
Cellooligosaccharides
Cellooligosaccharides are short chains of glucose molecules derived from cellulose, commonly used in enzymatic activity studies, particularly those involving cellulases. These oligosaccharides are important in bioenergy research, particularly in the breakdown of plant biomass. At CymitQuimica, we supply various cellooligosaccharides for research into renewable energy and biotechnology.
Found 1 products for "Cellooligosaccharides".
Sort by
Purity (%)
0
100
|
0
|
50
|
90
|
95
|
100
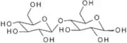
D-Cellobiose
CAS:D-Cellobiose, also known as cellose, is a reducing disaccharide consisting of two β(1-4)-linked glucopyranose units. It is produced by the hydrolysis of cellulose, a homopolysaccharide of glucose with β(1-4)-linkages. Cellobiose constitutes the polar part of cellobiose lipids (CLs) that are secreted by yeasts and mycelia fungi. Their various biological activities have led to a range of applications in the food industry, pharmaceutical industry and in medicine. Cellobiose itself has been used as an indicator carbohydrate for Crohn's disease and malabsorption syndrome. In biotechnology, cellobiose is one of the sugars explored for the synthesis of biotensides.Formula:C12H22O11Purity:Min. 97 Area-%Color and Shape:White Off-White Crystalline PowderMolecular weight:342.30 g/mol
