CAS 56038-13-2
:Sucralose
Description:
Sucralose, with the CAS number 56038-13-2, is a synthetic sweetener derived from sucrose through a chlorination process that replaces three hydroxyl groups with chlorine atoms. This modification results in a compound that is approximately 600 times sweeter than sucrose, making it an effective low-calorie sugar substitute. Sucralose is stable under heat and retains its sweetness when used in cooking and baking, which distinguishes it from many other artificial sweeteners. It is non-caloric, as the body does not metabolize it for energy, and it is excreted unchanged. Sucralose is soluble in water, which enhances its application in various food and beverage products. It has a clean, sweet taste profile without the bitter aftertaste associated with some other sweeteners. Additionally, sucralose is generally recognized as safe (GRAS) by regulatory agencies, including the FDA, and is widely used in a variety of products, including soft drinks, baked goods, and tabletop sweeteners.
Formula:C12H19Cl3O8
InChI:InChI=1S/C12H19Cl3O8/c13-1-4-7(17)10(20)12(3-14,22-4)23-11-9(19)8(18)6(15)5(2-16)21-11/h4-11,16-20H,1-3H2/t4-,5-,6+,7-,8+,9-,10+,11-,12+/m1/s1
InChI key:InChIKey=BAQAVOSOZGMPRM-QBMZZYIRSA-N
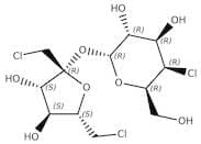
SMILES:O([C@]1(CCl)O[C@H](CCl)[C@@H](O)[C@@H]1O)[C@H]2O[C@H](CO)[C@H](Cl)[C@H](O)[C@H]2O
Synonyms:- 1',4,6'-Trichloro-galacto-sucrose
- 1,6-Dichlor-1,6-didesoxy-β-D-fructofuranosyl-4-chlor-4-desoxy-α-D-galaktose
- 1,6-Dichloro-1,6-dideoxy-β-<span class="text-smallcaps">D</smallcap>-fructofuranosyl 4-chloro-4-deoxy-α-<smallcap>D</span>-galactopyranoside
- 1,6-dichloro-1,6-dideoxy-β-D-fructofuranosyl 4-chloro-4-deoxy-α-D-galactose
- 1′,4,6′-Trichlorogalactosucrose
- 4,1',6'-Trichloro-4,1',6'-trideoxygalactosucrose
- 4,1′,6′-Trichloro-4,1′,6′-trideoxygalactosucrose
- 4-chloro-4-desoxy-α-D-galactose de 1,6-dichloro-1,6-didesoxy-β-D-fructofurannosyle
- 4-cloro-4-desoxi-α-D-galactosa de 1,6-dicloro-1,6-didesoxi-β-D-fructofuranosilo
- Acucar Light
- Aspasvit
- Predillon SU 600
- San Sweet SA 8020
- Sansweet
- Sansweet SU 100
- Sansweet SU 200
- Splenda
- Sucralose
- Sucrazit
- TGS
- α-<span class="text-smallcaps">D</smallcap>-Galactopyranoside, 1,6-dichloro-1,6-dideoxy-β-<smallcap>D</span>-fructofuranosyl 4-chloro-4-deoxy-
- 1,6-Dichloro-1,6-dideoxy-β-D-fructofuranosyl 4-chloro-4-deoxy-α-D-galactopyranoside
- 1,6-Dichloro-1,6-dideoxy-beta-D-fructofuranosyl-4-chloro-4-deoxy-alpha-D-galactopyranoside
- α-D-Galactopyranoside, 1,6-dichloro-1,6-dideoxy-β-D-fructofuranosyl 4-chloro-4-deoxy-
- 4,1',6',-trichloro-4,1',6'trideoxy-Pentagalactosucrose
- See more synonyms
Sort by
Purity (%)
0
100
|
0
|
50
|
90
|
95
|
100
Sucralose, 98%
CAS:Sucralose is a non-caloric sugar used as a sweetener that activates T1R2/T1R3 sweet taste receptors and modulates glucagon-like peptide-1, glucose-dependent insulinotrophic peptide, and incretin secretion. This Thermo Scientific Chemicals brand product was originally part of the Alfa Aesar product pFormula:C12H19Cl3O8Purity:98%Color and Shape:Crystals or powder or crystalline powder, White to pale creamMolecular weight:397.63Sucralose
CAS:Compounds containing an unfused furan ring, whether or not hydrogenated, in the structure, nesoiFormula:C12H19Cl3O8Color and Shape:White Off-White Crystalline PowderMolecular weight:396.014551,6-Dichloro-1,6-dideoxy-β-D-fructofuranosyl 4-chloro-4-deoxy-α-D-galactopyranoside
CAS:Formula:C12H19Cl3O8Purity:98%Color and Shape:SolidMolecular weight:397.6335Sucralose
CAS:Sucralose (Trichlorosucrose), an artificial sweetener, is not degraded by the body, so it is noncaloric.Formula:C12H19Cl3O8Purity:99.85% - 99.89%Color and Shape:SolidMolecular weight:397.63Sucralose
CAS:Formula:C12H19Cl3O8Purity:98.0 - 102.0 % (dried basis)Color and Shape:White crystalline powderMolecular weight:397.63Sucralose 1000 µg/mL in Acetonitrile
CAS:Formula:C12H19Cl3O8Color and Shape:Single SolutionMolecular weight:397.63Sucralose, USP grade
CAS:Formula:C12H19Cl3O8Purity:98.0 - 102.0 % (anhydrous basis)Color and Shape:White crystalline powderMolecular weight:397.63Sucralose
CAS:(2R,3R,4R,5R,6R)-2-(((2R,3S,4S,5S)-2,5-Bis(chloromethyl)-3,4-dihydroxytetrahydrofuran-2-yl)oxy)-5-chloro-6-(hydroxymethyl)tetrahydro-2H-pyran-3,4-diolFormula:C12H19Cl3O8Purity:98%Molecular weight:397.63Sucralose
CAS:Applications A low-calorie artificial sweetener
References Agresti, C., et al.: Eur. J. Pharm. Biopharm., 70, 226 (2008), Kidd, M., et al.: Am. J. Physiol., 295, G260 (2008),Formula:C12H19Cl3O8Color and Shape:NeatMolecular weight:397.63Sucralose
CAS:Sucralose, an artificial sweetener, was discovered in a research programme supported by Tate & Lyle to halogenate sucrose. The majority of ingested sucralose is not broken down by the body, so it is noncaloric. In the European Union, it has been given the E number E955. Sucralose is about 320 to 1,000 times sweeter than sucrose, three times as sweet as both aspartame and acesulfame potassium, and twice as sweet as sodium saccharin. It is stable under heat and over a broad range of pH conditions. Therefore, it can be used in baking or in products that require a long shelf life. The commercial success of sucralose-based products stems from its favorable comparison to other low-calorie sweeteners in terms of taste profile, stability, and safety.Formula:C12H19Cl3O8Purity:Min. 98 Area-%Color and Shape:White PowderMolecular weight:397.63 g/molSucralose extrapure, 98%
CAS:Formula:C12H19Cl3O8Purity:min. 98.0%Color and Shape:White to Almost white, Powder, Clear, ColourlessMolecular weight:397.63















