CAS 555-31-7
:Aluminum isopropoxide
Description:
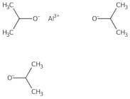
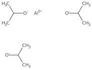
Aluminum isopropoxide, with the CAS number 555-31-7, is an organometallic compound characterized by its aluminum center bonded to three isopropoxide groups. It typically appears as a colorless to pale yellow liquid and is known for its hygroscopic nature, meaning it readily absorbs moisture from the air. This compound is soluble in organic solvents such as alcohols and ethers but is insoluble in water. Aluminum isopropoxide is primarily used as a precursor in the synthesis of aluminum oxide and as a catalyst in various chemical reactions, including the production of polymers and in sol-gel processes. It can also serve as a reagent in organic synthesis, particularly in the formation of aluminum alkoxides. Due to its reactivity, especially with water, it must be handled with care to avoid hydrolysis, which can lead to the formation of aluminum hydroxide and isopropanol. Safety precautions are essential when working with this compound, as it can be flammable and may pose health risks upon exposure.
Formula:C3H8OAl
InChI:InChI=1S/C3H8O.Al/c1-3(2)4;/h3-4H,1-2H3;
InChI key:InChIKey=XHODMTAOVMFHQJ-UHFFFAOYSA-N
SMILES:C(C)(C)O.[Al]
Synonyms:- 2-Propanol, Aluminum Salt (1:1)
- 2-Propanol, aluminium salt
- 2-Propanol, aluminum salt
- 2-Propanol, aluminum salt (3:1)
- A 1010
- AIP
- Aipd
- Aliso
- Aluminium Triisopropanolate
- Aluminium iso-Propoxide
- Aluminium isopropylate
- Aluminiumisopropylat
- Aluminiumtriisopropanolat
- Aluminum 2-propoxide
- Aluminum Isopropoxide
- Aluminum Tripropan-2-Olate
- Aluminum iso-Propoxide
- Aluminum isopropanolate
- Aluminum isopropioate
- Aluminum isopropoxide (1:3)
- Aluminum isopropylate
- Aluminum isopropylate (Al(OC3H7)3)
- Aluminum isopropylate (Al(OC<sub>3</sub>H<sub>7</sub>)<sub>3</sub>)
- Aluminum propoxide
- Aluminum sec-propanolate
- Aluminum triisopropoxide
- Aluminum triisopropylate
- Aluminum tris(iso-propoxide)
- Aluminum tris(isopropoxide)
- Aluminum tris(isopropylate)
- Aluminum tris(sec-propoxide)
- Aluminum(3+) isopropoxide
- Aluminum(III)isopropoxide
- Isopropanol aluminum salt
- Isopropyl alcohol, aluminum salt
- Manalox 130
- Padm
- Sym-Al 04
- Triisopropanolate d'aluminium
- Triisopropanolato De Aluminio
- Triisopropoxide, Aluminum
- Triisopropoxyaluminum
- Triisopropyl aluminate
- Triisopropyloxyaluminum
- Tris(isopropanolato)aluminum
- Tris(isopropoxy)aluminum
- ALUMINIUM TRIISOPROPOXIDE
- Aluminum tri-iso-propylate
- aluminum(ii)isopropylate
- Aiuminumisopropoxide
- ALUMINUM TRI-I-PROPOXIDE
- ALUMINUM I-PROPOXIDE
- Aluminum(II) isopropylate
- ALUMINIUM ISOPROPOXIDE
- ALUMINIUM ISO-PROPYLATE
- See more synonyms
Sort by
Purity (%)
0
100
|
0
|
50
|
90
|
95
|
100
Found 12 products.
Aluminum Isopropoxide
CAS:Formula:C9H21AlO3Purity:>98.0%(T)Color and Shape:White to Almost white powder to lumpMolecular weight:204.25Aluminum isopropoxide, 98+%
CAS:Reagent for the reduction of carbonyl compounds. Used in alcoholysis and ester exchange reactions. Also used in synthesis of higher alkoxides, chelates, and acrylates. Aluminum isopropoxide is a useful reagent in the synthesis of alkoxides, chelates and acrylates. It acts as an intermediate of pharmFormula:C9H21AlO3Purity:98+%Color and Shape:White, Granules and PowderMolecular weight:204.25Aluminum isopropoxide, 99.99+% (metals basis)
CAS:Aluminum isopropoxide is a useful reagent in the synthesis of alkoxides, chelates and acrylates. It acts as an intermediate of pharmaceutical products like isophytol, testosterone, progesterone and ethisterone. Also used as the material of aluminate coupling agent. It is also used in alcoholysis andFormula:C9H21AlO3Purity:99.99+%Color and Shape:White, Powder and/or granulesMolecular weight:204.25Aluminium(III) isopropoxide
CAS:Aluminium(III) isopropoxideFormula:Al·3C3H7OPurity:>99.99%Color and Shape:White SolidMolecular weight:204.24277Aluminium isopropoxide, 99%+
CAS:Formula:Al(OC3H2)7Purity:99.0 - 101.0 %Color and Shape:White to almost white powder or granulesMolecular weight:204.25Aluminum i-propoxide, 98+%
CAS:Aluminum i-propoxide, 98+%
Formula:AlOCH(CH3)2Purity:98+%Color and Shape:white pwdr.Molecular weight:204.25Aluminium(III) isopropoxide
CAS:Aluminium(III) isopropoxideFormula:·3C3H7O·AlPurity:98%Color and Shape:Solid-PowderMolecular weight:204.24277Aluminium isopropoxide
CAS:Formula:AlOCH(CH3)2Purity:≥ 98.0%Color and Shape:White to almost white powder or granulesMolecular weight:204.25Aluminum Isopropoxide
CAS:Controlled ProductApplications Aluminum isopropoxide is a compound used as an initiator for the polymerization of various compounds, such as lactides. Aluminum isopropoxide is also used as a reducing agent for the reduction of Cinnamaldehyde (C442020).
Not a dangerous good if item is equal to or less than 1g/ml and there is less than 100g/ml in the package
References Dubois, P., et al.: Macromolecules. 24, 2266 (1991); Hájek, J., et al.: Appl. Catal. A: Gen., 251, 385 (2003); Lou, X., et al.: Macromol. Rapid Comm., 23, 126 (2002)Formula:C9H24AlO3Color and Shape:NeatMolecular weight:207.27Aluminium Isopropoxide (powder) extrapure, 98%
CAS:Formula:C9H21O3AlPurity:min. 98%Color and Shape:White, Crystalline compoundMolecular weight:204.24









