
CAS 141342-92-9
:Sort by
Purity (%)
0
100
|
0
|
50
|
90
|
95
|
100
Found 4 products.
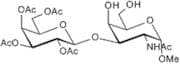
α-D-Galactopyranoside, methyl 2-(acetylamino)-2-deoxy-3-O-(2,3,4,6-tetra-O-acetyl-β-D-galactopyranosyl)-
CAS:Formula:C23H35NO15Molecular weight:565.5217Methyl 2-Acetamido-2-deoxy-O-[α-D-(2,3,4,6-tetraacetyl) galactopyranosyl]-α-D-galactopyranoside
CAS:Controlled ProductFormula:C23H35NO15Color and Shape:NeatMolecular weight:565.52Methyl 2-acetamido-2-deoxy-3-O-(2,3,4,6-tetra-O-acetyl-b-D-galactopyranosyl)-a-D-galactopyranoside
CAS:Methyl 2-acetamido-2-deoxy-3-O-(2,3,4,6-tetra-O-acetyl-b-D-galactopyranosyl)-a-D-galactopyranoside is a modified saccharide with a fluorinated methyl group. It is used as an intermediate for the synthesis of oligosaccharides and complex carbohydrates.Formula:C23H35NO15Purity:Min. 95%Molecular weight:565.52 g/mol



