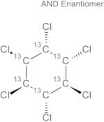
CAS 222966-66-7
:Cyclohexane-13C6,1,2,3,4,5,6-hexachloro-, (1a,2a,3b,4a,5b,6b)- (9CI)
Description:
Cyclohexane-13C6,1,2,3,4,5,6-hexachloro-, also known by its CAS number 222966-66-7, is a chlorinated derivative of cyclohexane. This compound features six chlorine atoms substituted on a cyclohexane ring, which significantly alters its physical and chemical properties compared to non-chlorinated cyclohexane. The presence of multiple chlorine atoms increases the compound's density and boiling point, making it less volatile and more hydrophobic. It is typically used in various industrial applications, including as a solvent or in the synthesis of other chemical compounds. The isotopic labeling with carbon-13 (13C) indicates that this compound can be used in studies involving nuclear magnetic resonance (NMR) spectroscopy, allowing for detailed analysis of its structure and behavior in different environments. Due to the presence of chlorine, this compound may exhibit toxicity and environmental persistence, necessitating careful handling and disposal in accordance with safety regulations. Overall, its unique structure and properties make it a subject of interest in both industrial and research contexts.
Formula:C6H6Cl6
Synonyms:- Alpha-Hch 13C6
- (+/-)-Alpha-Bhc-13C6
- Bhc (Alpha Isomer) (13C6)
- alpha-1,2,3,4,5,6-Hexachlorocyclohexane-13C6
- α-1,2,3,4,5,6-Hexachlorocyclohexane-13C6
Sort by
Purity (%)
0
100
|
0
|
50
|
90
|
95
|
100
Found 3 products.
α-1,2,3,4,5,6-Hexachloro-cyclohexane-13C6
CAS:Formula:C6Cl6H6Purity:99 atom % 13CMolecular weight:287.86007α-HCH 13C6 100 µg/mL in Cyclohexane
CAS:Controlled ProductFormula:C6H6Cl6Color and Shape:Single SolutionMolecular weight:296.79


