CAS 12082-47-2
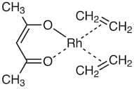
:Bis(η2-ethene)(2,4-pentanedionato-κO,κO′)rhodium
Description:
Bis(η²-ethene)(2,4-pentanedionato-κO,κO′)rhodium, commonly referred to as rhodium(II) bis(ethylene) complex, is a coordination compound featuring rhodium as the central metal ion. This compound is characterized by its coordination with two ethylene ligands, which are bound to the rhodium through π-backbonding, enhancing its stability and reactivity. The 2,4-pentanedione ligands act as bidentate chelators, coordinating to the rhodium through their oxygen atoms, which contributes to the overall stability of the complex. This compound is typically used in organic synthesis and catalysis, particularly in reactions involving olefins. Its unique structure allows for various oxidation states and coordination geometries, making it a versatile catalyst in various chemical transformations. Additionally, the presence of the ethylene ligands can facilitate the activation of small molecules, such as hydrogen, making it useful in hydrogenation reactions. Overall, this rhodium complex is significant in the field of organometallic chemistry and catalysis due to its distinctive properties and reactivity.
Formula:C9H15O2Rh
InChI:InChI=1/C5H8O2.2C2H4.2CH3.Rh/c1-4(6)3-5(2)7;2*1-2;;;/h3,6H,1-2H3;2*1-2H2;2*1H3;/q;;;;;+1/p-1/b4-3-;;;;;/rC7H13O2Rh.2C2H4/c1-6-5-7(2)9-10(3,4)8-6;2*1-2/h5H,1-4H3;2*1-2H2
InChI key:InChIKey=JQAQEAYNENHVHZ-UHFFFAOYSA-N
SMILES:CC1=O[Rh+]23(O=C(C)[CH-]1)([CH2]=[CH2]2)[CH2]=[CH2]3
Synonyms:- (Acetylacetonato)bis(ethylene)rhodium
- (Acetylacetonato)bis(η<sup>2</sup>-ethylene)rhodium
- 2,2,4,6-Tetramethyl-1,3$L3-Dioxa-2$L4-Rhodacyclohexa-3,5-Diene
- 2,4-Pentanedionatobis(ethylene)rhodium
- 2,4-Pentanedionatobis(ethylene)rhodium(I)
- Acetylacetonatobis(ethylene)rhodium(1)
- Bis(ethylene)(2,4-pentanedionato)rhodium
- Bis(ethylene)rhodium(I) acetylacetonate
- Bis(η<sup>2</sup>-ethene)(2,4-pentanedionato-κO,κO′)rhodium
- Bisethylenerhodium acetylacetonate
- Diethenylrhodium acetylacetonate
- Diethylene(acetylacetonato)rhodium
- Ethylene
- Rhodium, (2,4-pentanedionato)bis(ethylene)-
- Rhodium, bis(ethylene)(2,4-pentanedionato)-
- Rhodium, bis(η<sup>2</sup>-ethene)(2,4-pentanedionato-O,O′)-
- Rhodium, bis(η<sup>2</sup>-ethene)(2,4-pentanedionato-κO,κO′)-
- bis(η<sup>2</sup>-ethene)(2,4-pentanedionato-κO,κO′)rhodiumn
- Bis(η2-ethene)(2,4-pentanedionato-κO,κO′)rhodium
- Rhodium, bis(η2-ethene)(2,4-pentanedionato-κO,κO′)-
- Rhodium, bis(η2-ethene)(2,4-pentanedionato-O,O′)-
- bis(eta2-ethylene)(pentane-2,4-dionato-O,O')rhodium
- ACETYLACETONATOBIS(ETHYLENE)RHODIUM(I)
- Acetylacetonatobis(ethylene)rhodium(I),99%
- Acetylacetonatobis-(ethylene)-rhodium dimer
- Acetylacetonatobis(ethylene)rhodiuM(I),98%
- Bis(ethylene)(2,4-pentanedionato)rhodium(I), Rh 39.9% min
- Bis(ethene)(2,4-pentanedionato)rhodium(I)
- Acetylacetonatobis(ethylene)rhodiuM(I), 99% 100MG
- Acetylacetonatobis(e
- See more synonyms
Sort by
Purity (%)
0
100
|
0
|
50
|
90
|
95
|
100
Found 8 products.
Acetylacetonatobis(ethylene)rhodium(I)
CAS:Formula:C9H15O2RhColor and Shape:Light yellow to Brown powder to crystalMolecular weight:258.12Bis(ethylene)(2,4-pentanedionato)rhodium(I), Rh 39.9% min
CAS:It acts as a hydrogenation precursor. It is also used as intermediates which acts as catalyst such as in olefin hydroformylation. This Thermo Scientific Chemicals brand product was originally part of the Alfa Aesar product portfolio. Some documentation and label information may refer to the legacyFormula:C9H15O2RhMolecular weight:258.12Acetylacetonatobis(ethylene)rhodium(I), 98%
CAS:Acetylacetonatobis(ethylene)rhodium(I), 99%
Formula:Rh(C2H4)2(C5H7O2)Purity:98%Color and Shape:yellow to orange xtl.Molecular weight:258.13Acetylacetonatobis(ethylene)rhodium(I)
CAS:Formula:C9H11O2RhPurity:98%Color and Shape:SolidMolecular weight:254.0879Acetylacetonatobis(ethylene)rhodium(I)
CAS:Acetylacetonatobis(ethylene)rhodium(I)Formula:C9H15O2RhPurity:98%Molecular weight:258.12Acetylacetonatobis(ethylene)rhodium(I)
CAS:Controlled ProductApplications Acetylacetonatobis(ethylene)rhodium(I) is a useful research chemical, a catalyst for the preparation and optical resolution of (tetramethyl)spirobiindane-diol and other useful research chemicals.
References Lee, A., et al.: J. Org. Chem., 81, 3520 (2016); Zhou, Q., et al.: Synthesis (2018); Jung, H., et al.: Adv. Synth. Catal., 359, 3160 (2017)Formula:C9H11O2RhColor and Shape:NeatMolecular weight:254.088Acetylacetonatobis(ethylene)rhodium(I)
CAS:Formula:C9H15O2RhPurity:95.0%Color and Shape:SolidMolecular weight:258.123






