
Blood Groups and Lewis Antigens
Blood group oligosaccharides and Lewis antigens are essential for studying blood type antigens and their role in immunology, transfusion medicine, and infectious diseases. These oligosaccharides are crucial for research into blood group compatibility and pathogen-host interactions. CymitQuimica offers a selection of blood group and Lewis antigen oligosaccharides for immunological research.
Found 11 products for "Blood Groups and Lewis Antigens".
Sort by
Purity (%)
0
100
|
0
|
50
|
90
|
95
|
100
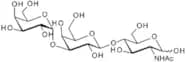
Lewis X tetrasaccharide
CAS:Lewis X tetrasaccharide (LX4) is a glycan that is found on the surface of human cells. It is an important diagnostic marker for microbial infections and has been shown to be present on the surfaces of both normal skin cells and malignant cells. The presence of LX4 can be detected using a monoclonal antibody in vitro. This glycan can also be used as a model system to study ischemia–reperfusion injury, since it has been shown to be sensitive to oxidative changes caused by reactive oxygen species generated during reperfusion. Studies have also shown that LX4 binds to enzymes such as malonic acid oxydoreductase, which are involved in the metabolism of lysine, arginine, and proline.
Formula:C26H45NO20Purity:Min. 90%Color and Shape:White PowderMolecular weight:691.64 g/mol3'-Sulfated Lewis X sodium salt
CAS:3'-Sulfated Lewis X sodium salt is a synthetic carbohydrate with a sulfate group on the 3' position of the sugar. It is a selective blocker of E-selectin, a type of selectin that plays an important role in inflammation and tissue injury. The binding site for 3'-sulfated Lewis X sodium salt is the cavity at the end of the selectin molecule, which has a hydrophobic region. This cavity can be blocked by hydrophobic moieties such as sulfates, fatty acids, or steroids. 3'-Sulfated Lewis X sodium salt has been shown to be effective in treating inflammatory conditions such as asthma and arthritis.Formula:C20H34NSO18NaPurity:Min. 95%Color and Shape:White PowderMolecular weight:631.55 g/mol3'-Sialylgalactose sodium
CAS:Sialylated oligosaccharide with the ability to inhibit angiogenesis and tumour development by binding to the vascular endothelial growth factor receptor VEGFR-2. Moreover, sialylated N-glycans in intestinal epithelium of chickens were found to carry terminal sialylgalactose, which interacts with influenza viruses during early stages of infection.Formula:C17H28NO14·NaPurity:Min. 95%Color and Shape:White PowderMolecular weight:493.39 g/molLinear B-2 trisaccharide
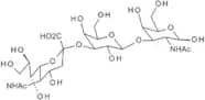
CAS:Linear B-2 trisaccharide is a human serum glycoprotein that belongs to the group of glycoconjugates. It has been shown to have clinical relevance in the detection of cancer and infectious diseases, as well as for use in the treatment of cancer. Linear B-2 trisaccharide can be used in combination with monoclonal antibodies for diagnosis and treatment of cancer. This molecule is also an inhibitor of both influenza virus hemagglutinin and HIV gp120, which may be due to its ability to react with specific carbohydrate structures on these proteins. Linear B-2 trisaccharide is biocompatible and can be used in the development of biodegradable polymers. The linearity of this molecule makes it more stable than other related molecules, such as glycopeptides.Formula:C20H35NO16Purity:Min. 95%Color and Shape:PowderMolecular weight:545.49 g/molBlood Group A trisaccharide, N-aminoethyl nonanamide
CAS:Blood group antigen derivative for biochemical researchFormula:C31H57N3O16Purity:Min. 95 Area-%Color and Shape:PowderMolecular weight:727.79 g/mol6'-Sialylgalactose sodium salt
CAS:Sialylated oligosaccharide with the ability to inhibit angiogenesis and tumour development by binding to the vascular endothelial growth factor receptor VEGFR-2. Moreover, sialylated N-glycans in intestinal epithelium of chickens were found to carry terminal sialylgalactose, which interacts with influenza viruses during early stages of infection.Formula:C17H28NO14·NaPurity:Min. 95%Color and Shape:PowderMolecular weight:493.39 g/mol3'-Sialylgalacto-N-biose sodium salt
CAS:3'-Sialylgalacto-N-biose sodium salt is a high purity synthetic glycosaminoglycan with a single sugar residue. This product has been custom synthesized for research purposes and may be used as a control in experiments. The chemical name of this product is 3'-sialylgalacto-N-biose sodium salt, and it has CAS number 1370359-76-4. It is important to note that this product is not available for sale at this time.Formula:C25H41N2O19NaPurity:Min. 95 Area-%Color and Shape:White Off-White PowderMolecular weight:696.58 g/molLewis B tetrasaccharide
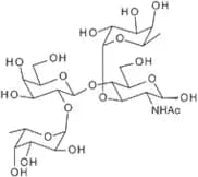
CAS:Lewis B tetrasaccharide (LBT) is a glycosylated oligosaccharide that is found in the outer membrane of human pathogens, such as Helicobacter pylori. LBT has been shown to inhibit the growth of cancer cells and may be used as a potential therapeutic agent for cancer treatment. It has also been shown to have structural features similar to those found in inflammatory bowel disease patients, suggesting that it may play a role in regulating bowel inflammation. LBT is recognized by monoclonal antibodies and can be used to detect H. pylori in biological samples. Lewis B tetrasaccharide binds with methyl glycosides on human erythrocytes, which inhibits the polymerase chain reaction (PCR). This inhibition leads to reduced DNA synthesis and a decrease in bacterial replication, making it an effective antimicrobial agent.Formula:C26H45NO19Purity:Min. 90%Color and Shape:White PowderMolecular weight:675.63 g/molBlood Group H type I trisaccharide
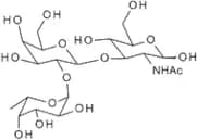
CAS:Core antigen fragment in ABO blood group systemFormula:C20H35NO15Purity:Min. 90%Color and Shape:PowderMolecular weight:529.49 g/molLewis Y tetrasaccharide
CAS:Lewis Y tetrasaccharide is a type of antigen that is used as a pharmacological agent. It has been shown to be effective in treating carcinoma cell lines and primary sclerosing cholangitis. Lewis Y tetrasaccharide has also been shown to be an antigen for the mouse monoclonal antibody, which is used in cancer research. The Lewis Y tetrasaccharide stimulates the immune system by interacting with certain cells called dendritic cells and macrophages, which are responsible for activating T-cells. This interaction promotes the production of chemoattractant proteins, which are proteins that attract white blood cells to fight infection and promote healing. Lewis Y tetrasaccharide has also been shown to cause cancer cell death by lysing cells through apoptosis or necrosis depending on the tissue type.Formula:C26H45NO19Purity:(%) Min. 95%Color and Shape:PowderMolecular weight:675.64 g/molBlood Group B trisaccharide, spacer-biotin conjugate
CAS:Blood group B antigen conjugated to spacer arm and biotinFormula:C37H64N4O18SPurity:Min. 95%Color and Shape:PowderMolecular weight:884.99 g/mol
