CAS 107-40-4
:2,4,4-Trimethyl-2-pentene
Description:
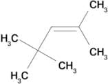
2,4,4-Trimethyl-2-pentene is an organic compound classified as an alkene, characterized by its double bond between carbon atoms. It has a branched structure, which contributes to its unique physical and chemical properties. This compound is typically a colorless liquid at room temperature and possesses a distinct odor. Its molecular formula is C8H16, indicating it contains eight carbon atoms and sixteen hydrogen atoms. The presence of the double bond makes it more reactive than saturated hydrocarbons, allowing it to participate in various chemical reactions, such as addition reactions. 2,4,4-Trimethyl-2-pentene is used in organic synthesis and as an intermediate in the production of other chemicals. It is important to handle this compound with care, as it may pose health risks if inhaled or ingested. Additionally, it is flammable, necessitating proper storage and handling procedures to minimize hazards. Overall, 2,4,4-trimethyl-2-pentene is a significant compound in organic chemistry with various applications in industrial processes.
Formula:C8H16
InChI:InChI=1S/C8H16/c1-7(2)6-8(3,4)5/h6H,1-5H3
InChI key:InChIKey=LAAVYEUJEMRIGF-UHFFFAOYSA-N
SMILES:C(C(C)(C)C)=C(C)C
Synonyms:- 2,2,4-Trimethyl-3-pentene
- 2,4,4-Trimethylpent-2-Ene
- 2-Pentene, 2,4,4-trimethyl-
- Propene, 1-tert-butyl-2-methyl-
- beta-Diisobutylene
- 2,4,4-Trimethyl-2-pentene
Sort by
Purity (%)
0
100
|
0
|
50
|
90
|
95
|
100
Found 5 products.
2,4,4-Trimethyl-2-pentene
CAS:Formula:C8H16Purity:>97.0%(GC)Color and Shape:Colorless to Almost colorless clear liquidMolecular weight:112.222,4,4-Trimethyl-2-pentene, 97%
CAS:2,4,4-Trimethyl-2-pentene was used to study the kinetics of liquid-phase hydrogenation of isooctenes on Pd/-Al2O3 catalyst in semibatch reactor. It was used in the analysis of butene oligomerate produced over solid and liquid phosphoric acid by GC-MS techniques. This Thermo Scientific Chemicals branFormula:C8H16Purity:97%Color and Shape:Clear colorless, LiquidMolecular weight:112.22ASTM Method D5441 Quantitative Standard without 3,5-Dimethyl-1-hexene in Dodecane (C12)
CAS:Controlled Product- 107-39-1
- 107-40-4
- 107-83-5
- 109-66-0
- 109-67-1
- 123-48-8
- 141-70-8
- 142-29-0
- 1634-04-4
- 39761-57-4
- 513-35-9
- 563-45-1
- 563-46-2
- 563-78-0
- 565-77-5
- 627-20-3
- 637-92-3
- 646-04-8
- 67-56-1
- 67-63-0
- 67-64-1
- 6795-87-5
- 691-38-3
- 75-65-0
- 78-78-4
- 78-93-3
- 96-14-0
- 994-05-8
Formula:C5H10Color and Shape:ColourlessMolecular weight:70.13




