CAS 29883-15-6
:Amygdalin
Description:
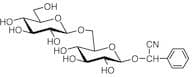
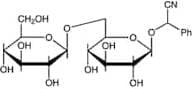
Amygdalin is a naturally occurring compound classified as a cyanogenic glycoside, primarily found in the seeds of fruits such as apricots, almonds, and cherries. Its chemical formula is C14H17NO6, and it is known for its potential to release cyanide when metabolized. Amygdalin appears as a white crystalline powder and is soluble in water and alcohol. It has been studied for its purported health benefits, particularly in alternative medicine, although scientific evidence supporting its efficacy is limited and controversial. The compound can be toxic in high doses due to the release of cyanide, which can lead to serious health risks. As a result, the consumption of amygdalin-rich seeds should be approached with caution. Regulatory agencies have raised concerns about its safety, and it is not approved as a treatment for any medical condition. Overall, while amygdalin has garnered interest for its historical use and potential therapeutic properties, its safety profile necessitates careful consideration.
Formula:C20H27NO11
InChI:InChI=1/C20H27NO11/c21-6-10(9-4-2-1-3-5-9)30-20-18(28)16(26)14(24)12(32-20)8-29-19-17(27)15(25)13(23)11(7-22)31-19/h1-5,10-20,22-28H,7-8H2/t10-,11+,12+,13+,14+,15-,16-,17+,18+,19+,20+/m0/s1
InChI key:InChIKey=XUCIJNAGGSZNQT-JHSLDZJXSA-N
SMILES:O([C@@H](C#N)C1=CC=CC=C1)[C@@H]2O[C@H](CO[C@@H]3O[C@H](CO)[C@@H](O)[C@H](O)[C@H]3O)[C@@H](O)[C@H](O)[C@H]2O
Synonyms:- (2R)-[(6-O-hexopyranosylhexopyranosyl)oxy](phenyl)ethanenitrile
- (2R)-{[6-O-(beta-D-glucopyranosyl)-beta-D-glucopyranosyl]oxy}(phenyl)ethanenitrile
- (R)-Amygdalin
- (αR)-α-[(6-O-β-<span class="text-smallcaps">D</smallcap>-Glucopyranosyl-β-<smallcap>D</span>-glucopyranosyl)oxy]benzeneacetonitrile
- <span class="text-smallcaps">D</span>-Amygdalin
- Amygdalin
- Amygdaloside
- Amygdaloside (disaccharide)
- Apricot Kernel Extract
- Benzeneacetonitrile, α-[(6-O-β-<span class="text-smallcaps">D</smallcap>-glucopyranosyl-β-<smallcap>D</span>-glucopyranosyl)oxy]-, (R)-
- Benzeneacetonitrile, α-[(6-O-β-<span class="text-smallcaps">D</smallcap>-glucopyranosyl-β-<smallcap>D</span>-glucopyranosyl)oxy]-, (αR)-
- D-Amygdalin (1.12428)
- Mandelonitrile-β-gentiobioside
- NSC 15780
- {[6-O-(beta-D-glucopyranosyl)-beta-D-glucopyranosyl]oxy}(phenyl)acetonitrile
- Benzeneacetonitrile, α-[(6-O-β-D-glucopyranosyl-β-D-glucopyranosyl)oxy]-, (αR)-
- D-Amygdalin
- (αR)-α-[(6-O-β-D-Glucopyranosyl-β-D-glucopyranosyl)oxy]benzeneacetonitrile
- Benzeneacetonitrile, α-[(6-O-β-D-glucopyranosyl-β-D-glucopyranosyl)oxy]-, (R)-
- D-Amygdalin hydrate
- benzeneacetonitrile,alpha-((6-o-beta-d-glucopyranosyl-beta-d-glucopyranosyl)
- LAETRILE
- benzeneacetonitrile,alpha-((6-o-beta-d-glucopyranosyl-beta-d-glucopyranosyl)ox
- (r)-alpha-((6-o-beta-d-glucopyranosyl-beta-d-glucopyranosyl)oxy)benzeneaceto
- (r)-oxy)
- BENZENEACETONITRILE-[(6-O-BETA-D-GLUCOPYRANOSYL-BETA-D-GLUCOPYRANOSYL)OXY]-, (R)-
- (r)-y)
- 6-O-BETA-D-GLUCOSIDO-BETA-D-GLUCOSIDE
- D-MANDELONITRILE 6-O-BETA-D-GLUCOSIDO-BETA-D-GLUCOSIDE D-MANDELONITRILE BETA-GENTIOBIOSIDE
- D-MANDELONITRILE-BETA-D-GLUCOSIDO-6-BETA-D-GLUCOSIDE
- D-MANDELONITRILE-BETA-GENTIOBIOSIDE
- GLUCOPRUNASIN
- MANDELONITRILE GENTIOBIOSIDE
- (r)-alpha-((6-o-beta-d-glucopyranosyl-beta-d-glucopyranosyl)oxy)benzeneacetonit
- See more synonyms
Sort by
Purity (%)
0
100
|
0
|
50
|
90
|
95
|
100
Found 17 products.
Amygdalin
CAS:Formula:C20H27NO11Purity:>97.0%(HPLC)Color and Shape:White to Almost white powder to crystalMolecular weight:457.43D-Amygdalin hydrate, 96%
CAS:A benzylic glycoside that has been used as an antineoplastic agent This Thermo Scientific Chemicals brand product was originally part of the Alfa Aesar product portfolio. Some documentation and label information may refer to the legacy brand. The original Alfa Aesar product / item code or SKU refereFormula:C20H27NO11Purity:96%Color and Shape:White, Crystals or powder or crystalline powder or fused solidMolecular weight:457.43D-Amygdalin, 98%
CAS:A benzylic glycoside that has been used as an antineoplastic agentFormula:C20H27NO11Purity:98%Color and Shape:Crystaline powderMolecular weight:457.43Amygdalin
CAS:Amygdalin analytical standard provided with chromatographic purity, to be used as reference material for qualitative determination.Formula:C20H27NO11Purity:(HPLC) ≥90%Color and Shape:PowderMolecular weight:457.44Benzeneacetonitrile,a-[(6-O-b-D-glucopyranosyl-b-D-glucopyranosyl)oxy]-, (aR)-
CAS:Formula:C20H27NO11Purity:95%Color and Shape:SolidMolecular weight:457.4285Amygdalin
CAS:Formula:C20H27NO11Purity:(HPLC) ≥ 98.0%Color and Shape:White crystalline powderMolecular weight:457.44Amygdalin
CAS:Amygdalin induces apoptotic cell death in human DU145 and LNCaP prostate cancer cells by caspase-3 activation through down-regulation of Bcl-2 and up-regulation of Bax,suggests it may offer a valuable option for the treatment of prostate cancers.Formula:C20H27NO11Purity:95%~99%Color and Shape:PowderMolecular weight:457.432Amygdalin
CAS:Amygdalin (Laetrile) offers antitumor, anti-inflammatory, analgesic properties; enhances chondrocyte health; triggers prostate cancer cell apoptosis.Formula:C20H27NO11Purity:98.89%Color and Shape:SolidMolecular weight:457.43Amygdalin
CAS:Natural glycosideFormula:C20H27NO11Purity:≥ 95.0 % (HPLC)Color and Shape:PowderMolecular weight:457.44(R)-Amygdalin
CAS:Stability Hygroscopic
Applications (R)-Amygdalin is used in the treatment of psoriasis, an immune-mediated illness. Also it has been shown to induce apoptosis in human cervical cancer cells.
References Perez, J. et al.: Future Med. Chem., 5, 799 {2013); Chen, Y. et al.: Immunopharm. Immunotoxicol., 35, 43 (2013);Formula:C20H27NO11Color and Shape:NeatMolecular weight:457.43D-Amygdalin
CAS:Cyanogenic glycoside that is a component of bitter almonds and apricot pits. Used to differentiate bacteria on the basis of carbohydrate fermentation abilities.
Formula:C20H27NO11Purity:Min. 98 Area-%Color and Shape:White PowderMolecular weight:457.43 g/molD-Amygdalin extrapure, 97%
CAS:Formula:C20H27NO11Purity:min. 97%Color and Shape:White to off-white, Crystalline powderMolecular weight:457.44















