CAS 29094-61-9
:Glipizide
Description:
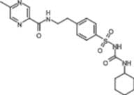
Glipizide is an oral hypoglycemic agent belonging to the sulfonylurea class, primarily used in the management of type 2 diabetes mellitus. Its chemical formula is C21H27N5O4S, and it functions by stimulating insulin secretion from the pancreatic beta cells, thereby lowering blood glucose levels. Glipizide is characterized by its relatively high solubility in organic solvents and moderate solubility in water, which influences its bioavailability and pharmacokinetics. The substance typically appears as a white to off-white crystalline powder. It has a molecular weight of approximately 445.54 g/mol. Glipizide is usually administered in tablet form and is known for its rapid absorption and onset of action, making it effective for controlling postprandial blood glucose levels. Common side effects may include hypoglycemia, weight gain, and gastrointestinal disturbances. As with any medication, it is essential for patients to follow their healthcare provider's guidance regarding dosage and administration to ensure safety and efficacy.
Formula:C21H27N5O4S
InChI:InChI=1S/C21H27N5O4S/c1-15-13-24-19(14-23-15)20(27)22-12-11-16-7-9-18(10-8-16)31(29,30)26-21(28)25-17-5-3-2-4-6-17/h7-10,13-14,17H,2-6,11-12H2,1H3,(H,22,27)(H2,25,26,28)
InChI key:InChIKey=ZJJXGWJIGJFDTL-UHFFFAOYSA-N
SMILES:S(NC(NC1CCCCC1)=O)(=O)(=O)C2=CC=C(CCNC(=O)C=3C=NC(C)=CN3)C=C2
Synonyms:- 1-Cyclohexyl-3-((P-(2-(5-Methylpyrazinecarboxamido)Ethyl)Phenyl)Sulfonyl)Ure
- 2-Pyrazinecarboxamide, N-[2-[4-[[[(cyclohexylamino)carbonyl]amino]sulfonyl]phenyl]ethyl]-5-methyl-
- Aldiab
- Cp 28720
- Digrin
- Dipazide
- Exylurea
- Glibenese
- Glibetin
- Glican
- Glidiab
- Glipid
- Glipizibe
- Glipizid
- Glipizida
- Glipizide(Usp)
- Gluco-Rite
- Glucolip
- Glucotrol
- Glucotrol Xl
- GlucotrolXL
- Glucozide
- Glupitel
- Glupizide
- Glyde
- Glydiazinamide
- Glynase
- K 4024
- K4024
- Melizide
- Mindiab
- Minidab
- Minidiab
- Minodiab
- N-(2-(4-(N-(Cyclohexylcarbamoyl)sulfamoyl)phenyl)ethyl)-5-methylpyrazine-2-carboxamide
- N-(2-{4-[(cyclohexylcarbamoyl)sulfamoyl]phenyl}ethyl)-5-methylpyrazine-2-carboxamide
- N-(4-[β-(5-Methylpyrazine-2-carboxamido)ethyl]benzenesulfonyl)-N'-cyclohexylurea
- N-[2-[4-(cyclohexylcarbamoylsulfamoyl)phenyl]ethyl]-5-methyl-piperazine-2-carboxamide
- N-[2-[4-[[[(Cyclohexylamino)carbonyl]amino]sulfonyl]phenyl]ethyl]-5-methyl-2-pyrazinecarboxamide
- N-[2-[4-[[[(Cyclohexylamino)carbonyl]amino]sulfonyl]phenyl]ethyl]5-methylpyrazinecarboxamide
- Napizide
- Ozidia
- Pyrazinecarboxamide, N-[2-[4-[[[(cyclohexylamino)carbonyl]amino]sulfonyl]phenyl]ethyl]-5-methyl-
- Samarium(III) ionophore I
- Semiglynase
- Sucrazide
- Tk 1320
- See more synonyms
Sort by
Purity (%)
0
100
|
0
|
50
|
90
|
95
|
100
Found 18 products.
Glipizide
CAS:Glipizide (CP 28720) is a short-acting, second-generation sulfonylurea with hypoglycemic activity.Formula:C21H27N5O4SPurity:99.67% - 99.75%Color and Shape:SolidMolecular weight:445.54Glipizide
CAS:Formula:C21H27N5O4SPurity:≥ 98.0% (dried basis)Color and Shape:White to off-white powderMolecular weight:445.54Glipizide 100 µg/mL in Acetonitrile
CAS:Formula:C21H27N5O4SColor and Shape:Single SolutionMolecular weight:445.54Glipizide
CAS:Formula:C21H27N5O4SPurity:>98.0%(T)(HPLC)Color and Shape:White to Almost white powder to crystalMolecular weight:445.54Glipizide
CAS:Controlled ProductApplications A sulfonylurea hypoglycemic agent. Used as an antidiabetic.
References Ambrogi, et al.: Arzneimittel-Forsch., 21, 200 (1971), Fuccella, et al.: J. Clin. Pharmacol., 13, 68 (1973), Brogden, R.N., et al.: Drugs, 18, 329 (1979), Lebovitz, H.E., et al.: Pharmacother., 5, 63 (1985)Formula:C21H27N5O4SColor and Shape:NeatMolecular weight:445.54Glipizide
CAS:Inhibitor of sulphonylurea receptor SUR1Formula:C21H27N5O4SPurity:Min. 98 Area-%Color and Shape:White PowderMolecular weight:445.54 g/molGlipizide
CAS:Sulfonamides used as drugsFormula:C21H27N5O4SColor and Shape:White Off-White Crystalline PowderMolecular weight:445.17838















