CAS 1617-70-5
:LUPENONE
Description:
Lupenone, with the CAS number 1617-70-5, is a triterpenoid compound primarily derived from various plant sources, particularly those in the family of the Lamiaceae. It is characterized by its tetracyclic structure, which is typical of many triterpenes, and features a ketone functional group that contributes to its chemical reactivity and biological activity. Lupenone is often recognized for its potential pharmacological properties, including anti-inflammatory, antimicrobial, and anticancer activities, making it of interest in medicinal chemistry and natural product research. The compound is typically found in essential oils and extracts from certain plants, and its presence can be indicative of the plant's therapeutic potential. In terms of physical properties, lupenone is generally a colorless to pale yellow liquid with a characteristic odor, and it is soluble in organic solvents but has limited solubility in water. Its stability and reactivity can be influenced by environmental factors, making it a subject of study in both organic chemistry and pharmacognosy.
Formula:C30H48O
InChI:InChI=1/C30H48O/c1-19(2)20-11-14-27(5)17-18-29(7)21(25(20)27)9-10-23-28(6)15-13-24(31)26(3,4)22(28)12-16-30(23,29)8/h20-23,25H,1,9-18H2,2-8H3
InChI key:InChIKey=GRBHNQFQFHLCHO-BHMAJAPKSA-N
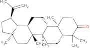
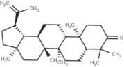
SMILES:C=C(C)C1CCC2(C)CCC3(C)C(CCC4C5(C)CCC(=O)C(C)(C)C5CCC34C)C12
Synonyms:- 18-Lupen-3-One
- 9H-Cyclopenta[a]chrysene, lup-20(29)-en-3-one deriv.
- Lup-20(29)-En-3-One
- Lup-20(30)-en-3-one
- Lupenone(Rg)
- Lupine ketene
- NSC 281807
Sort by
Purity (%)
0
100
|
0
|
50
|
90
|
95
|
100
Found 11 products.
Lupenone
CAS:Lupenone analytical standard provided with chromatographic purity, to be used as reference material for qualitative determination.Formula:C30H48OPurity:(HPLC) ≥95%Color and Shape:PowderMolecular weight:424.71Lupenone
CAS:LupenoneFormula:C30H48OPurity:By hplc: consistent with structure (Typical Value in Batch COA)Color and Shape:SolidMolecular weight:424.70151LUPENONE
CAS:Lupenone is a natural product isolated from Rhizoma Musae and has good anti-diabetic activity,and has anti-inflammatory activity.lupenone were potent PTP1BFormula:C30H48OPurity:98% - 99.78%Color and Shape:SolidMolecular weight:424.7Lupenone (1 mg/mL in Ethyl Acetate)
CAS:Formula:C30H48OColor and Shape:Single SolutionMolecular weight:424.7Lupenone
CAS:Controlled ProductLupenone is a polyphenolic compound that is found in the roots of the plant Pueraria lobata. It has been shown to inhibit the proliferation of human skin cancer cells and induce apoptosis. The mechanism for this inhibition may be due to the inhibition of acetyl-CoA carboxylase (ACC), which is an enzyme that catalyzes the conversion of acetyl-CoA to malonyl-CoA, and thus inhibits lipid biosynthesis. In addition, lupenone also inhibits epidermal growth factor receptor (EGFR) activation by suppressing transcription-polymerase chain reaction activity and reducing EGFR protein expression. This agent also induces regression analysis data in mice with skin cancer, which may be due to its ability to activate toll-like receptors on macrophages.Formula:C30H48OPurity:Min. 95%Molecular weight:424.7 g/mol








