CAS 108321-42-2
:Geneticin sulfate
Description:
Geneticin sulfate, also known as G418, is an aminoglycoside antibiotic that is primarily used in molecular biology for the selection of genetically modified cells. It is effective against a wide range of bacteria and is particularly known for its ability to inhibit protein synthesis by binding to the 30S ribosomal subunit. This compound is often utilized in cell culture to select for cells that have been transfected with plasmids containing a genetic marker for resistance to Geneticin. The sulfate form enhances its solubility in aqueous solutions, making it suitable for laboratory applications. Geneticin is typically used at concentrations that vary depending on the cell type and experimental conditions. It is important to handle Geneticin sulfate with care, as it can be toxic to non-resistant cells. Additionally, due to its antibiotic properties, it is crucial to consider potential effects on microbial flora in experimental setups. Overall, Geneticin sulfate is a valuable tool in genetic engineering and cell biology research.
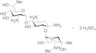
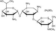
Formula:C20H40N4O10·2H2O4S
InChI:InChI=1S/C20H40N4O10.H2O4S/c1-6(25)14-11(27)10(26)9(23)18(32-14)33-15-7(21)4-8(22)16(12(15)28)34-19-13(29)17(24-3)20(2,30)5-31-19;1-5(2,3)4/h6-19,24-30H,4-5,21-23H2,1-3H3;(H2,1,2,3,4)/t6-,7+,8-,9-,10-,11+,12+,13-,14-,15-,16+,17-,18-,19-,20+;/m1./s1
InChI key:InChIKey=QNQZPJLBGRQFDD-ZMSORURPSA-N
SMILES:O([C@@H]1[C@@H](O)[C@H](O[C@H]2O[C@]([C@@H](C)O)([C@@H](O)[C@H](O)[C@H]2N)[H])[C@@H](N)C[C@H]1N)[C@@H]3[C@H](O)[C@@H](NC)[C@@](C)(O)CO3.S(=O)(=O)(O)O
Synonyms:- (2R,3S,4R,5R,6S)-5-amino-6-[(1S,2R,4S,6R)-4,6-diamino-3-[(3R,4R,5R)-3,5-dihydroxy-5-methyl-4-methylamino-tetrahydropyran-2-yl]oxy-2-hydroxy-cyclohexoxy]-2-(1-hydroxyethyl)tetrahydropyran-3,4-diol
- <span class="text-smallcaps">D</smallcap>-Streptamine, O-2-amino-2,7-dideoxy-<smallcap>D</smallcap>-glycero-α-<smallcap>D</smallcap>-gluco-heptopyranosyl-(1→4)-O-[3-deoxy-4-C-methyl-3-(methylamino)-β-<smallcap>L</span>-arabinopyranosyl-(1→6)]-2-deoxy-, sulfate (1:2)
- <span class="text-smallcaps">D</smallcap>-Streptamine, O-2-amino-2,7-dideoxy-<smallcap>D</smallcap>-glycero-α-<smallcap>D</smallcap>-gluco-heptopyranosyl-(1→4)-O-[3-deoxy-4-C-methyl-3-(methylamino)-β-<smallcap>L</span>-arabinopyranosyl-(1→6)]-2-deoxy-, sulfate (1:2) (salt)
- ANTIBIOTIC G-418 Sulfate
- G-418 Sulfate
- G-418 Sulphate
- G418 Disulfate Cell Culture Tested
- G418 Disulfate Plant Cell Culture Tested
- G418 Solution
- G418 Sulfate
- Geneticin sulfate
- Sulfuric Acid
- D-Streptamine, O-2-amino-2,7-dideoxy-D-glycero-α-D-gluco-heptopyranosyl-(1→4)-O-[3-deoxy-4-C-methyl-3-(methylamino)-β-L-arabinopyranosyl-(1→6)]-2-deoxy-, sulfate (1:2)
- See more synonyms
Sort by
Purity (%)
0
100
|
0
|
50
|
90
|
95
|
100
Found 19 products.
G418 disulfate, Cell Culture Reagent
CAS:G418 disulfate, cell culture reagent, 108321-42-2, is an aminoglycoside antibiotic structurally related to gentamicin B1. Learn more at Thermo Fisher Scientific.Formula:C20H44N4O18S2Color and Shape:White, PowderMolecular weight:692.70G418 disulfate, 50mg/ml solution
CAS:G418 disulfate, 108321-42-2, is an aminoglycoside antibiotic structurally related to gentamicin B1 suitable for cell culture. Learn more at Thermo Fisher Scientific.Formula:C20H44N4O18S2Color and Shape:Clear colorless, LiquidMolecular weight:692.70G 418 Disulfate Salt
CAS:Formula:C20H44N4O18S2Purity:90.0%Color and Shape:SolidMolecular weight:692.7094G-418 Sulphate solution 50mg/ml
CAS:G-418 Sulphate solution 50mg/mlFormula:C20H40N4O10·H2SO4Color and Shape:LiquidMolecular weight:594.63088G-418 Disulphate
CAS:G-418 DisulphateFormula:C20H40N4O10·2H2SO4Purity:99.9%Color and Shape:White Solid-PowderMolecular weight:692.70935G418 disulphate salt, 10% solution in water
CAS:Formula:C20H40N4O10·2H2SO4Color and Shape:Clear, colourless liquidMolecular weight:692.71G-418 disulfate
CAS:G-418 disulfateFormula:C20H40N4O10·2H2O4SPurity:≥98%Color and Shape:LiquidMolecular weight:692.71G418 disulphate salt
CAS:Formula:C20H40N4O10·2H2SO4Purity:≥ 720μg/mgColor and Shape:White to almost white powderMolecular weight:692.71G418 Disulfate
CAS:Formula:C20H40N4O10·2H2SO4Purity:>90.0%(HPLC)(N)Color and Shape:White to Almost white powder to crystalMolecular weight:692.70G-418.Sulfate Solid
CAS:M01801 - G-418.Sulfate Solid
Formula:C20H44N4O18S2Purity:>90.0%(HPLC)(N)Color and Shape:SolidMolecular weight:692.7G-418 disulfate
CAS:G-418 disulfate (Geneticin sulfate) is an aminoglycoside antibiotic, which blocks polypeptide synthesis by inhibiting the elongation step in cells.Formula:C20H40N4O10·2H2O4SPurity:98% - 99.9%Color and Shape:White To Off-White PowderMolecular weight:692.71Geneticin sulfate
CAS:Geneticin is very efficient against gram-negative bacteria, however it is not applied for treating infections due to high renal toxicity. Geneticin and its resistance genes found application in the selection of transgenic cell lines including yeasts such as P. pastoris and S. serevisiae, other eukaryotic cell lines such as CHO or HEK293, but also plant cells and bacterial cells.
Formula:C20H40N4O10·2H2SO4Purity:Min. 98 Area-%Color and Shape:White PowderMolecular weight:692.71 g/molG-418 Sulphate (Geneticin) for tissue culture
CAS:Formula:C20H40N4O10·2H2SO4Color and Shape:White to off-white, Crystalline powder, Clear to slightly hazy, Colourless to pale yellowMolecular weight:692.70G-418 Sulphate (Geneticin) extrapure
CAS:Formula:C20H40N4O10·2H2SO4Color and Shape:White to off-white, Crystalline powder, Clear to slightly hazy, Colourless to pale yellowMolecular weight:692.70G-418.Sulfate, Sterile-Filtered Solution
CAS:M01802 - G-418.Sulfate, Sterile-Filtered Solution
Formula:C20H44N4O18S2Purity:>90.0%(HPLC)(N)Color and Shape:LiquidMolecular weight:692.7Geneticin Disulfate (G418), Antibiotic for Culture Media Use Only
CAS:Geneticin is very efficient against gram-negative bacteria, however it is not applied for treating infections due to high renal toxicity. Geneticin and its resistance genes found application in the selection of transgenic cell lines including yeasts such as P. pastoris and S. serevisiae, other eukaryotic cell lines such as CHO or HEK293, but also plant cells and bacterial cells.Formula:C20H44N4O18S2Purity:Min. 97.0 Area-%Molecular weight:692.71 g/mol












