma:Pale Yellow SolidPeso molecular:539.58 2*98.07Cephalexin Impurity J (Cephalexin Sulfoxide)
CAS:Fórmula:C16H17N3O5SCor e Forma:Off-White SolidPeso molecular:363.39Ampicillin EP Impurity G
CAS:Fórmula:C16H14N2O2Cor e Forma:White To Off-White SolidPeso molecular:266.30Clarithromycin N-Oxide
CAS:Fórmula:C38H69NO14Cor e Forma:White To Off-White SolidPeso molecular:763.96Cefpodoxime Proxetil Impurity 6 (Mixture of Diastereomers)
CAS:Fórmula:C20H25N5O9S2Peso molecular:543.57Vancomycin EP Impurity K-13C2-d6 Ditrifluoroacetate
Fórmula:C6513C2H71D6Cl2N9O24·2C2HF3O2Peso molecular:1471.31 2*114.02Lincomycin 3,4-Phosphate
Fórmula:C18H33N2O8PSCor e Forma:White To Off-White SolidPeso molecular:468.50


