
Carboidrati e Glicoconiugati
I carboidrati sono composti organici costituiti da carbonio, idrogeno e ossigeno, con una struttura di base formata da monosaccaridi. Questi possono unirsi per formare disaccaridi, oligosaccaridi o polisaccaridi, a seconda del numero di unità monomeriche. I carboidrati svolgono un ruolo fondamentale nell’immagazzinamento dell’energia, nella struttura cellulare e nella comunicazione cellulare. I loro derivati sono utilizzati nei prodotti farmaceutici, come dolcificanti ed eccipienti.
Presso CymitQuimica, offriamo un’ampia varietà di carboidrati e loro derivati per la ricerca e le applicazioni industriali.
Trovati 5013 prodotti di "Carboidrati e Glicoconiugati"
Ordinare per
Purezza (%)
0
100
|
0
|
50
|
90
|
95
|
100
Neu5GcAc[1Me,4789Ac]a(2-6)Gal[24Bz,3Bn]-b-MP
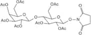
<p>Neu5GcAc[1Me,4789Ac]a(2-6)Gal[24Bz,3Bn]-b-MP is a custom synthesis of an oligosaccharide. This complex carbohydrate has a CAS No. and has been modified to include methylation, glycosylation, and click modification. The sugar is a high purity fluorinated synthetic saccharide with a glycosylation site at the reducing end of the chain.</p>Formula:C56H61NO23Purezza:Min. 95%Peso molecolare:1,116.08 g/mol[2-[[2,3,6-Tri- O- acetyl- 4- O- (2, 3, 4, 6- tetra- O- acetyl- b- D- glucopyranosyl) - b- D- glucopyranosyl] oxy] ethyl] - carbamic acid phenylmethyl ester
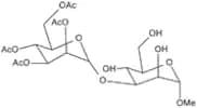
CAS:<p>The conformation of the 2-[[2,3,6-tri-O-acetyl-4-O-(2,3,4,6-tetra-O-acetyl-βDglucopyranosyl)-βDglucopyranosyl]oxy]ethyl]carbamic acid phenylmethyl ester molecule has been studied by X-ray crystallography. The molecule adopts a chair conformation with the two acetyl groups occupying equatorial positions. The molecule is planar with an angle of 110° between the NH and CO axes. The calculated electron diffraction pattern was in good agreement with the experimental data. The analysis yielded a set of independent amplitudes for each reflection that were analysed to give structure constants and electron distributions.</p>Purezza:Min. 95%Lewis A trisaccharide
CAS:<p>Lewis A is a trisaccharide that has been found to be present in the glycan structures of spermatozoa. It has also been identified as a major component of the glycan structures on the surface of HL-60 cells. Lewis A is composed of three monosaccharides, galactose, fucose, and N-acetylgalactosamine, which are linked together with a beta (1→4) linkage. The hydroxyl group on the galactose molecule allows for steric interactions with neighboring sugar molecules through hydrogen bonding and van der Waals forces. The Lewis A trisaccharide is an important marker for identifying blood type O because it does not have any antigenic determinants that can cause an immune response.</p>Formula:C20H35NO15Purezza:Min. 95 Area-%Colore e forma:White PowderPeso molecolare:529.49 g/molHyaluronic acid sodium salt - Average MW 0.6-2.5 million Daltons
CAS:<p>Gycosaminoglycan in many organs; joint lubricant and shock absorber</p>Formula:(C14H20NO11Na)nPurezza:Min. 95%Colore e forma:PowderD-Cellobiose
CAS:<p>D-Cellobiose, also known as cellose, is a reducing disaccharide consisting of two β(1-4)-linked glucopyranose units. It is produced by the hydrolysis of cellulose, a homopolysaccharide of glucose with β(1-4)-linkages. Cellobiose constitutes the polar part of cellobiose lipids (CLs) that are secreted by yeasts and mycelia fungi. Their various biological activities have led to a range of applications in the food industry, pharmaceutical industry and in medicine. Cellobiose itself has been used as an indicator carbohydrate for Crohn's disease and malabsorption syndrome. In biotechnology, cellobiose is one of the sugars explored for the synthesis of biotensides.</p>Formula:C12H22O11Purezza:Min. 97 Area-%Colore e forma:White Off-White Crystalline PowderPeso molecolare:342.30 g/molMaltohexaose
CAS:<p>Maltohexaose is a polysaccharide formed by 6 units of glucose and can be metabolised inside the cell to a substrate-based inhibitor of fucosyltransferases. It can also be converted to GDP-2-deoxy-2-fluoro-L-fucose, a competitive inhibitor of α-1,3-fucosyltransferase. Matohexaose is used as acceptor for measuring the activity of 4-Alpha-Glucanotransferase.</p>Formula:C36H62O31Purezza:Min. 70 Area-%Colore e forma:White PowderPeso molecolare:990.86 g/molLacto-N-difucohexaose I
CAS:<p>Fucosyloligosaccharide present in human milk and colostrum</p>Formula:C38H65NO29Purezza:Min. 95 Area-%Colore e forma:White PowderPeso molecolare:999.91 g/molA1 Glycan, 2-AB labelled
<p>A1 Glycan, 2-AB labelled is a custom synthesis of a complex carbohydrate. The carbohydrate is an oligosaccharide that has been modified with methylation and glycosylation. The carbohydrate has a CAS number and is a polysaccharide. It is modified with saccharide, methylation, and glycosylation. The carbohydrate has undergone click modification and fluorination and it is synthetic.</p>Purezza:Min. 95%3-O-(2-Acetamido-2-deoxy-a-D-galactopyranosyl)-D-galactopyranose
CAS:<p>3-O-(2-Acetamido-2-deoxy-a-D-galactopyranosyl)-D-galactopyranose is an endothelial cell growth factor that is generated by the enzymatic activity of galactosyltransferase. It binds to lectin, glycan, and monoclonal antibodies. This molecule has been shown to have biological properties that are related to cancer and immunology. 3-O-(2-Acetamido-2-deoxy-a-D-galactopyranosyl)-D-galactopyranose may be used as a glycolipid marker in blood group typing and in the detection of cervical cancer cells.</p>Formula:C14H25NO11Purezza:Min. 95%Colore e forma:White PowderPeso molecolare:383.33 g/mol2'-Fucosyllactose - Synthetic
CAS:<p>2'-Fucosyllactose (2'-FL) is the most abundant human milk oligosaccharide (HMO) with multiple functions including: acting as a prebiotic, protecting against infections and inflammation, modulating the immune system, supporting brain development, and reducing the risk of necrotizing enterocolitis. The commercial availability of synthetic fucosyllactose is important because HMOs were previously only found at significant levels in human milk, however they are now available in several infant formulas. It has been given Generally Recognized As Safe (GRAS) status and the European Union has approved the use of 2'-Fucosyllactose in infant formula products (Reverri, 2018).</p>Formula:C18H32O15Purezza:(2'-Fucosyllactose) Min. 94.0%Colore e forma:White PowderPeso molecolare:488.44 g/mol4-Methoxyphenyl 4-O-(2,4,6-tri-O-acetyl-3-O-allyl-β-D-galactopyranosyl)-3-O-allyl-β-D-glucopyranoside
<p>4-Methoxyphenyl 4-O-(2,4,6-tri-O-acetyl-3-O-allyl-b-D-galactopyranosyl)-3-O-allyl-b-Dglucopyranoside is a synthetic sugar with a molecular weight of 532. This product can be used in the synthesis of oligosaccharides and monosaccharides. It is also used as an intermediate in glycosylation reactions. This product has not been assigned a CAS number yet.</p>Formula:C31H42O15Purezza:Min. 95%Peso molecolare:654.66 g/molMethyl syringate 4-O-β-D-gentiobiose
<p>Methyl syringate 4-O-beta-D-gentiobiose is a modification, which is an oligosaccharide carbohydrate complex. It is synthesized by custom synthesis and has a high purity. It is a CAS number and has the molecular formula C12H20O9. This compound can be found in nature as a monosaccharide or polysaccharide sugar. The methylation of this compound can produce methyl syringate 4-O-beta-D-gentiobiose.</p>Formula:C22H22O15Peso molecolare:526.4 g/molO-(2,3,4,6-Tetra-O-benzyl-a-D-gal)-(1-4)-O-(2,3,6-tri-O-benzyl-b-D-gal)-(1-4)-2,3,6-tri-O-benzyl-D-glc
<p>O-(2,3,4,6-Tetra-O-benzyl-a-D-gal)-(1-4)-O-(2,3,6-tri-O-benzyl-b-D-gal)-(1-4)-2,3,6-tri-O-benzyl D glucal is a modification of the Oligosaccharide carbohydrate. It is synthesized by custom synthesis and is high purity. The CAS number for this product is . The monosaccharide in this product is methylated and glycosylated. This product has fluorination and saccharide properties.</p>Purezza:Min. 95%N-Acetylneuraminyl-(a2-3)-D-galactopyranosyl-(b1-3)-D-N-acetylgalactosaminyl serine-biotin
<p>N-Acetylneuraminyl-(a2-3)-D-galactopyranosyl-(b1-3)-D-N-acetylgalactosaminyl serine-biotin is a custom synthesis of complex carbohydrates. It is an oligosaccharide with a CAS number and has been modified with methylation, glycosylation, and click chemistry. The carbohydrate has a high purity and has been fluorinated for the purpose of making it synthetic.</p>Formula:C36H58N4O23SPurezza:Min. 95%Peso molecolare:946.92 g/molLacto-N-fucopentaose III
CAS:<p>Neutral pentasaccharide naturally present in human breast milk</p>Formula:C32H55NO25Purezza:Min. 95%Colore e forma:White PowderPeso molecolare:853.77 g/molMonosialyl, monofucosyl-(1-2)-lacto-N-hexaose
<p>Monosialyl, monofucosyl-(1-2)-lacto-N-hexaose is a synthetic, fluorinated monosaccharide that is used to modify complex carbohydrates. It can be used for the synthesis of oligosaccharides and polysaccharides with a variety of sugar modifications. Monosialyl, monofucosyl-(1-2)-lacto-N-hexaose has the CAS Registry Number 111832-43-9.</p>Purezza:Min. 95%LacDiNAc dimer ethylazide
<p>LacDiNAc dimer ethylazide is a modified form of LacdiNAc that has been iodinated. It is synthesized by the reaction of two molecules of LacdiNAc with ethylazide. The product has an average molecular weight of 2,000 and is the most highly purified synthetic carbohydrate available. It can be used in a wide range of applications, including click chemistry, glycosylation reactions, and fluorination synthesis.</p>Formula:C34H57N7O21Purezza:Min. 95%Peso molecolare:899.85 g/molGD2-Oligosaccharide-sp-biotin
<p>The structure of GD2-oligosaccharide-sp-biotin (sodium salt) comprises (GalNAcβ1,4Galβ1,4Glc) with two sialic acids linked (β-2,3/β-2,8) to the central galactose residue and biotin attached to position 1 of the reducing glucose moiety. GD2 ganglioside is expressed at a low concentration in the central nervous system, nerves, skin melanocytes and stem cells in healthy adults. On the other hand, GD2 ganglioside is overexpressed in a number of tumors, including: neuroblastoma, melanoma, small cell lung carcinoma and brain tumors. Recently, it has been found in low concentrations on breast cancer stem cells (CSC) that possess: self-renewal properties (division without disrupting the undifferentiated state) and tumor-initiating capabilities. It has been suggested that GD2 ganglioside may be developed as an effective target antigen for CSC immunotherapy.</p>Formula:C65H104N10O37S·2NaPurezza:One SpotColore e forma:White PowderPeso molecolare:1,695.61 g/molChitooctaose octahydrochloride
CAS:<p>Chitooctaose 8HCl is an antiviral agent that inhibits the replication of viruses. It blocks the virus from entering and infecting cells by binding to its receptor, which prevents cell-to-cell transmission. Chitooctaose 8HCl has a hydrolysable form and can be acetylated to increase its potency. This drug also interacts with ligands such as oligosaccharides, which are molecules consisting of several monomers linked together in a chain. The structural changes in these oligosaccharides are important for the interaction with chitooctaose 8HCl. Chitooctaose 8HCl has been shown to inhibit the replication of RNA viruses such as influenza A virus, human immunodeficiency virus type 1 (HIV-1), and rotavirus. This antiviral agent also inhibits the replication of DNA viruses such as herpes simplex type 2 (HSV-2) and hepatitis B virus (</p>Formula:C48H90N8O33•(HCl)8Purezza:Min. 85 Area-%Colore e forma:White PowderPeso molecolare:1,598.95 g/mol4-Aminobutyl 1,3-a-1,6-a-D-mannotriose
<p>4-Aminobutyl 1,3-a-1,6-a-D-mannotriose is a custom synthesis that belongs to the category of oligosaccharides and polysaccharides. It is an aminotriose with a methyl group at the C4 position. The fluorinated glucose moiety and the 4-aminobutylic acid residue are in an alpha configuration. This oligosaccharide has been modified by click chemistry and features high purity. The modification was carried out by condensing the sugar with a boronic acid and then reacting this with an azide group. The resulting product is then reacted with a maleimide to create a conjugate that can be used in bioconjugation reactions.</p>Purezza:Min. 95%Sialyl lewis X pentaose
<p>The blood group antigen Sialyl Lewis X (SLeX) is an oligosaccharide which plays a vital role in cell-cell recognition processes. SLeX is a terminal residue on glycolipids that are present on the surface of white blood cells and plays a key role in inflamation processes (Collins, 2006). The inital adhesion of white blood cells to a site of injury is mediated by E-selectins which specifically interact with SLeX. Cell-cell recognition between leukocytes and endothelial cells in blood is believed to occur in part through interactions between lectins and oligosaccharide ligands (Munro, 1992).</p>Formula:C37H61N2O28NaPurezza:Min. 70%Colore e forma:PowderPeso molecolare:1,004.87 g/mol4-Methoxyphenyl 4-O-[2,6-di-O-acetyl-3-O-(2,3,4,6-tetra-O-acetyl-α-D-mannopyranosyl)-4-O-benzyl-β-D-mannopranosyl]-3,6-di-O-benzyl-2 -deoxy-2-phthalimido-β-D-glucopyranoside
<p>4-Methoxyphenyl 4-O-[2,6-di-O-acetyl-3-O-(2,3,4,6-tetra-O-acetyl-a-D-mannopyranosyl)-4-O-benzylbDmannopranosyl]-3,6diObenzyl 2 -deoxy2 -phthalimidoBglucopyranoside is a carbohydrate that belongs to the group of oligosaccharides. It is a saccharide that consists of an acetate ester and an acetal linkage. This carbohydrate has been custom synthesized for use in click chemistry. 4MPP4ODABAGMBZ is a synthetic monosaccharide with a methylation and glycosylation modification.</p>Formula:C66H71NO24Purezza:Min. 95%Peso molecolare:1,262.26 g/mol4'-Sulfated Lewis X methyl glycoside sodium
CAS:<p>4'-Sulfated Lewis X methyl glycoside sodium is a synthetic monosaccharide. It is used in the synthesis of oligosaccharides and polysaccharides. This compound can be fluorinated to produce 4'-fluoro-4'-sulfated Lewis X methyl glycoside sodium. The sulfate group on this compound can be replaced with other groups such as carboxyl, cyano, nitro, and acetyl.</p>Formula:C21H36NO18SNaPurezza:Min. 95%Colore e forma:PowderPeso molecolare:645.58 g/mol3-O-(2-Acetamido-2-deoxy-b-D-glucopyranosyl)-D-mannopyranose
CAS:<p>3-O-(2-Acetamido-2-deoxy-b-D-glucopyranosyl)-D-mannopyranose is a disaccharide that is part of the glycosaminoglycan family. It has an antigenic epitope that is recognized by antibodies, which are found in patients with rheumatoid arthritis and other autoimmune diseases. 3-O-(2-Acetamido-2-deoxy-b-D-glucopyranosyl)-D-mannopyranose is also known as glucosamine.</p>Formula:C14H25NO11Purezza:Min. 95 Area-%Colore e forma:PowderPeso molecolare:383.35 g/mol4-Methoxyphenyl 4-O-(3,6-di-O-benzyl-2-deoxy-4-O-levulinoyl-2-phthalimido-β-D-glucopyranosyl)-3-O-benzyl-6-O-(2,3,4-tri-O-benzyl-α-L -fucopyranosyl)-2-deoxy-2-phthalimido-β-D-glucopyranoside
<p>The compound 4-Methoxyphenyl 4-O-(3,6-di-O-benzyl-2-deoxy-4-O-levulinoyl)-2,3,4,6-tetra‑O‑benzyl‑a‑L -fucopyranosyl)-2,3,4,6‑tetra‑O‑benzyl‑a‑L -fucopyranoside is a glycoside of the monosaccharide 2,3,4,6 tetra O benzyl a L fucopyranose. It is prepared by the reaction of methyl 4 methoxyphenol with 2 deoxy 4 levulinoyl 2 phthalimido b D glucopyranoside in the presence of an acid catalyst. The compound has been shown to have anti inflammatory and anti allergic effects.</p>Formula:C88H86N2O20Purezza:Min. 95%Peso molecolare:1,491.63 g/molDextran 250 - MW: 225,000 to 275,000
CAS:<p>Complex glucan (a 1-6) from Leuconostoc spp.; extender in blood transfusions</p>Colore e forma:Powder3-O-(b-D-Mannopyranosyl)-D-mannopyranose
CAS:<p>Synthesized by the 4,6-O-benzylidene acetal-controlled method of Crich</p>Formula:C12H22O11Purezza:Min. 95%Colore e forma:PowderPeso molecolare:342.3 g/molAllyl a-D-lactose
CAS:<p>A functionalized carbohydrate that serves as a valuable precursor for the synthesis of complex glycoconjugates, oligosaccharides, and glycopolymers through reactions like glycosylation and click chemistry</p>Formula:C15H26O11Peso molecolare:382.36 g/molStachyose - 70%
CAS:<p>Non-reducing storage and transport sugar in woody plants; used as a sweetener</p>Formula:C24H42O21Purezza:Min. 70 Area-%Colore e forma:White PowderPeso molecolare:666.59 g/molLactitol anhydrous
CAS:<p>Lactitol is a polyol that is used as a sweetener and has the potential to cause diarrhea. It belongs to the group of sugar alcohols, which are not completely digested by humans. Lactitol is produced from lactose, which is derived from milk. The main clinical relevance of lactitol is its high intestinal permeability, low caloric value, and ability to lower blood glucose levels in diabetics. Lactitol undergoes microbial metabolism through the action of certain bacteria in the colon and can be found in products such as probiotics and food supplements. It has been shown to have beneficial effects on chronic viral hepatitis and may be used for treatment of bacterial translocation. Lactitol also inhibits pge2 production in mice with colitis, leading to decreased inflammatory responses in their small intestines and colon. This inhibition may also lead to suppression of tumor growth or promotion of apoptosis in colorectal cancer cells by inhibiting protein synthesis and cell division.br></p>Formula:C12H24O11Purezza:Min. 95%Colore e forma:PowderPeso molecolare:344.31 g/molLewis X trisaccharide
CAS:<p>Milk oligosaccharide; antigen; expressed on gastric mucosa and cancer cells</p>Formula:C20H35NO15Purezza:Min. 90 Area-%Colore e forma:PowderPeso molecolare:529.49 g/mol1,4-β-D-Mannopentaose
CAS:<p>Isolated from ivory-nut mannan hydrolysates</p>Formula:C30O26H52Purezza:Min. 95%Colore e forma:PowderPeso molecolare:828.72 g/molIsoprimeverose
CAS:<p>Isoprimeverose is a covalently linked polysaccharide with a molecular weight of about 5,000. It has been shown to have an optimum pH at around 7.5 and is soluble in water. Isoprimeverose was found to be highly immunogenic in rats and mice, producing high levels of polyclonal antibodies against the protein target. The carbohydrate moiety of isoprimeverose contains galacturonic acid, which may play a role in its uptake by mammalian cells. The hydroxyl group on the sugar molecule may also play a role in this process. Isoprimeverose can be used as an artificial sweetener because it does not contain any sugars or carbohydrates that can cause tooth decay or other dental problems.</p>Formula:C11H20O10Purezza:Min. 95%Colore e forma:White PowderPeso molecolare:312.27 g/molNeoagarohexaose
CAS:<p>Agarose is a polysaccharide found in red algae, typically Gelidium and Gracilaria. It is a strictly alternating polysaccharide of α-1,3 linked D-galactose and β-1,4 linked L-3,6 anhydrogalactose with occasional sulfation at position 6 of the anhydrogalactose residue. Agaro-oligosaccharides result from cleavage at galactose residues and neoagaro-oligosaccharides from cleavage at 3,6-anhydro residues. Neoagarohexaose is reported to have potential for novel cosmeceuticals.</p>Formula:C36H56O28Purezza:Min. 98 Area-%Colore e forma:White PowderPeso molecolare:936.81 g/mol6-O-(2-Acetamido-2-deoxy-β-D-glucopyranosyl)-D-galactopyranose
CAS:<p>6-O-(2-Acetamido-2-deoxy-b-D-glucopyranosyl)-D-galactopyranose is a disaccharide that has been shown to have anti-inflammatory activities. It contains an acetamide group and a hydroxy group. The acetamide group is substituted by a hydroxy group, which may be responsible for its anti-inflammatory activity. 6-O-(2-Acetamido-2-deoxy-b-D-glucopyranosyl)-D-galactopyranose has also been shown to inhibit the production of proinflammatory cytokines such as tumor necrosis factor alpha (TNFα) and interleukin beta (ILβ).</p>Formula:C14H25NO11Purezza:Min. 95%Colore e forma:White PowderPeso molecolare:383.36 g/molN-Acetyl-9-O-(N-acetyl-a-neuraminosyl)-neuraminic acid
CAS:<p>N-Acetyl-9-O-(N-acetyl-a-neuraminosyl)-neuraminic acid is a synthetic, fluorinated monosaccharide that is used in the synthesis of glycosides and polysaccharides. It can be custom synthesized to any desired purity. This chemical has many modifications, including methylation, esterification, and glycosylation. The CAS number for this product is 96425-77-3.</p>Formula:C22H36N2O17Purezza:Min. 95%Peso molecolare:600.52 g/molMaltotetraose
CAS:<p>Maltotetraose is the shortest chain oligosaccharide that can be classified as a maltodextrin. It’s a component of liquid glucose (a commercial sweetener composed of glucose, maltose, maltotriose and maltotetraose), used in bread-making industry.</p>Formula:C24H42O21Purezza:Min. 95 Area-%Colore e forma:White PowderPeso molecolare:666.58 g/molβ-D-Maltose octaacetate
CAS:<p>Starch breakdown product; sweetening agent; fermentable intermediate in brewing</p>Formula:C28H38O19Purezza:Min. 99 Area-%Peso molecolare:678.60 g/molRef: 3D-M-0945
25gPrezzo su richiesta50gPrezzo su richiesta100gPrezzo su richiesta-Unit-ggPrezzo su richiestaHeparin derived dp8 saccharide ammonium salt
<p>Heparin is a glycosaminoglycan which is a complex carbohydrate that contains repeating disaccharide units of glucosamine and N-acetylglucosamine. Heparin has been shown to inhibit the activity of bacterial enzymes involved in fibrinolysis, such as plasminogen activator inhibitor 1 (PAI-1), and may act as an anticoagulant. Heparin is often used as an anticoagulant in patients with thrombotic disorders, including deep vein thrombosis, pulmonary embolism, or heart attack. Heparin also acts as a cofactor for the activation of clotting factors II (thrombin), VII, IX, X, XI and XII. In addition, it inhibits the activation of factor XIII by preventing its conversion from its inactive form into active factor XIIIa. The molecular weight of heparin is approximately 10 kilodaltons (kDa) and it has a molecular formula</p>Purezza:Min. 95%Colore e forma:PowderPeso molecolare:~2400 (Average)N-Acetylneuraminic acid dimer disodium salt
CAS:<p>Intermediate in synthesis of ganglioside GD2</p>Formula:C22H34N2O17·2NaPurezza:Min. 95 Area-%Colore e forma:White PowderPeso molecolare:644.49 g/molGlycyl-sialyllacto-N-tetraose α
<p>Glycyl-sialyllacto-N-tetraose a is a custom synthesis that is an oligosaccharide with a molecular weight of 471. It has the CAS No. of 882859-14-6 and can be modified by methylation, glycosylation, and fluorination. This saccharide is a polysaccharide that can be modified by glycosylation, methylation, and click modification. The carbohydrate has a high purity and can be synthesized using organic chemistry or biochemistry techniques. Glycyl-sialyllacto-N-tetraose a is an Oligosaccharide with a sugar composition of (1) D-Glyceraldehyde 3-phosphate (2) D-Sorbitol 3 phosphate (3) Lactose (4) Glycyl-(1→4)-β--D--Galactopyranosyl-(1→3)-α</p>Formula:C39H66N4O29Purezza:Min. 95%Colore e forma:White to off-white solid.Peso molecolare:1,054.95 g/molBlood Group H disaccharide, spacer-biotin conjugate
<p>The blood group H disaccharide is a custom synthesis, complex carbohydrate with an Oligosaccharide and CAS No. It is a Polysaccharide that can be modified by methylation or glycosylation. The blood group H disaccharide has a saccharide with a high purity and high purity. It is fluorinated at the 2' position of the sugar moiety in the backbone. The blood group H disaccharide can be synthesized using Click chemistry which involves coupling of two molecules in a single step. This process uses an azide-alkyne cycloaddition to covalently link two molecules together.</p>Formula:C31H54N4O13SPurezza:Min. 95%Peso molecolare:722.85 g/molMaltoheptaose tricosaacetate
CAS:<p>CO2-philic compound; used in pharmaceuticals and CO2-based processes</p>Formula:C88H118O59Purezza:Min. 95%Colore e forma:PowderPeso molecolare:2,119.92 g/mol4-O-(β-D-Mannopyranosyl)-D-glucose
CAS:<p>4-O-(b-D-Mannopyranosyl)-D-glucose is a metabolite of D-mannose. It is a bacterial metabolite produced by Streptococcus pneumoniae that has been shown to inhibit the growth of bacteria by binding to the 50S ribosomal subunit. 4-O-(b-D-Mannopyranosyl)-D-glucose inhibits bacterial growth by binding to DNA dependent RNA polymerase, thereby preventing transcription and replication. The high frequency of human activity has been shown using a patch clamp technique on human erythrocytes. This active form is metabolized through a number of metabolic transformations, including hydrolysis by esterases or glucuronidases, oxidation by cytochrome P450 enzymes, reduction by glutathione reductase, or conjugation with glucuronic acid. Rifapentine also specifically binds to markers expressed at high levels in Mycobacter</p>Formula:C12H22O11Purezza:Min. 98 Area-%Colore e forma:PowderPeso molecolare:342.3 g/molChitotetraose tetrahydrochloride
CAS:<p>Tetraose composed of four glucosamine residues</p>Formula:C24H46N4O17•(HCl)4Purezza:Min. 95%Colore e forma:White PowderPeso molecolare:808.48 g/molGlobopentaose
CAS:<p>Carbohydrate moiety of globopentaosylceramide</p>Formula:C32H55NO26Purezza:Min. 95%Colore e forma:White PowderPeso molecolare:869.77 g/molN-Acetylneuraminic acid-OVA
<p>N-Acetylneuraminic acid-OVA refers to ovalbumin that has been conjugated with N-acetylneuraminic acid (Neu5Ac), a type of sialic acid. Sialic acids are important components of glycan structures and play various roles in biological processes, such as cell-cell interactions, immune response, and pathogen recognition. Conjugation of ovalbumin with N-acetylneuraminic acid can be used as a tool to study sialic acid-mediated biological phenomena or as an immunogen to elicit a specific immune response.</p>Colore e forma:PowderDisialyllactose sodium
CAS:<p>Disialylated tetrasaccharide naturally present in human breast milk that has been identified as one of the binding sites of the C fragment of the clostridial tetanus toxin.</p>Formula:C34H54N2O27Na2Purezza:Min. 90 Area-%Colore e forma:White PowderPeso molecolare:968.77 g/mol4-Methoxyphenyl 4-O-(3,6-di-O-benzyl-2-deoxy-4-O-levulinoyl-2-phthalimido-b-D-glucopyranosyl)-3-O-benzyl-2-deoxy-6-O-(4-methoxybenzy l)-2-phthalimido-b-D-glucopyranoside
<p>4-Methoxyphenyl 4-O-(3,6-di-O-benzyl-2-deoxy-4-O-levulinoyl-2-phthalimido-b-D-glucopyranosyl)-3-O-(4 methoxybenzyl)-2 deoxy 6 - O-(4 methoxybenzyl) - 2 phthalimido b D glucopyranoside is a complex carbohydrate that can be custom synthesized. It has been fluorinated. The modification of methyl groups on the saccharide moiety and its glycosylation make it a highly purified carbohydrate. This product has CAS No. 71181, Click modification, and Modification.</p>Formula:C69H66N2O17Purezza:Min. 95%Peso molecolare:1,195.27 g/mol2,3,6,2',3',4',6'-Hepta-O-acetyl-a-D-maltosyl bromide
CAS:<p>2,3,6,2',3',4',6'-Hepta-O-acetyl-a-D-maltosyl bromide is a fatty acid that is isolated from the fungus Penicillium notatum. It has been shown to have anti-cancer properties by inhibiting cell proliferation and inducing cancer cell death by apoptosis. The mechanism of action has been shown to be due to its ability to inhibit the phospholipid membrane synthesis and disrupt the interaction between lipids and proteins in the membrane. This compound also inhibits the growth of cancer cells by binding with the hydroxyl group on the surface of cancer cells. 2,3,6,2',3',4',6'-Hepta-O-acetyl-a-D-maltosyl bromide has been shown to inhibit muscle cell proliferation in vitro and in vivo. This drug can be used as an alternative for treatment for cancer or other diseases that are caused by muscle</p>Formula:C26H35BrO17Purezza:Min. 95 Area-%Colore e forma:White PowderPeso molecolare:699.45 g/molHyaluronic acid potassium salt - from Cockscomb
CAS:<p>Hyaluronic acid is a glycosaminoglycan found in many organs where it functions as a joint lubricant and shock absorber (Collins, 2006). It is obtained principally from synovial fluid, vitreous humor of the eye, umbilical tissue and cockscomb. The chemical structure of hyaluronic acid is a disaccharide repeat of β-1,3 glucuronic acid and β-1,4 N-acetyl glucosamine (Casu, 1990). Hyaluronic acid is a common ingredient in skin care products and is used as a dermal filler in cosmetic surgery.</p>Formula:(C14H20KNO11)nColore e forma:White PowderD-Cellobiose octaacetate
CAS:<p>Fully acetylated cellohexoses, part of a polymer homologous series of oligosaccharides isolated from cellulose by acetolysis followed by chromatography.</p>Formula:C28H38O19Purezza:Min. 98 Area-%Colore e forma:White PowderPeso molecolare:678.59 g/mol3'-Sialyl Lewis X 16-sp - biotin
<p>3'-Sialyl Lewis X 16-sp - biotin is a modified oligosaccharide that is synthesized by the addition of a sialic acid residue to the terminal position of the carbohydrate. This product has a CAS number and can be custom synthesized to meet specific customer requirements. 3'-Sialyl Lewis X 16-sp - biotin is an important glycosylation site for many proteins, including CD45 and CD47, which are present in erythrocytes and leukocytes respectively. It is also used as an important substrate for methylation reactions due to its susceptibility to S-adenosyl methionine. 3'-Sialyl Lewis X 16-sp - biotin is soluble in water and has a high purity. The structure of this oligosaccharide includes a complex carbohydrate composed of mono-, di-, tri-, tetra-, penta-, hexa-, hepta-, octa-, nona-, deca-sac</p>Formula:C56H95N7O26SPurezza:Min. 95%Colore e forma:White PowderPeso molecolare:1,314.45 g/mol6-O-(a-D-[6,6'-2H2]Glucopyranosyl)-D-glucopyranose
Prodotto controllato<p>6-O-(a-D-[6,6'-2H2]Glucopyranosyl)-D-glucopyranose is a synthetic glycosylation product of 6,6'-dihydroxy-[1,1'-biphenyl]-2H-glycine and D-glucose. The compound is used for the synthesis of oligosaccharides and complex carbohydrates. This product is custom synthesized to meet specific needs and can be modified with methyl groups and fluorination. It has a high purity (≥98%) and CAS number.</p>Formula:C12H20O11D2Purezza:Min. 95%Peso molecolare:344.31 g/molChitotriose trihydrochloride
CAS:<p>Chitotriose trihydrochloride is a modification of chitin, an oligosaccharide. Chitotriose trihydrochloride is a synthetic carbohydrate which is used as a raw material for the production of fibers, films, and adhesives. It can be used in the synthesis of complex carbohydrates such as starch and glycogen. Chitotriose trihydrochloride is a high purity carbohydrate with CAS No. 41708-93-4 that can be used to produce glycosylated proteins or polysaccharides.</p>Formula:C18H35N3O13·3HClPurezza:Min. 95 Area-%Colore e forma:PowderPeso molecolare:610.87 g/molMethyl 3-O-(2,3,4,6-tetra-O-acetyl-a-D-mannopyranosyl)-a-D-mannopyranoside
CAS:<p>Methyl 3-O-(2,3,4,6-tetra-O-acetyl-a-D-mannopyranosyl)-a-D-mannopyranoside is a synthetic glycosylation product of methyl 3,4,6-triacetate and a mannose. It is an Oligosaccharide with the molecular formula (C12H25O14)n. Methyl 3-O-(2,3,4,6-tetra-O-acetyl-a-D-mannopyranosyl)-a-D -mannopyranoside is a white crystalline powder that can be used in the synthesis of complex carbohydrates. It has been shown to react with fluorine to produce a monofluorinated product and methylated products. This compound can be custom synthesized and modified for specific applications. Methyl 3 - O - ( 2 , 3 , 4 , 6 -</p>Formula:C21H32O15Purezza:Min. 95%Peso molecolare:524.47 g/molSucrose octasulfate triethylammonium salt
CAS:<p>This compound is generally known as sucralfate and is a medication for the treatment of active duodenal ulcers. It is also used for the treatment of gastroesophageal reflux disease (GERD) and stress ulcers. Sucralfate is a sucrose sulfate-aluminium complex that binds to the ulcer, creating a physical barrier that protects the gastrointestinal tract from stomach acid and prevents the degradation of mucus. It also promotes bicarbonate production and acts like an acid buffer with cytoprotective properties.</p>Formula:C12H22O35S8•(C6H15N)xPurezza:Min. 95%Colore e forma:White Off-White PowderPeso molecolare:982.81 g/mol6-Amino-6-deoxy-D-lactosylamine
<p>6-Amino-6-deoxy-D-lactosylamine is a modified sugar that is used to synthesize glycosides. It is also used as a reagent for the methylation of saccharides and polysaccharides. This product can be custom synthesized or ordered from our catalog. We offer high purity 6-amino-6-deoxy-D-lactosylamine, which has been chemically modified with fluorine and has a CAS number of 7092-12-3. It is available in different quantities and can be ordered with other custom modifications, such as Click chemistry.</p>Purezza:Min. 95%Lacto-N-neooctaose
<p>Neutral octasaccharide naturally present in human breast milk</p>Formula:C54H91N3O41Purezza:Min. 90%Colore e forma:PowderPeso molecolare:1,438.3 g/mol4-Methoxyphenyl 4-O-{3-O-[2,4-di-O-(3,4 ,6-tri-O-acetyl-2-deoxy-2-phthalimido-β-D-glucopyranosyl)-3 ,6-di-O-benzyl-β-D-mannopyranosyl]-4 ,6-O-benzylidene-2-O-levulinoyl-β-D-glucopyranosyl}-3 ,6-di-O-benzyl-2-deoxy-2-phthalimido-β-D-glucopyranoside
<p>4-Methoxyphenyl 4-O-{3-O-[2,4-di-O-(3,4,6-tri-O-acetyl-2-deoxy-2-phthalimido -bDglucopyranosyl)-3,6-di-ObenzylbDmannopyranosyl] -4,6-- Obenzylidene--2-- Olevulinoyl-- bDglucopyranosyl} -3,6-- diOBenzyl 2-- deoxy 2-- phthalimido bDglucopyranoside is an oligosaccharide with a sugar backbone. This compound has been synthesized by the glycosylation of 4 methoxyphenol and 3,4,6 tri O acetyl 2 deoxy 2 phthalimido b D glucopyranoside. The glycosidic bond was formed between C 1</p>Formula:C113H113N3O38Purezza:Min. 95%Peso molecolare:2,121.1 g/molChitobiose dihydrochloride
CAS:<p>Chitobiose is a dimer formed by beta-1,4-linked glucosamine units.<br>It is also the repeated dimer of chitin, a polysaccharide.</p>Formula:C12H24N2O9·2HClPurezza:Min. 98 Area-%Colore e forma:White PowderPeso molecolare:413.25 g/molN-Acetylneuraminyl-(a2-3)-D-galactopyranosyl-(b1-3)-[N-acetylneuraminyl-(a2-6)]-D-N-acetylgalactosamine
<p>N-Acetylneuraminyl-(a2-3)-D-galactopyranosyl-(b1-3)-[N-acetylneuraminyl-(a2-6)]-D-N-acetylgalactosamine is a synthetic modified N-acetyllactosamine. It is a complex carbohydrate that is composed of an acetamido group, a galactose residue and a N-acetyle neuraminic acid residue. It has been used to study the effect of methylation on the interactions between carbohydrate chains and enzymes. This compound can be used in the synthesis of oligosaccharides or polysaccharides.</p>Purezza:Min. 95%2-O-(β-D-Galactopyranosyl)-D-glucose
CAS:<p>2-O-(β-D-galactopyranosyl)-D-glucose is a sugar that can be custom synthesized to meet your needs. It is an oligosaccharide, polysaccharide, and carbohydrate that has been modified with methylation, glycosylation, and carbonylation. This product is available in high purity and fluorination.</p>Formula:C12H22O11Purezza:Min. 95%Colore e forma:PowderPeso molecolare:342.3 g/mol3a,4b,3a-Galactotetraose
CAS:<p>The acetolysis of carrageenan produces a polymer homologous series of oligosaccharides, [Gal α1,3 Gal, Gal β1,4 Gal], [Gal α1,3 Gal β1,4 Gal, Gal β14, Gal α1,3 Gal], [Gal α1,3 Gal β1,4 Gal α1,3 Gal, Gal β1,4Gal α1,3Gal β1,4Gal] etc. (Lawson, 1968). This is significant as it provides an entry to the α-gal series or Galili antigens due to the fact that the disaccharide Galα1,3 Gal can be isolated in quantity. The distribution of the full α-gal epitope (Galα1-3Galβ1-4GlcNAc-R) is unique in mammals, being abundantly expressed on glycoconjugates of non-primate mammals, prosimians and New World monkeys. In contrast, the α-gal epitope is not expressed on glycoconjugates of Old World monkeys, apes and humans; instead, they produce the natural anti-Gal antibody that specifically binds the α-epitope. Anti-Gal mediates the rejection of pig xenograft organs in humans and monkeys by binding α-gal epitopes on the pig cells, inducing complement mediated destruction and antibody dependent cell mediated destruction. This barrier to xenotransplantation has been eliminated by producing α1,3 glycosyltransferase to knockout pigs. Since anti-Gal is ubiquitous in humans, the α-gal epitope has clinical potential in the production of vaccines expressing α-epitopes that can be targeted to antigen presenting cells (APC), thereby increasing the immunogenicity of viral and other microbial vaccines (Macher, 2008).</p>Formula:C24H42O21Purezza:Min. 95 Area-%Colore e forma:White Off-White PowderPeso molecolare:666.58 g/molLewis X-PAA-biotin
<p>PAA is poly[N-(2-hydroxyethyl)acrylamide], flexible polymer chain serves as an additional spacer. Mr approx. 30 kDa (according to gel-filtration, proteins as Mr markers). Carbohydrate content is 20% mol.</p>Purezza:Min. 95%Colore e forma:White PowderPeso molecolare:586.6 g/mol6'-a-Sialyl-N-acetyllactosamine sodium salt
CAS:<p>Sialylated trisaccharide found in human urine</p>Formula:C25H41N2NaO19Purezza:Min. 95%Colore e forma:PowderPeso molecolare:696.6 g/mol1,6-Anhydro-β-D-cellotriose
CAS:<p>Produced by the fast pyrolysis of cellulose</p>Formula:C18H30O15Purezza:Min. 95%Colore e forma:PowderPeso molecolare:486.42 g/mol3-O-(a-D-Galactopyranosyl)-D-glucopyranose
CAS:<p>3-O-(a-D-Galactopyranosyl)-D-glucopyranose is a custom synthesis that can be fluorinated, methylated, and modified with click chemistry. 3-O-(a-D-Galactopyranosyl)-D-glucopyranose is a sugar that can be used in the synthesis of oligosaccharide or polysaccharide. It also has saccharide binding properties. 3-O-(a-D-Galactopyranosyl)-D-glucopyranose is soluble in water and does not react with strong acids such as HCl.</p>Formula:C12H22O11Purezza:Min. 95%Colore e forma:PowderPeso molecolare:342.3 g/molLaminaritetraose
CAS:<p>Ex algal/bacterial polysaccharides-value in b1-3 glucanase assays & diagnostics</p>Formula:C24H42O21Purezza:Min. 95 Area-%Colore e forma:White PowderPeso molecolare:666.6 g/molChondroitin disaccharide δdi-6S
CAS:<p>Produced from various chondroitin sulfates by the action of chondroitinases ABC, AC-1 and C.</p>Formula:C14H19NNa2O14SPurezza:Min. 98 Area-%Colore e forma:PowderPeso molecolare:503.34 g/mol1,2,3,6,2',3',6'-Hepta-O-acetyl-4'-O-(2,3,4,6-tetra-O-acetyl-a-D-galactopyranosyl)-b-D-lactopyranoside
<p>1,2,3,6,2',3',6'-Hepta-O-acetyl-4'-O-(2,3,4,6-tetra-O-acetyl-a-D-galactopyranosyl)-b-D-lactopyranoside is a custom synthesis of a complex carbohydrate. It is an Oligosaccharide and a Polysaccharide. 1,2,3,6,2',3',6'-Hepta-O-acetyl-4'-O-(2,3,4,6-tetra-O-acetyl-a-D-galactopyranosyl)-b -D -lactopyranoside has CAS No. and a Methylation and Glycosylation modification. This product is Modification and saccharide with High purity and Fluorination. 1,2,3,6,2',3',</p>Purezza:Min. 95%4-O-(2-Acetamido-2-deoxy-D-[UL-13C6]glucopyranosyl)-D-ribitol
<p>4-O-(2-Acetamido-2-deoxy-[UL-13C6]glucopyranosyl)-D-ribitol is a custom synthesis of an oligosaccharide, monosaccharide, and polysaccharide. It is a high purity and CAS No. custom synthesis with a high degree of modification. This product has been synthesized by methylation and glycosylation for use in the study of the structure and function of complex carbohydrates. The fluorination was done to the saccharide to give it the desired properties for use in various applications.</p>Formula:C713C6H25NO10Purezza:Min. 95%Peso molecolare:361.29 g/molTetra-mannuronic acid sodium
<p>Tetra-mannuronic acid sodium salt (β-1,4-linked sodium mannuronotetraose) is one of a number of oligosaccharides obtained from alginate which is a polysaccharide in brown seaweeds containing: blocks of repeating mannuronic acid sequences (M-M-M-M etc), repeating guluronic acid sequences (G-G-G-G etc), and alternating M-G-M-G sequences. Oligosaccharides can be released using several methods (Lua, 2015; Yanga, 2004) and claims have been published that mannuronic acid oligosaccharides for example, can be effective in the prophylaxis and treatment of Alzheimer's disease, or for the prophylaxis and treatment of diabetes (USP 8835403B2, 2014).</p>Formula:C24H30O25Na4Purezza:Min. 97 Area-%Colore e forma:Off-White PowderPeso molecolare:810.44 g/mol3'-Sialyl Lewis X
CAS:<p>Please enquire for more information about 3'-Sialyl Lewis X including the price, delivery time and more detailed product information at the technical inquiry form on this page</p>Formula:C31H52N2O23Purezza:Min. 95%Colore e forma:PowderPeso molecolare:820.75 g/molMethyl 3,6-di-O-(a-D-mannopyranosyl)-b-D-mannopyranoside
<p>Methyl 3,6-di-O-(a-D-mannopyranosyl)-b-D-mannopyranoside is a glycosylation product of the sugar, mannose. It can be used in the synthesis of oligosaccharides and polysaccharides with modifications such as fluorination and methylation. Methyl 3,6-di-O-(a-D-mannopyranosyl)-b-D-mannopyranoside is also known by its CAS number, which is 57424-92-5.</p>Formula:C19H34O16Purezza:Min. 95%Peso molecolare:518.46 g/mol3-Galactosyl-N-acetyl-D-lactosamine
<p>3-Galactosyl-N-acetyl-D-lactosamine is a custom synthesis of an oligosaccharide. The complex carbohydrate is composed of a saccharide and its modification. 3-Galactosyl-N-acetyl-D-lactosamine is a polysaccharide that contains saccharides with methylation, glycosylation, and click modification. The carbohydrate has high purity and is fluorinated. It has been synthesized using the Click chemistry method to modify the saccharides in the glycan.</p>Purezza:Min. 95%Methoxyphenyl 3-O-(3-O-allyl-2,4,6-tri-O-benzyl-b-D-galactopyranosyl)-6-O-benzyl-2-deoxy-2-N-phthalamido-b-D-glucopyranoside
<p>Methoxyphenyl 3-O-(3-O-allyl-2,4,6-tri-O-benzyl-β-D-galactopyranosyl)-6-O-benzyl-2,-deoxy, 2N-(phthalamido)-bDglucopyranoside is a fluorinated monosaccharide that is synthesized from the corresponding benzaldehyde and propargylic alcohol. The glycosidic bond is formed by an O-(3'-O allyl) β - D - galactopyranosyl group. The methylene bridge in the molecule can be modified with a click chemistry reaction to react with a thiol group on a protein. This modification allows for the site specific incorporation of the sugar into proteins.</p>Formula:C58H59NO13Purezza:Min. 95%Peso molecolare:978.09 g/mol4-Methoxyphenyl 2-acetamido-3,6-di-O-benzyl-4-O-{2,4-di-O-acetyl-3-O-[3,6-di-O-benzyl-2,4-di-O-(3,4,6-tri-O-acetyl-2-acetamido-2-deo xy-b-D-glucopyranosyl)-a-D-mannopyranosyl]-6-O-[3,4-di-O-acetyl-2,6-di-O-(3,4,6-tri-O-acetyl-2-acetamido-2-deoxy-b-D-g
<p>4-Methoxyphenyl 2-acetamido-3,6-di-O-benzyl-4-O-[2,4-di-O-(3,6-di-O-(3,4,6-tri-O-(2,4,6,-triacetyl)-bDglucopyranosyl)-aDmannopyranosyl]-6-[2,4,-diO-(3,6,-diO-(3,4,-triacetyl)-bDgluco pyranosyl)aDmannopyranosyl]-aDmannopyranoside is a complex carbohydrate that belongs to the polysaccharides. The CAS number for this compound is 5243968. This compound has been modified by methylation and glycosylation. It is a sugar with high purity and fluorination. This compound has been synthesized by the click modification of a carbohydrate.</p>Formula:C125H159N5O58Purezza:Min. 95%Peso molecolare:2,659.6 g/mol2-O-Acetamido-1,6-di-O-acetyl-2-deoxy-4-O-(2-acetamido-3,4,6-tri-O-acetyl-2-deoxy-D-glucopyranosyl)muramic acid
<p>2-O-Acetamido-1,6-di-O-acetyl-2-deoxy-4-O-(2-acetamido-3,4,6-tri-O-acetyl)muramic acid is a synthetic oligosaccharide. This compound is used in research for the synthesis of glycosylides and glycosidase inhibitors. It can be modified to include fluorine atoms and click chemistry modifications. 2OAAmDDA is soluble in DMSO and acetone. It has a CAS number of 4891465.</p>Formula:C29H42N2O18Purezza:Min. 90 Area-%Colore e forma:PowderPeso molecolare:706.65 g/mol4-O-(α-D-Mannopyranosyl)-D-mannose
CAS:<p>Isolated from partial acetolysate of ivory-nut (Phytelephas macrocarpa) mannan</p>Formula:C12H22O11Purezza:Min. 95 Area-%Colore e forma:PowderPeso molecolare:342.3 g/molNigerose
CAS:<p>Nigerose is a chemical compound that belongs to the group of oligosaccharides. It is a glycan with a basic structure and has inhibitory properties. Nigerose is an important intermediate in the synthesis of high-mannose-type oligosaccharides, which are used as vaccines against infectious diseases. Nigerose has been shown to be an inhibitor of glycosyltransferases and can be used for wastewater treatment. This compound reacts with water to produce hydrogen gas, which can be harnessed for energy production. Nigerose also reacts with base solution in a titration calorimetry experiment to produce heat, indicating that it has a basic structure.</p>Formula:C12H22O11Purezza:Min. 93 Area-%Colore e forma:White PowderPeso molecolare:342.3 g/molBenzyl hepta-O-acetyl-b-D-lactoside
CAS:<p>Useful starting point and intermediate in the synthesis of lacto-oligosaccharides</p>Formula:C33H42O18Purezza:Min. 95%Colore e forma:White to off-white solid.Peso molecolare:726.69 g/mol4-Methoxyphenyl 2,4,6-tri-O-(3,4,6-tri-O-benzyl-2-deoxy-2-phthalimido-β-D-glucopyranosyl)-3-O-benzyl-α-D-mannopyranoside
<p>4-Methoxyphenyl 2,4,6-tri-O-(3,4,6-tri-O-benzyl-2-deoxy-2-phthalimido-b-D-glucopyranosyl)-3-O-(benzyl)aDmannopyranoside is a custom synthesis of an oligosaccharide. It is an acetal derivative of 4methoxyphenyl 2,4,6tri O-(3,4,6tri Obenzyl 2deoxy2 phthalimido b D glucopyranosyl) 3 O (benzyl) ad mannopyranoside with a methoxymethyl group at the C5 position and a benzyl ether moiety at the C6 position. The molecule contains a methylated sugar as well as fluorine modification on the ring oxygen atom. This molecule has a high purity and is offered in both monos</p>Formula:C125H117N3O25Purezza:Min. 95%Peso molecolare:2,061.27 g/molHeparin derived dp4 saccharide ammonium
CAS:<p>Heparin is a linear sulphated polysaccharide comprising contiguous disaccharide units of a uronic acid and a derivative of 2-amino-2-deoxy-D-glucose. The heparin tetrasaccharide can be obtained from the degradation of heparin with the lyase enzymes isolated from Flavobacterium heparinum, which yields oligosaccharides terminated at the non-reducing end by the unsaturated unit, 4-deoxy-α-L-threo-hex-4-enopyranosyl uronic acid or its 2-0-sulphated derivative. The major product following lyase degradation is the trisulphated derivative DUA-2S + GlcNS-6S (unsaturated disaccharide). Other oligosaccharides such as the tetrasaccharide, illustrated below, can be produced by the lytic degradation of heparin (Moffat, 1991).</p>Formula:C24H40N2O39S6•(NH3)xPurezza:Of Main Disaccharide Unit Approx. 75%Colore e forma:PowderPeso molecolare:Av 1200Blood Group B type III/IV linear trisaccharide
<p>The blood group B type III/IV linear trisaccharide is a synthetic oligosaccharide. The methylation of the saccharide and click modification of the polysaccharide molecule allow for fast, efficient synthesis. This product has been custom synthesized to be free of impurities, high in purity, and available in glycosylation form. It can be modified with fluorination or other modifications to meet your needs.</p>Formula:C20H35NO16Purezza:Min. 95%Peso molecolare:545.49 g/mol5-O-β-D-Glucopyranosyl-D-xylitol
CAS:<p>5-O-β-D-Glucopyranosyl-D-xylitol is a disaccharide that is synthesized for use in research.</p>Formula:C11H22O10Purezza:Min. 95%Colore e forma:PowderPeso molecolare:314.29 g/mol4-Methoxyphenyl 4-O-(3,6-di-O-benzyl-2-deoxy-2-phthalimido-β-D-glucopyranosyl)-3-O-benzyl-6-O-(2,3,4-tri-O-benzyl-α-L-fucopyranosyl) -2-deoxy-2-phthalimido-β-D-glucopyranoside
<p>4-Methoxyphenyl 4-O-(3,6-di-O-benzyl-2-deoxy-2-phthalimido-b-D-glucopyranosyl)-3-O-benzyl-6-O-(2,3,4,triO -benzyl--aLfucopyranosyl) -2 deoxy 2 phthalimido b D glucopyranoside is a complex carbohydrate with a molecular weight of 1807. It has been synthesized by the methylation of 4 methoxyphenol and 3 benzaldehyde followed by the click modification of a glycoside. The CAS No. is 123624–72–0. This product has been made in order to be used as an intermediate for the synthesis of oligosaccharides and polysaccharides. The purity level is high and the modification is customized according to customer requirements. This product contains sacchar</p>Formula:C83H80N2O18Purezza:Min. 95%Peso molecolare:1,393.53 g/molGlobo-H BSA conjugate
<p>Useful for study of immune response in cancer vaccine development</p>Colore e forma:PowderPeso molecolare:1539.56GD3-Ganglioside ammonium
CAS:<p>GD3 ganglioside (shown as sodium salt) has a core disaccharide structure (Gal-1,4-Glc) with two sialic acids linked to the non-reducing galactose residue, and ceramide linked to position 1 on the reducing terminal glucose residue (Ledeen, 2009). GD3 ganglioside is a minor ganglioside in most normal tissues but plays a crucial role in the development of the brain; its presence is significantly reduced in adults. However, expression of GD3 ganglioside is increased in pathological conditions, such as, cancers and neurodegenerative disorders (Malisan, 2002). GD3 ganglioside was the first cancer-associated ganglioside discovered, that promotes adhesion and invasion of cancers. GD3 ganglioside and GD2 ganglioside are highly expressed in a various malignant cancers and have become potential targets for next-generation cancer therapy (Liu, 2018).</p>Formula:C70H125N3O29·xNH4Purezza:Min. 95%Colore e forma:Powder2-Acetamido-3-O-(2,3,4,6-tetra-O-acetyl-b-D-galactopyranosyl)-4,6-di-O-acetyl-2-deoxy-a-D-galactopyranosyl-Fmoc-L-threonine tert-but yl ester
<p>2-Acetamido-3-O-(2,3,4,6-tetra-O-acetyl-b-D-galactopyranosyl)-4,6-di-O-acetyl-2,6 -deoxy--a-,D-,galactopyranosyl--Fmoc--L--threonine tert--but yl ester is a synthetic carbohydrate that contains 2 acetamido groups and 3 O-(2,3,4,6 tetra O acetyl b D galactopyranosyl) groups. The chemical name for this compound is 2 Acetamido 3 O (2 3 4 6 tetra O acetyl b D galactopyranosyl) 4 6 di O acetyl 2 deoxy a D galactopyranosyl Fmoc L threonine tert but yl ester. It has been synthesized by the Click modification reaction of an oligos</p>Formula:C49H62N2O21Purezza:Min. 95%Peso molecolare:1,015.02 g/molO-(2,2',3,3',4',6,6'-Hepta-O-acetyl-b-D-lactosyl)-N-hydroxysuccinimide
<p>O-(2,2',3,3',4',6,6'-Hepta-O-acetyl-b-D-lactosyl)-N-hydroxysuccinimide is a modified oligosaccharide that is synthesized by the reaction of an acetylated succinimide with a glycosylase. This product is used as a chemical intermediate in the production of saccharides and polysaccharides. It can be used for fluorination reactions to produce fluorinated saccharides.</p>Formula:C30H39NO20Purezza:Min. 95%Peso molecolare:733.64 g/molHuman milk neutral penta- to -hexasaccharides
<p>This mixture contains some of the penta- and hexasaccharides in human milk.</p>Purezza:Min. 95%Colore e forma:PowderMaltooctaose
CAS:<p>α 1,4-glucooctasaccharide derived from starch by hydrolysis and chromatography</p>Formula:C48H82O41Purezza:Min. 80 Area-%Colore e forma:White PowderPeso molecolare:1,315.16 g/molGalNAc-b-1-4-Gal-b-1-4-Glc-b-ethylazide
<p>GalNAc-b-1-4-Gal-b-1-4-Glc-b-ethylazide is a custom synthesis, modification, and fluorination of a monosaccharide. It is a polysaccharide that has been synthesized using the click chemistry modification. The CAS number for GalNAc-b-1-4-Gal-b-1-4-Glc-b is 203359. GalNAc is an oligosaccharide that contains one or more sugars linked together by glycosyl bonds. This carbohydrate is made up of galactose and N acetylgalactosamine as its two monomers. The complex carbohydrate can be found in natural sources such as milk, egg white, and soybeans.</p>Purezza:Min. 95%6-Deoxy-6-fluoro-D-lactose
<p>Used for studies of the D-lactose pathway by non-invasive techniques using ¹â¹F-NMR spectroscopy or positron emission from the ¹âžF-labeled compound.</p>Formula:C12H21O10FPurezza:Min. 95%Colore e forma:PowderPeso molecolare:344.29 g/mola,a-D-Trehalose dihydrate
CAS:<p>Please enquire for more information about a,a-D-Trehalose dihydrate including the price, delivery time and more detailed product information at the technical inquiry form on this page</p>Formula:C12H26O13Purezza:Min. 98 Area-%Peso molecolare:378.33 g/mol2-O-b-D-Galactosylsucrose
CAS:<p>2-O-b-D-Galactosylsucrose is a synthetic, fluorinated sugar that has been custom synthesized for your needs. It is a complex carbohydrate that has been modified with methylation and click chemistry. 2-O-b-D-Galactosylsucrose is a monosaccharide, polysaccharide, and saccharide that is soluble in water. It can be used as a research tool for glycobiology and glycosylation, or as an ingredient in industrial applications such as food processing and pharmaceuticals.</p>Formula:C18H32O16Purezza:Min. 95%Colore e forma:PowderPeso molecolare:504.44 g/mol1,3,4,6-Tetra-O-benzyl-2-O-(2,3,4,6-tetra-O-benzyl-a-D-glucopyranosyl)-b-D-galactopyranoside
CAS:<p>Tetra-O-benzyl-2-O-(2,3,4,6-tetra-O-benzyl-a-D-glucopyranosyl)-b-D-galactopyranoside is a polysaccharide that is synthesized by the methylation of 1,3,4,6-tetra-O-benzyl -2,3,4,6 tetra - O - benzyl - a - D - glucopyranoside. It can be used to modify proteins and oligosaccharides. This product is custom synthesized and has high purity.</p>Formula:C68H70O11Purezza:Min. 95%Peso molecolare:1,063.28 g/molSucrose distearate - 30% monostearate
CAS:<p>The ‘tallowate’ esters are probably the best known derivatives of sucrose and many attempts have been made to commercialise them in order to exploit their excellent surfactant functionalities. The most functional products are the mono- and diesters of the tallow acids (stearic, palmitic, oleic) with hydrophile-lipophile balance (HLB) values that lend themselves to surfactant applications in foods and cosmetics. They also have other uses, for example in coating fruits with a semipermeable membrane that acts as a preservative. Manufacturing economics have prevented these products from mass production and they remain in niche applications.</p>Formula:C48H90O13Purezza:Min. 95%Colore e forma:PowderPeso molecolare:875.24 g/mol1,4-β-D-Xylotriitol
CAS:<p>1,4-B-D-Xylotriitol is a synthetic carbohydrate that has been modified with fluorine. The use of the methylation reaction enables the synthesis of oligosaccharides with up to six glucose units. This product is available in high purity and can be custom synthesized to meet specific needs. 1,4-B-D-Xylotriitol is used for glycosylation reactions and may be useful for modifying carbohydrates and saccharides.</p>Formula:C15H28O13Purezza:Min. 95%Peso molecolare:416.38 g/mol
