
CAS 1984814-42-7
:Sort by
Purity (%)
0
100
|
0
|
50
|
90
|
95
|
100
Found 3 products.
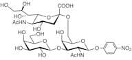
gal β(1-3)[Neu5Ac α(2-6)]galNAc-β-pNP
CAS:gal β(1-3)[Neu5Ac α(2-6)]galNAc-β-pNPFormula:C31H45N3O21Purity:≥95%Molecular weight:795.7Galβ(1-3)[Neu5Acα(2-6)]GalNAc-β-pNP
CAS:Formula:C31H45N3O21Purity:min. 97.0 area%(HPLC)Color and Shape:White to Light yellow to Green powder to crystalMolecular weight:795.70



