CAS 2152-98-9
:4-O-B-D-galactopyranosyl-D-*galactopyranose
Description:
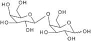
4-O-B-D-galactopyranosyl-D-galactopyranose, with the CAS number 2152-98-9, is a disaccharide composed of two galactose units linked by a glycosidic bond. This compound features a β-galactopyranosyl group at the 4-position of one galactose molecule, which contributes to its structural and functional properties. It is a white, crystalline solid that is soluble in water, reflecting the hydrophilic nature of its sugar components. The presence of hydroxyl groups in its structure allows for hydrogen bonding, influencing its solubility and reactivity. This disaccharide is of interest in various biochemical and nutritional studies, particularly in the context of carbohydrate metabolism and its potential prebiotic effects. Additionally, it may play a role in cell recognition processes and has implications in the food industry as a sweetener or functional ingredient. Its stability under different pH conditions and temperatures can vary, making it important to consider these factors in applications involving this compound.
Formula:C12H22O11
Sort by
Purity (%)
0
100
|
0
|
50
|
90
|
95
|
100
Found 2 products.
4-O-(β-D-Galactopyranosyl)-D-galactopyranose
CAS:Used as enzyme substrates, analytical standards and for in vitro diagnosticsFormula:C12H22O11Purity:Min. 95%Color and Shape:White Off-White PowderMolecular weight:342.29 g/mol

