CAS 169151-24-0
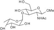
:Methyl 2-Acetamido-2-deoxy-3-O-(a-L-fucopyranosyl)-b- D-glucopyranoside
Description:
Methyl 2-Acetamido-2-deoxy-3-O-(α-L-fucopyranosyl)-β-D-glucopyranoside is a complex carbohydrate derivative, specifically a glycoside, that features both amino and acetyl functional groups. This compound is characterized by its structural components, which include a glucopyranoside backbone and a fucose sugar moiety linked through an oxygen atom. The presence of the methyl group indicates that it is a methyl glycoside, which can influence its solubility and reactivity. The acetylamino group contributes to its biological activity, potentially enhancing its interaction with biological systems, such as enzymes or receptors. This compound may be of interest in glycoscience and medicinal chemistry due to its potential applications in drug development, particularly in targeting specific biological pathways or in the synthesis of glycoproteins. Its unique structure may also provide insights into carbohydrate recognition processes and the development of carbohydrate-based therapeutics. As with many glycosides, its stability and reactivity can be influenced by environmental factors such as pH and temperature.
Formula:C15H27NO10
InChI:InChI=1/C15H27NO10/c1-5-9(19)11(21)12(22)15(24-5)26-13-8(16-6(2)18)14(23-3)25-7(4-17)10(13)20/h5,7-15,17,19-22H,4H2,1-3H3,(H,16,18)
SMILES:CC1C(C(C(C(O1)OC1C(C(OC)OC(CO)C1O)N=C(C)O)O)O)O
Synonyms:- Fuc1-α-3GlcNAc1-β-OMe
- Methyl 2-Acetamido-2-deoxy-3-O-(a-L-fucopyranosyl)--D-glucopyranoside
- methyl 2-(acetylamino)-2-deoxy-3-O-(6-deoxyhexopyranosyl)hexopyranoside
- Methyl 2-Acetamido-2-deoxy-3-O-(α-L-fucopyranosyl)-β- D-glucopyranoside
Sort by
Purity (%)
0
100
|
0
|
50
|
90
|
95
|
100
Found 5 products.
Methyl 2-acetamido-2-deoxy-3-O-(a-L-fucopyranosyl)-b-D-glucopyranoside
CAS:Methyl 2-acetamido-2-deoxy-3-O-(a-L-fucopyranosyl)-b-D-glucopyranosideFormula:C15H27NO10Purity:≥97%Molecular weight:381.38β-D-Glucopyranoside, methyl 2-(acetylamino)-2-deoxy-3-O-(6-deoxy-α-L-galactopyranosyl)-
CAS:Formula:C15H27NO10Purity:97%Color and Shape:SolidMolecular weight:381.3756Methyl 2-Acetamido-2-deoxy-3-O-(a-L-fucopyranosyl)-b-D-glucopyranoside
CAS:Controlled ProductApplications Methyl 2-Acetamido-2-deoxy-3-O-(α-L-fucopyranosyl)-β-D-glucopyranoside (cas# 169151-24-0) is a compound useful in organic synthesis.
Formula:C15H27NO10Color and Shape:NeatMolecular weight:381.38Methyl 2-acetamido-2-deoxy-3-O-(a-L-fucopyranosyl)-b-D-glucopyranoside
CAS:Methyl 2-acetamido-2-deoxy-3-O-(a-L-fucopyranosyl)-b-D-glucopyranoside is a glycosylation product of the natural sugar, galactose. It is a synthetic compound that has been modified with methyl groups and fluorine to form an active pharmaceutical ingredient. Methyl 2-acetamido-2-deoxy-3-O-(a-L-fucopyranosyl)-b-D-glucopyranoside can be used as a monosaccharide or oligosaccharide in the synthesis of complex carbohydrates.Formula:C15H27NO10Purity:Min. 95%Color and Shape:PowderMolecular weight:381.38 g/mol





