
CAS 307297-39-8
:L-Alanyl-L-glutamyl-L-aspartyl-glycine
Description:
L-Alanyl-L-glutamyl-L-aspartyl-glycine, with the CAS number 307297-39-8, is a synthetic peptide composed of four amino acids: alanine, glutamic acid, aspartic acid, and glycine. This peptide is characterized by its specific sequence, which influences its biological activity and interactions. It is typically soluble in water, making it suitable for various biochemical applications. The presence of multiple amino acid residues allows for potential interactions with receptors and enzymes, which may be relevant in pharmacological studies or therapeutic applications. Peptides like this one can exhibit unique properties such as enhanced stability, bioactivity, and the ability to modulate physiological processes. Additionally, the structural configuration of the peptide can affect its conformation and function, making it an interesting subject for research in fields such as biochemistry, molecular biology, and drug development. Overall, L-Alanyl-L-glutamyl-L-aspartyl-glycine represents a complex molecule with potential implications in both scientific research and therapeutic contexts.
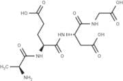
Formula:C14H22N4O9
InChI:InChI=1/C14H22N4O9/c1-6(15)12(25)17-7(2-3-9(19)20)14(27)18-8(4-10(21)22)13(26)16-5-11(23)24/h6-8H,2-5,15H2,1H3,(H,16,26)(H,17,25)(H,18,27)(H,19,20)(H,21,22)(H,23,24)/t6-,7-,8-/m0/s1
SMILES:C[C@@H](C(=N[C@@H](CCC(=O)O)C(=N[C@@H](CC(=O)O)C(=NCC(=O)O)O)O)O)N
Synonyms:- Epithalon
- Epitalon
- L-alanyl-L-alpha-glutamyl-L-alpha-aspartylglycine
- Epithalon,EpithalonTetraPeptide
- Epitalon (Epithalon)
- Epithalon TetraPeptide
- Epithalon(Epitalon) acetate
- Epithalon, Epithalon Tetra Peptide
- O-AcetylEpitalonPeptide
- Epitalon, Epithalon TetraPeptide
- 9: PN: WO02090380 PAGE: 55 claimed protein
- Epitaron
- N-Acetyl Epitalon /N-Acetyl Epitalon Amidate
- Epitalon high quirty
- (S)-4-((S)-2-Aminopropanamido)-5-(((S)-3-carboxy-1-((carboxymethyl)amino)-1-oxopropan-2-yl)amino)-5-oxopentanoic acid
- Injectable Lyophillzed Powder Peptides Peptide Epitalon/Epithalon/Epithalone CAS 307297-39-8 10mg/Vial
- Glycine, L-alanyl-L-a-glutamyl-L-a-aspartyl-
- Glycine, L-alanyl-L-α-glutamyl-L-α-aspartyl-
- Epithalone
- Epithalon(Epitalon)
- L-Alanyl-L-α-glutamyl-L-α-aspartylglycine
- Epitalon 2mg/vial
- Eptaton Epithalon
- (4S)-4-[[(2S)-2-aminopropanoyl]amino]-5-[[(2S)-3-carboxy-1-(carboxymethylamino)-1-oxopropan-2-yl]amino]-5-oxopentanoic acid
- EPITHALON,EPITALON TETRAPEPTIDE
- EpithalonAcetate
- Pnc-27 Polypeptide Peptide
- ALAGLUASPGLY
- See more synonyms
Sort by
Purity (%)
0
100
|
0
|
50
|
90
|
95
|
100
Found 5 products.
(S)-4-((S)-2-Aminopropanamido)-5-(((S)-3-carboxy-1-((carboxymethyl)amino)-1-oxopropan-2-yl)amino)-5-oxopentanoic acid
CAS:(S)-4-((S)-2-Aminopropanamido)-5-(((S)-3-carboxy-1-((carboxymethyl)amino)-1-oxopropan-2-yl)amino)-5-oxopentanoic acidFormula:C14H22N4O9Purity:99%Molecular weight:390.35Glycine, L-alanyl-L-α-glutamyl-L-α-aspartyl-
CAS:Formula:C14H22N4O9Purity:99.97%Color and Shape:SolidMolecular weight:390.3459Epitalon
CAS:Epithalon (Epitalon) is a synthetic pineal peptide analog of epithalamin with potential applications in anti-aging and longevity research.Formula:C14H22N4O9Purity:99.97%Color and Shape:SolidMolecular weight:390.35Epithalon
CAS:Epithalon is a pineal secretory hormone that is synthesized in the brain and released into the bloodstream. It is a polypeptide that binds to specific cell-surface receptors and activates intracellular signaling pathways. Epithalon has been shown to be an effective treatment for chronic cough due to its ability to inhibit the production of the inflammatory mediators, such as leukotrienes and prostaglandins. Epithalon also regulates immune responses, which may be due to its ability to down-regulate the expression of pro-inflammatory cytokines.
Formula:C14H22N4O9Purity:Min. 95%Color and Shape:PowderMolecular weight:390.35 g/mol




