CAS 21658-95-7
:Bis(1-methylethyl) P-(cyanomethyl)phosphonate
Description:
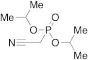
Bis(1-methylethyl) P-(cyanomethyl)phosphonate, with the CAS number 21658-95-7, is an organophosphorus compound characterized by its phosphonate functional group. This substance typically exhibits a colorless to pale yellow liquid form and is known for its relatively low volatility. It possesses a phosphorous atom bonded to two isopropyl groups and a cyanomethyl group, which contributes to its reactivity and potential applications in various chemical processes. The presence of the cyanomethyl group may impart certain biological activities, making it of interest in agrochemical and pharmaceutical research. Additionally, the compound's structure suggests it may participate in nucleophilic substitution reactions due to the electrophilic nature of the phosphorus atom. Safety data indicates that, like many organophosphorus compounds, it should be handled with care due to potential toxicity and environmental impact. Proper storage and handling protocols are essential to mitigate risks associated with exposure. Overall, Bis(1-methylethyl) P-(cyanomethyl)phosphonate is a compound of interest in both industrial and research settings.
Formula:C8H16NO3P
InChI:InChI=1S/C8H16NO3P/c1-7(2)11-13(10,6-5-9)12-8(3)4/h7-8H,6H2,1-4H3
InChI key:InChIKey=MQDIIJHQSUNBKA-UHFFFAOYSA-N
SMILES:P(OC(C)C)(OC(C)C)(CC#N)=O
Synonyms:- 2-Di(propan-2-yloxy)phosphorylacetonitrile
- Bis(1-methylethyl) P-(cyanomethyl)phosphonate
- Cyanomethanephosphonic acid diisopropyl ester
- Cyanomethylphosphonic acid diisopropyl ester
- Diisopropyl phosphonoacetonitrile
- Dipropan-2-Yl (Cyanomethyl)Phosphonate
- Phosphonic acid, (cyanomethyl)-, bis(1-methylethyl) ester
- Phosphonic acid, (cyanomethyl)-, diisopropyl ester
- Phosphonic acid, P-(cyanomethyl)-, bis(1-methylethyl) ester
- Diisopropyl cyanomethylphosphonate
Sort by
Purity (%)
0
100
|
0
|
50
|
90
|
95
|
100
Found 3 products.
Diisopropyl cyanomethylphosphonate, 97%
CAS:This Thermo Scientific Chemicals brand product was originally part of the Alfa Aesar product portfolio. Some documentation and label information may refer to the legacy brand. The original Alfa Aesar product / item code or SKU reference has not changed as a part of the brand transition to Thermo SciFormula:C8H16NO3PPurity:97%Color and Shape:Liquid, Clear colorless to pale yellowMolecular weight:205.19Diisopropyl Cyanomethylphosphonate
CAS:Controlled ProductFormula:C8H16NO3PColor and Shape:NeatMolecular weight:205.19


