CAS 120330-93-0
:Jasmonic acid isoleucine conjugate
Description:
Jasmonic acid isoleucine conjugate, with the CAS number 120330-93-0, is a plant-derived compound that plays a significant role in plant signaling and defense mechanisms. It is a conjugate formed from jasmonic acid, a key signaling molecule involved in plant stress responses, and isoleucine, an essential amino acid. This compound is part of the jasmonate signaling pathway, which regulates various physiological processes, including growth, development, and responses to biotic and abiotic stresses. The characteristics of this conjugate include its involvement in the modulation of gene expression related to defense responses, as well as its potential role in mediating interactions between plants and herbivores or pathogens. Jasmonic acid isoleucine conjugate is typically found in various plant tissues and can influence processes such as leaf senescence, flower development, and fruit ripening. Its study is important for understanding plant biology and improving agricultural practices, particularly in enhancing resistance to pests and diseases.
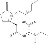
Formula:C18H29NO4
InChI:InChI=1S/C18H29NO4/c1-4-6-7-8-14-13(9-10-15(14)20)11-16(21)19-17(18(22)23)12(3)5-2/h6-7,12-14,17H,4-5,8-11H2,1-3H3,(H,19,21)(H,22,23)/b7-6-/t12-,13+,14+,17-/m0/s1
InChI key:InChIKey=IBZYPBGPOGJMBF-QRHMYKSGSA-N
SMILES:C(C(N[C@@H]([C@H](CC)C)C(O)=O)=O)[C@@H]1[C@@H](C/C=C\CC)C(=O)CC1
Synonyms:- L-Isoleucine, N-[[3-oxo-2-(2-pentenyl)cyclopentyl]acetyl]-, [1R-[1α,2β(Z)]]-
- L-Isoleucine, N-[2-[(1R,2R)-3-oxo-2-(2Z)-2-penten-1-ylcyclopentyl]acetyl]-
- L-Isoleucine, N-[[(1R,2R)-3-oxo-2-(2Z)-2-pentenylcyclopentyl]acetyl]-
- N-[(-)-Jasmonoyl]-(S)-isoleucine
- N-[2-[(1R,2R)-3-Oxo-2-(2Z)-2-penten-1-ylcyclopentyl]acetyl]-L-isoleucine
Sort by
Purity (%)
0
100
|
0
|
50
|
90
|
95
|
100
Found 8 products.
(-)-Jasmonoyl-L-isoleucine
CAS:(-)-Jasmonoyl-L-isoleucine ((-)-JA-L-Ile), an enantiomer of (+)-JA-L-Ile [1], is an inactive endogenous hormone.
Formula:C18H29NO4Color and Shape:SolidMolecular weight:323.43Jasmonic acid-isoleucine conjugate
CAS:Formula:C18H29NO4Purity:>98%Color and Shape:In solution, EthanolMolecular weight:323.43N-Jasmonyl-L-Isoleucine (Mixture of Diastereomers)
CAS:Controlled ProductApplications N-Jasmonyl-L-Isoleucine (Mixture of Diastereomers) is a plant horomone.
References Chen, Y., Chen, Z.: J. Separation Sci., 36, 892 (2013)Formula:C18H29NO4Color and Shape:NeatMolecular weight:323.43Jasmonic acid-isoleucine conjugate
CAS:Please enquire for more information about Jasmonic acid-isoleucine conjugate including the price, delivery time and more detailed product information at the technical inquiry form on this page
Formula:C18H29NO4Purity:Min. 95%Color and Shape:PowderMolecular weight:323.4 g/mol






