CAS 6138-23-4
:Trehalose, dihydrate
Description:
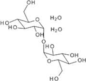
Trehalose dihydrate is a disaccharide composed of two glucose molecules linked by an α,α-1,1-glycosidic bond. It is characterized by its ability to stabilize proteins and cellular structures, making it valuable in various biotechnological and pharmaceutical applications. Trehalose is known for its low hygroscopicity and high solubility in water, which contributes to its effectiveness as a cryoprotectant and stabilizer in freeze-drying processes. The dihydrate form indicates that it contains two molecules of water for each molecule of trehalose, influencing its physical properties, such as melting point and solubility. Trehalose is non-reducing, which distinguishes it from other sugars, and it has a relatively low caloric value, making it a subject of interest in food science and nutrition. Additionally, it exhibits antioxidant properties and has been studied for its potential health benefits, including neuroprotective effects. Overall, trehalose dihydrate is a versatile compound with significant applications in various fields, including food technology, pharmaceuticals, and biotechnology.
Formula:C12H22O11·2H2O
InChI:InChI=1S/C12H22O11.2H2O/c13-1-3-5(15)7(17)9(19)11(21-3)23-12-10(20)8(18)6(16)4(2-14)22-12;;/h3-20H,1-2H2;2*1H2/t3-,4-,5-,6-,7+,8+,9-,10-,11-,12-;;/m1../s1
InChI key:InChIKey=DPVHGFAJLZWDOC-PVXXTIHASA-N
SMILES:O([C@H]1O[C@H](CO)[C@@H](O)[C@H](O)[C@H]1O)[C@H]2O[C@H](CO)[C@@H](O)[C@H](O)[C@H]2O.O
Synonyms:- <span class="text-smallcaps">D</span>-(+)-Trehalose dihydrate
- D(+)trehalose dihydrate cell*culture tested
- D(+)trehalose reduced metal ion content dihydrate
- L-Trehalose Dihydrate
- Trehalose, dihydrate
- alpha,alpha-D-Trehalose dihydrate
- alpha-D-Glucopyranosyl-alpha-D-glucopyranoside dihydrate
- α,α-Trehalose dihydrate
- α-<span class="text-smallcaps">D</smallcap>-Glucopyranoside, α-<smallcap>D</span>-glucopyranosyl, dihydrate
- α-<span class="text-smallcaps">D</smallcap>-Glucopyranoside, α-<smallcap>D</span>-glucopyranosyl, hydrate (1:2)
- α-<span class="text-smallcaps">D</smallcap>-Glucopyranosyl α-<smallcap>D</span>-glucopyranoside dihydrate
- α-D-Glucopyranoside, α-D-glucopyranosyl, dihydrate
- D-Trehalose, dihydrate
- α-D-Glucopyranosyl α-D-glucopyranoside dihydrate
- D-(+)-Trehalose dihydrate
- α-D-Glucopyranoside, α-D-glucopyranosyl, hydrate (1:2)
- D(+)-Trehalose Dihydrate
- See more synonyms
Sort by
Purity (%)
0
100
|
0
|
50
|
90
|
95
|
100
Found 28 products.
D-(+)-Trehalose Dihydrate
CAS:Formula:C12H22O11·2H2OPurity:>98.0%(GC)Color and Shape:White to Almost white powder to crystalMolecular weight:378.33D-(+)-Trehalose dihydrate, 99%
CAS:<p>D-(+)-Trehalose dihydrate is used as a food additive in many processed foods and pharmaceutical excipients. It is widely used as a direct replacement of conventional sweeteners and protects the cells from various environmental stresses. It finds application in the treatment of Huntington's disease a</p>Formula:C12H26O13Purity:99%Color and Shape:Crystalline powder, WhiteMolecular weight:378.33D-(+)-Trehalose dihydrate
CAS:D-(+)-Trehalose dihydrate analytical standardFormula:C12H22O11Purity:(HPLC) ≥95%Color and Shape:PowderMolecular weight:342.3Trehalose
CAS:<p>Sugars, chemically pure, other than sucrose, lactose, maltose, glucose and fructose; sugar ethers and sugar esters, and their salts, nesoi</p>Formula:C12H22O11·2H2OColor and Shape:White PowderMolecular weight:378.13734D-(+)-Trehalose dihydrate
CAS:Formula:C12H26O13Purity:97%Color and Shape:SolidMolecular weight:378.3270Ref: IN-DA003AAD
10g21.00€1kg71.00€25g21.00€50g24.00€5kg193.00€100g29.00€10kg255.00€250g33.00€500g49.00€D-(+)-Trehalose dihydrate, Ph. Eur. grade
CAS:Formula:C12H22O11·2H2OPurity:≤ 0.2%Color and Shape:White crystalline powderMolecular weight:378.33D-(+)-Trehalose dihydrate
CAS:<p>D-(+)-Trehalose dihydrate</p>Purity:≥98%Molecular weight:378.33g/molD-Trehalose dihydrate
CAS:<p>D-Trehalose dihydrate</p>Formula:C12H22O11·2H2OPurity:By hplc: 99.0% (Typical Value in Batch COA)Color and Shape: white crystalline solidMolecular weight:378.32704g/molD-Trehalose dihydrate 1000 µg/mL in Water
CAS:Formula:C12H22O11H2OColor and Shape:Single SolutionMolecular weight:378.33D-Trehalose dihydrate
CAS:Controlled ProductFormula:C12H22O11H2OColor and Shape:NeatMolecular weight:378.33D-(+)-Trehalose Dihydrate [for Biochemical Research]
CAS:Formula:C12H22O11·2H2OPurity:>98.0%(GC)Color and Shape:White to Almost white powder to crystalMolecular weight:378.33D-(+)-Trehalose dihydrate
CAS:<p>D-(+)-Trehalose dihydrate (α,α-Trehalose dihydrate) is a natural α-linked disaccharide formed by an α, α-1, 1-glucoside bond between two α-glucose units.</p>Formula:C12H26O13Purity:99.79% - 99.938%Color and Shape:White Crystalline PowderMolecular weight:378.33D-(+)-Trehalose dihydrate
CAS:Formula:C12H22O11·2H2OPurity:≥ 98.0% (Trehalose, dry basis)Color and Shape:White to almost white crystalline powderMolecular weight:378.33D-(+)-Trehalose dihydrate
CAS:Formula:C12H26O13Purity:95.0%Color and Shape:Crystalline Powder,PowderMolecular weight:378.327a,a-D-Trehalose dihydrate
CAS:<p>Please enquire for more information about a,a-D-Trehalose dihydrate including the price, delivery time and more detailed product information at the technical inquiry form on this page</p>Formula:C12H26O13Purity:Min. 98 Area-%Molecular weight:378.33 g/mola,a-D-Trehalose dihydrate endotoxin free
CAS:<p>Trehalose is a non-reducing sugar that is naturally found in some plants and animals. It is a disaccharide formed by two glucose molecules linked together with an alpha,alpha glycosidic bond. Trehalose has been shown to inhibit the growth of bacteria through the inhibition of fatty acid biosynthesis and the production of lactic acid. Trehalose has also been shown to have excipients that are used as lubricants or suspending agents in pharmaceuticals, cosmetics, food products, and animal feed. Trehalose can be used as a substitute for propionate in order to create endotoxin-free aqueous solutions.</p>Formula:C12H22O11·2H2OPurity:Min. 98 Area-%Color and Shape:White PowderMolecular weight:378.33 g/mola,a-D-Trehalose dihydrate
CAS:<p>Trehalose is a naturally occurring disaccharide found in many organisms. Its role in nature is as versatile as its applications in the laboratory. Trehalose is synthesised by cells in response to stress and helps retaining the cellular integrity under tough conditions. An important function of trehalose is to stabilise protein structures and to prevent proteins from their degradation. Researchers use trehalose for instance as a carbon source in selective microbiological media, as desiccation protectant and for cryoprotection.</p>Formula:C12H22O11·2H2OPurity:(%) Min. 98%Color and Shape:White PowderMolecular weight:378.33 g/mola,a-D-Trehalose dihydrate - high purity
CAS:<p>Non-reducing disaccharide; mildly sweet energy source; protein stabilizer</p>Formula:C12H22O11·2H2OPurity:Min. 99 Area-%Color and Shape:PowderMolecular weight:378.33 g/molD-Trehalose dihydrate
CAS:<p>Trehalose is a naturally occurring disaccharide found in many organisms.Its role in nature is as versatile as its applications in the laboratory. Trehalose is synthesized by cells in response to stress and helps retaining the cellular integrity under tough conditions: An important function of Trehalose is to stabilize protein structures and to prevent proteins from their degradation. Researchers use Trehalosefor instance as a carbon source in selective microbiological media, as desiccation protectant and for cryoprotection.</p>Formula:C12H26O13Purity:Min. 98.0 Area-%Molecular weight:378.33 g/molRef: 3D-T-5000
25gTo inquire5kgTo inquire10kgTo inquire25kgTo inquire2500gTo inquire-Unit-kgkgTo inquireD-Trehalose Dihydrate for tissue culture
CAS:Formula:C12H22O11·2H2OColor and Shape:White to off - white, Crystalline powder, Clear, ColorlessMolecular weight:378.33D-Trehalose Dihydrate ExiPlus Multi-Compendial
CAS:Formula:C12H22O11·2H2OPurity:97 - 102%Color and Shape:White to off white, Crystalline powder, Clear, max. 0.05Molecular weight:378.33D-Trehalose Dihydrate extrapure CHR
CAS:Formula:C12H22O11·2H2OColor and Shape:White to off-white, Crystalline powder, ClearMolecular weight:378.33D-(+)-Trehalose Dihydrate
CAS:<p>Applications D-(+)-Trehalose is a disaccharide composed of two α-glucose units. D-(+)-Trehalose is used in many processed foods as well as in biopharmaceutical monoclonal antibody formulations. D-(+)-Trehalose is also used as a protein stabilizer.<br>References Bosquillon, C. et al.: J. Cont. Rel., 99, 357 (2004); Arakawa, T. et al.: Adv. Drug Deliv. Rev., 46, 307 (2001); Singh, S.K. et al.: Pharmac. Res., 28, 873 (2011);<br></p>Formula:C12H22O11·2H2OColor and Shape:NeatMolecular weight:378.33
















