CAS 20830-75-5
:Digoxin
Description:
Digoxin is a cardiac glycoside derived from the leaves of the foxglove plant (Digitalis purpurea) and is primarily used in the treatment of various heart conditions, particularly atrial fibrillation and heart failure. It functions by inhibiting the sodium-potassium ATPase pump, leading to an increase in intracellular calcium concentrations, which enhances cardiac contractility. Digoxin is characterized by its relatively narrow therapeutic window, meaning that the difference between an effective dose and a toxic dose is small, necessitating careful monitoring of serum levels in patients. It is typically administered orally or intravenously and is known for its potential side effects, which can include gastrointestinal disturbances, visual changes, and arrhythmias. The substance has a molecular formula of C41H64O14 and a molecular weight of approximately 780.94 g/mol. Digoxin's pharmacokinetics are influenced by factors such as renal function and interactions with other medications, making individualized dosing essential for safe and effective use.
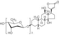
Formula:C41H64O14
InChI:InChI=1S/C41H64O14/c1-19-36(47)28(42)15-34(50-19)54-38-21(3)52-35(17-30(38)44)55-37-20(2)51-33(16-29(37)43)53-24-8-10-39(4)23(13-24)6-7-26-27(39)14-31(45)40(5)25(9-11-41(26,40)48)22-12-32(46)49-18-22/h12,19-21,23-31,33-38,42-45,47-48H,6-11,13-18H2,1-5H3/t19-,20-,21-,23-,24+,25-,26-,27+,28+,29+,30+,31-,33+,34+,35+,36-,37-,38-,39+,40+,41+/m1/s1
InChI key:InChIKey=LTMHDMANZUZIPE-PUGKRICDSA-N
SMILES:O[C@@]12[C@@](C)([C@H](CC1)C3=CC(=O)OC3)[C@H](O)C[C@]4([C@]2(CC[C@]5([C@]4(C)CC[C@H](O[C@H]6C[C@H](O)[C@H](O[C@H]7C[C@H](O)[C@H](O[C@H]8C[C@H](O)[C@H](O)[C@@H](C)O8)[C@@H](C)O7)[C@@H](C)O6)C5)[H])[H])[H]
Synonyms:- (3beta,5beta,12beta)-3-{[2,6-dideoxy-beta-D-ribo-hexopyranosyl-(1->4)-2,6-dideoxy-beta-D-ribo-hexopyranosyl-(1->4)-2,6-dideoxy-beta-D-ribo-hexopyranosyl]oxy}-12,14-dihydroxycard-20(22)-enolide
- (3beta,5beta,8xi,9xi,12beta)-3-{[2,6-dideoxy-beta-D-ribo-hexopyranosyl-(1->4)-2,6-dideoxy-beta-D-ribo-hexopyranosyl-(1->4)-2,6-dideoxy-beta-D-ribo-hexopyranosyl]oxy}-12,14-dihydroxycard-20(22)-enolide
- (3β,5β,12β)-3-[(O-2,6-Dideoxy-β-<span class="text-smallcaps">D</smallcap>-ribo-hexopyranosyl-(1→4)-O-2,6-dideoxy-β-<smallcap>D</smallcap>-ribo-hexopyranosyl-(1→4)-2,6-dideoxy-β-<smallcap>D</span>-ribo-hexopyranosyl)oxy]-12,14-dihydroxycard-20(22)-enolide
- 12β-Hydroxydigitoxin
- Card-20(22)-enolide, 3-[(O-2,6-dideoxy-β-<span class="text-smallcaps">D</smallcap>-ribo-hexopyranosyl-(1→4)-O-2,6-dideoxy-β-<smallcap>D</smallcap>-ribo-hexopyranosyl-(1→4)-2,6-dideoxy-β-<smallcap>D</span>-ribo-hexopyranosyl)oxy]-12,14-dihydroxy-, (3β,5β,12β)-
- Card-20(22)-enolide, 3-[(O-2,6-dideoxy-β-D-ribo-hexopyranosyl-(1→4)-O-2,6-dideoxy-β-D-ribo-hexopyranosyl-(1→4)-2,6-dideoxy-β-D-ribo-hexopyranosyl)oxy]-12,14-dihydroxy-, (3β,5β,12β)-
- Cardigox
- Cardiogoxin
- Cardioxin
- Cardixin
- Cardoxin
- Chloroformic digitalin
- Coragoxine
- Cordioxil
- Davoxin
- Digacin
- Digicor
- Digitek
- Digitoxin, 12β-hydroxy-
- Digomal
- Digon
- Digosin
- Digoxin (FDA)
- Digoxin Nativelle
- Digoxina
- Digoxine
- Dilanacin
- Dixina
- Dokim
- Dynamos
- Eudigox
- Fargoxin
- Grexin
- Homolle's digitalin
- Lanacordin
- Lanacrist
- Lanicor
- Lanikor
- Lanocardin
- Lanorale
- Lanoxicaps
- Lanoxin
- Lanoxin PG
- Lenoxicaps
- Lenoxin
- Longdigox
- Mapluxin
- Natigoxin
- NeoDioxanin
- Novodigal-Amp.
- Nsc 95100
- Purgoxin
- Rougoxin
- Stillacor
- Toloxin
- Vanoxin
- (3β,5β,12β)-3-[(O-2,6-Dideoxy-β-D-ribo-hexopyranosyl-(1→4)-O-2,6-dideoxy-β-D-ribo-hexopyranosyl-(1→4)-2,6-dideoxy-β-D-ribo-hexopyranosyl)oxy]-12,14-dihydroxycard-20(22)-enolide
- See more synonyms
Sort by
Purity (%)
0
100
|
0
|
50
|
90
|
95
|
100
Digoxin
CAS:Formula:C41H64O14Purity:>96.0%(HPLC)Color and Shape:White to Almost white powder to crystalineMolecular weight:780.95Digoxin, 96%
CAS:Digoxin is used in several cardiac pathologies such as atrial fibrillation and heart failure. This Thermo Scientific Chemicals brand product was originally part of the Alfa Aesar product portfolio. Some documentation and label information may refer to the legacy brand. The original Alfa Aesar producFormula:C41H64O14Purity:96%Color and Shape:Powder, WhiteMolecular weight:780.95Digoxin
CAS:Digoxin analytical standard provided with chromatographic purity, to be used as reference material for qualitative determination.Formula:C41H64O14Purity:(HPLC) ≥95%Color and Shape:PowderMolecular weight:780.95DIGOXIN CRS
CAS:DIGOXIN CRSFormula:C41H64O14Color and Shape:White. Whitish. Powder.Molecular weight:780.9385DIGOXIN FOR PEAK IDENTIFICATION CRS
CAS:DIGOXIN FOR PEAK IDENTIFICATION CRSFormula:C41H64O14Molecular weight:780.9385Digoxin
CAS:Other glycosides, natural or reproduced by synthesis, and their salts, ethers, esters and other derivativesFormula:C41H64O14Color and Shape:White Translucent Crystalline Powder CrystalsMolecular weight:780.94Digoxin
CAS:Formula:C41H64O14Purity:≥ 94.5% (anhydrous basis)Color and Shape:White to off-white powderMolecular weight:780.95Digoxin
CAS:Digoxin is a classical Na,K-ATPase inhibitor, with selectivity for the α2β3 isoform over the common α1β1 isoform, used in the treatment of atrial fibrillation and heart failure. Digoxin and other cardiac glycosides can inhibit hypoxia-inducible factor 1 (HIF-1)α synthesis and block tumor growth.Formula:C41H64O14Purity:95%~99%Molecular weight:780.949Digoxin
CAS:Controlled ProductApplications Cardiotonic.
Not a dangerous good if item is equal to or less than 1g/ml and there is less than 100g/ml in the package
References Aronson, J.K., et al.: Clin. Pharmacokinet, 5,137 (1980), Foss, P.R.B., Anal. Profiles Drug Subs., 9, 207 (1980),Formula:C41H64O14Color and Shape:NeatMolecular weight:780.94













