CAS 41575-94-4
:Carboplatin
Description:
Carboplatin is a platinum-based chemotherapy drug primarily used in the treatment of various cancers, including ovarian cancer, testicular cancer, and bladder cancer. It is a second-generation platinum compound, structurally related to cisplatin but with a different ligand, which enhances its therapeutic profile and reduces certain side effects. Carboplatin is characterized by its ability to form DNA cross-links, leading to the inhibition of DNA replication and ultimately triggering apoptosis in cancer cells. Its solubility in water allows for intravenous administration, and it is typically given in cycles to maximize efficacy while minimizing toxicity. Common side effects include myelosuppression, nausea, vomiting, and renal toxicity, although these are generally less severe compared to cisplatin. The drug's effectiveness is often influenced by the presence of specific biomarkers in tumors, and it is frequently used in combination with other chemotherapeutic agents to enhance treatment outcomes. Carboplatin's mechanism of action and its relatively favorable side effect profile make it a valuable option in oncological therapies.
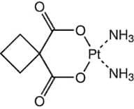
Formula:C6H12N2O4Pt
InChI:InChI=1/C6H8O4.2H2N.Pt/c7-4(8)6(5(9)10)2-1-3-6;;;/h1-3H2,(H,7,8)(H,9,10);2*1H2;/q;2*-1;+4/p-2/rC6H10N2O4Pt/c7-13(8)11-4(9)6(2-1-3-6)5(10)12-13/h1-3,7-8H2
InChI key:InChIKey=OLESAACUTLOWQZ-UHFFFAOYSA-L
SMILES:O=C1C2(C(=O)[O-][Pt+2]([NH3])([NH3])[O-]1)CCC2
Synonyms:- (SP-4-2)-Diammine[1,1-cyclobutanedicarboxylato(2-)-κO,κO′′]platinum
- 1,1-Cyclobutanedicarboxylic acid, platinum complex
- Carbomedac
- Carboplatin
- Carboplatinum
- Carbosin
- Cbdca
- Cycloplatin
- Diammin[cyclobutan-1,1-dicarboxylato(2-)-O,O']platin
- Jm 8
- Nsc 201345
- Nsc 241240
- Paraplat
- Paraplatin
- Platinum, diammine[1,1-cyclobutanedicarboxylato(2-)-κO,κO'']-, (SP-4-2)-
- Platinum, diammine[1,1-cyclobutanedicarboxylato(2-)]-, (SP-4-2)-
- Ribocarbo L
- cis-Diammine(1,1-cyclobutanedicarboxylato)platinum
- cis-Diammine(1,1-cyclobutanedicarboxylato)platinum(II)
- cis-Diammine(cyclobutane-1,1-dicarboxylate-O,O′)platinum(II)
- cis-Diammine[1,1-cyclobutanedicarboxylato(2-)]platinum
- cis-Diammineplatinum 1,1-cyclobutanedicarboxylate
- diamino[ciclobutano-1,1-dicarboxilato(2-)-O,O']platino
- diammine[cyclobutane-1,1-dicarboxylato(2-)-O,O']platine
- diammine[cyclobutane-1,1-dicarboxylato(2-)-O,O']platinum
- diamino[cyclobutane-1,1-dicarboxylato(2-)-kappa~2~O~1~,O~1~]platinum
- 1,1-Cyclobutanedicarboxylate diamine platinum(II)
- cis-(1,1-Cyclobutanedicarboxylato)diamineplatinum(II)
- 1,1-Cyclobutanedicarboxylatodiammineplatinum
- cyclobutane-1,1-dicarboxylic acid - platinum ammoniate (1:1:2)
- Platinum, diammine[1,1-cyclobutanedi(carboxylato-κO)(2-)]-, (SP-4-2)-
- platinum(2+) azanide cyclobutane-1,1-dicarboxylic acid (1:2:1)
- 6,8-dioxa-7$l^{2}-platinaspiro[3.5]nonane-5,9-dione
- ammonia
- 1,1-cyclobutanedicarboxylic acid, platinum(2+) salt (1:1), diammoniate
- diammine(1,1-cyclobutanedicarboxylato)-platinum(I
- Platinum, diamine(1,1-cyclobutanedicarboxylato(2-)-O,O')-,(SP-4-2)-
- cis-Diamine(1,1-cyclobutanedicarboxylato)platinum(II)
- 1-cyclobutanedicarboxylato)diammine-(cis-platinum(ii
- 1-cyclobutanedicarboxylato(2-)-o,o’)-diammine((sp-4-2)-platinu
- Carboplatin usp25
- (SP-4-2)-Diamimine[1,1-cyclobutanedi(carboxylato-kO)(2-)]platinum
- JM-8:NSC-241240
- DIAMMINE(1,1-CYCLOBUTANEDICARBOXYLATO)PLATINUM(II)
- CIS-DIAMMINE[1,1-CYCLOBUTANE-DICARBOYLATO]PLATINUM
- CIS-DIAMMINE-[1,1-CYCLOBUTANE-DICARBOXYLATO]PLATIN
- PARAPLATIN (CARBOPLATIN)
- (SP-4-2)-Diamrnine[1,1-cyclobutanedicarboxylato(2-)-O,O’]platinuln
- 1,1-CYCLOBUTANEDICARBOXYLATODIAMMINEPLATINUM(II) CARBOPLATIN
- CIS-DIAMMINE[1,1-CYCLOBUTANE-DICARBOXYLATO] PLATINUM
- CarboplatinUsp24
- diammine-1,1-cyclobutanedicarboxylateplatinumi
- Ercar
- 1,1-cyclobutanedicarboxylatediammineplatinum(ii)
- CarboplatinUsp28
- Carboplatin (100 mg)
- CARBONPLATIN
- 1,1-CYCLOBUTANEDICARBOXYLATODIAMMINEPLATINUM(II)
- CARBOPLATIN (DIAMMINE(1,1-CYCLOBUTANEDICARBOXYLATO)PLATINUM(II))
- 1,1-Cyclobutanedicarboxylatodiammineplatinum(II),99%CARBOPLATIN
- 1,1-cyclobutanedicarboxylate diammine platinum
- SP-4-2)-Diammine[1,1-cyclobutanedicar-boxylato-(2-)O,O’]platinum
- CIS-DIAMINE(1,1-CYCLOBUTANEDICARBOXYLATO)PLATINUM
- cis-(1,1-cyclobutanedicarboxylato)diammineplatinum
- cis-(1,1-cyclobutanedicarboxylato)diammineplatinum(ii)
- diammine(1,1-cyclobutanedicarboxylato)platinum
- Platinum, diammine1,1-cyclobutanedi(carboxylato-.kappa.O)(2-)-, (SP-4-2)-
- 1,1-CYCLOBUTANEDICARBOXYLATODIAMMINEPLATINUM(II), 99% USP CARBOPLATIN
- Carboplatin/cis-DiaMMine[1,1 cyclobutane dicarboxylato] platinuM
- Carboplatin99%
- See more synonyms
Sort by
Purity (%)
0
100
|
0
|
50
|
90
|
95
|
100
Found 17 products.
Carboplatin
CAS:Carboplatin is primarily used as an antitumor agent.Carboplatin is widely utilized as a chemotherapy drug to treat various types of cancer. It belongs to the group of platinum-based antineoplastic agents to interfere in DNA (deoxyribonucleic acid) repair. It is applied in combination other medicatioFormula:C6H12N2O4PtColor and Shape:White to off-white, PowderMolecular weight:371.26Carboplatin
CAS:CarboplatinFormula:C6H12N2O4PtPurity:99.8%Color and Shape:White To Off-WhiteMolecular weight:371.0445Carboplatin
CAS:Inorganic or organic compounds of precious metals, whether or not chemically defined; amalgrams of precious metals, nesoiFormula:C6H12N2O4PtColor and Shape:White PowderMolecular weight:371.0445Carboplatin
CAS:cis-Diammine(1,1-cyclobutanedicarboxylato)platinum(II)Formula:C6H12N2O4PtPurity:99%Molecular weight:371.25Carboplatin
CAS:Carboplatin (JM-8) is a cisplatin derivative, a DNA synthesis inhibitor.Formula:C6H12N2O4PtPurity:98% - 99.72%Color and Shape:White Crystalline PowderMolecular weight:371.25Carboplatin
CAS:CarboplatinFormula:C6H12N2O4PtPurity:≥98%Color and Shape:SolidMolecular weight:371.25Carboplatin
CAS:Formula:C6H12N2O4PtPurity:≥ 98.0% (anhydrous basis)Color and Shape:White or almost white crystalline powderMolecular weight:371.25Carboplatin
CAS:Formula:C6H12N2O4PtPurity:>98.0%(HPLC)Color and Shape:White to Light yellow powder to crystalMolecular weight:371.26Carboplatin-d4
CAS:Controlled ProductStability Hygroscopic
Applications Analog of Cisplatin with reduced nephrotoxicity. Antineoplastic.
References Harland, S.J., et al.: Cancer Res., 44, 1693 (1984), Smith, I.E., et al.: Cancer Treat. Rep., 69, 43 (1985), Lygidakis, N.J., et al.: Interferon Cytokine Res., 15, 467 (1995),Formula:C6H8D4N2O4PtColor and Shape:NeatMolecular weight:375.27Carboplatin
CAS:Applications Analog of Cisplatin with reduced nephrotoxicity. Antineoplastic.
References Harland, S.J., et al.: Cancer Res., 44, 1693 (1984), Smith, I.E., et al.: Cancer Treat. Rep., 69, 43 (1985), Lygidakis, N.J., et al.: Interferon Cytokine Res., 15, 467 (1995),Formula:C6H12N2O4PtColor and Shape:NeatMolecular weight:371.25Carboplatin - Bio-X ™
CAS:Carboplatin is an antineoplastic alkylating agent that is used in the treatment of ovarian cancer. This drug attaches alkyl groups to nucleotides leading to the formation of monoadducts. Carboplatin’s main mechanism of action is preventing DNA strands from separating for synthesis and transcription.Formula:C6H12N2O4PtPurity:Min. 95%Color and Shape:PowderMolecular weight:371.25 g/molCarboplatin
CAS:Platinum-based anti-cancer agent
Formula:C6H12N2O4PtPurity:Min. 95%Color and Shape:PowderMolecular weight:371.25 g/mol1,1-Cyclobutanedicarboxylatodiammineplatinum
CAS:Formula:C6H12N2O4PtPurity:97.0%Molecular weight:371.256














