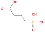
CAS 4378-43-2
:4-Phosphonobutyric acid
Description:
4-Phosphonobutyric acid, with the CAS number 4378-43-2, is an organophosphorus compound characterized by the presence of a phosphonic acid functional group. It features a four-carbon butyric acid backbone, with a phosphonate group attached to the fourth carbon. This compound is typically a white crystalline solid and is soluble in water, which enhances its utility in various applications. 4-Phosphonobutyric acid is known for its role as a herbicide and plant growth regulator, influencing metabolic processes in plants. Its mechanism of action often involves the inhibition of specific enzymes, leading to altered growth patterns. Additionally, it has been studied for its potential in agricultural practices due to its ability to affect plant physiology. Safety data indicates that, like many phosphonic acids, it should be handled with care, as it may pose environmental and health risks if mismanaged. Overall, 4-Phosphonobutyric acid is a significant compound in both chemical research and agricultural applications.
Formula:C4H6O5P
InChI:InChI=1/C4H9O5P/c5-4(6)2-1-3-10(7,8)9/h1-3H2,(H,5,6)(H2,7,8,9)/p-3
SMILES:C(CC(=O)[O-])CP(=O)([O-])[O-]
Synonyms:- 4-Phosphonobutanoic Acid
- 4-Phosphonatobutanoate
Sort by
Purity (%)
0
100
|
0
|
50
|
90
|
95
|
100
Found 3 products.
4-Phosphonobutanoic acid
CAS:4-Phosphonobutanoic acidFormula:C4H9O5PPurity:>98%Molecular weight:168.085024-Phosphonobutyric Acid
CAS:Formula:C4H9O5PPurity:>98.0%(T)Color and Shape:White to Almost white powder to crystalineMolecular weight:168.08



