CAS 13475-82-6
:2,2,4,6,6-Pentamethylheptane
Description:
2,2,4,6,6-Pentamethylheptane is a branched-chain alkane with the molecular formula C15H32. It is characterized by its highly branched structure, which contributes to its low reactivity and high stability compared to straight-chain alkanes. This compound is a colorless liquid at room temperature and is insoluble in water but soluble in organic solvents. Its boiling point is relatively high due to the increased molecular weight and branching, which also leads to a lower density compared to water. 2,2,4,6,6-Pentamethylheptane is primarily used in research and as a reference compound in various analytical applications, particularly in studies involving hydrocarbon mixtures and fuel properties. Its unique structure makes it an interesting subject for studies on combustion and octane rating, as it can influence the performance of fuels. Additionally, it is important to handle this compound with care, as with all hydrocarbons, due to its flammability and potential environmental impact.
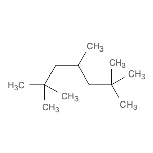
Formula:C12H26
InChI:InChI=1S/C12H26/c1-10(8-11(2,3)4)9-12(5,6)7/h10H,8-9H2,1-7H3
InChI key:InChIKey=VKPSKYDESGTTFR-UHFFFAOYSA-N
SMILES:C(C(C)(C)C)C(CC(C)(C)C)C
Synonyms:- 2,2,4,6,6-Pentamethyl-Heptan
- 2,2,4,6,6-Pentamethylheptan
- 2,2,4,6,6-Pentametilheptano
- Daphne Alpha Cleaner MX
- Heptane, 2,2,4,6,6-pentamethyl-
- Marukazol R
- Pentamethylheptane
- 2,2,4,6,6-Pentamethylheptane
Sort by
Purity (%)
0
100
|
0
|
50
|
90
|
95
|
100
Found 11 products.
Ref: BD-BD64112
1g44.00€2,2,4,6,6-Pentamethylheptane
CAS:Formula:C12H26Purity:>98.0%(GC)Color and Shape:Colorless to Almost colorless clear liquidMolecular weight:170.342,2,4,6,6-Pentamethylheptane
CAS:Formula:C12H26Purity:%Color and Shape:LiquidMolecular weight:170.33482,2,4,6,6-pentamethylheptane
CAS:2,2,4,6,6-pentamethylheptane is a highly branched saturated hydrocarbon used in organic synthesis and biochemical experiments.Formula:C12H26Purity:99.30%Color and Shape:SolidMolecular weight:170.342,2,4,6,6-Pentamethylheptane 100 µg/mL in Acetonitrile
CAS:Formula:C12H26Color and Shape:Single SolutionMolecular weight:170.332,2,4,6,6-Pentamethylheptane
CAS:Controlled ProductFormula:C12H26Color and Shape:NeatMolecular weight:170.332,2,4,6,6-Pentamethylheptane
CAS:Controlled ProductFormula:C12H26Color and Shape:NeatMolecular weight:170.332,2,4,6,6-Pentamethyl-heptane
CAS:<p>2,2,4,6,6-Pentamethyl-heptane is a film-forming polymer that is used in detergent compositions. The kinetic of the polymerization reaction has been studied by means of magnetic particles and chemical species. The logistic regression technique was used to determine the best fit for the data. The kinetics of the polymerization reaction were determined by means of magnetic particles and chemical species. The logistic regression technique was used to determine the best fit for the data.</p>Formula:C12H26Purity:Min. 98 Area-%Molecular weight:170.33 g/mol2,2,4,6,6-Pentamethylheptane
CAS:Formula:C12H26Purity:98+%Color and Shape:LiquidMolecular weight:170.34









