CAS 121123-33-9
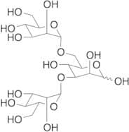
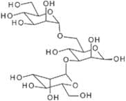
:3,6-di-O-(A-D-mannopyranosyl)-D-*mannopyranose
Description:
3,6-di-O-(α-D-mannopyranosyl)-D-mannopyranose is a disaccharide derivative characterized by the presence of two α-D-mannopyranosyl groups attached to a D-mannopyranose backbone. This compound features glycosidic linkages at the 3 and 6 positions, which influence its solubility, reactivity, and biological properties. The presence of multiple hydroxyl groups contributes to its hydrophilicity, making it soluble in water and potentially involved in various biochemical interactions. This compound may exhibit specific biological activities, including potential prebiotic effects or roles in cell signaling, due to its structural similarity to naturally occurring oligosaccharides. Its molecular structure allows for hydrogen bonding, which can affect its stability and interactions with other biomolecules. As a carbohydrate derivative, it may also be of interest in the fields of glycoscience and medicinal chemistry, particularly in the development of carbohydrate-based therapeutics or as a model for studying carbohydrate-protein interactions.
Formula:C18H32O16
InChI:InChI=1/C18H32O16/c19-1-4-7(21)10(24)12(26)17(32-4)30-3-6-9(23)15(14(28)16(29)31-6)34-18-13(27)11(25)8(22)5(2-20)33-18/h4-29H,1-3H2
SMILES:C(C1C(C(C(C(OCC2C(C(C(C(O)O2)O)OC2C(C(C(C(CO)O2)O)O)O)O)O1)O)O)O)O
Synonyms:- 3,6-Di-O-(a-D-mannopyranosyl)-d-mannopyrannose
- Hexopyranosyl-(1->3)-[Hexopyranosyl-(1->6)]Hexopyranose
Sort by
Purity (%)
0
100
|
0
|
50
|
90
|
95
|
100
Found 5 products.
3,6-Di-O-(α-D-mannopyranosyl)-D-mannopyrannose
CAS:3,6-Di-O-(α-D-mannopyranosyl)-D-mannopyrannoseFormula:C18H32O16Purity:95%Molecular weight:504.443,6-Di-O-(α-D-mannopyranosyl)-D-mannopyrannose
CAS:3,6-Di-O-(α-D-mannopyranosyl)-D-mannopyrannose is a biochemical reagent utilized in glycobiology research. Glycobiology explores the structure, synthesis, biology, and evolution of sugars, involving carbohydrate chemistry, glycan formation and degradation enzymology, protein-glycan recognition, and the roles of glycans in biological systems. This field is closely linked to fundamental research, biomedicine, and biotechnology.Formula:C18H32O16Color and Shape:SolidMolecular weight:504.441,3-α-1,6-α-D-Mannotriose
CAS:Intermediate for synthesis of N-acetyllactosaminic glycans
Formula:C18H32O16Purity:Min. 95 Area-%Color and Shape:White Off-White PowderMolecular weight:504.44 g/mol3,6-Di-O-(α-D-mannopyranosyl)-D-mannopyrannose
CAS:Controlled ProductFormula:C18H32O16Color and Shape:NeatMolecular weight:504.44





