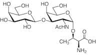
CAS 60280-58-2
:O-[2-(Acetylamino)-2-deoxy-3-O-β-D-galactopyranosyl-α-D-galactopyranosyl]-L-threonine
Description:
O-[2-(Acetylamino)-2-deoxy-3-O-β-D-galactopyranosyl-α-D-galactopyranosyl]-L-threonine, with CAS number 60280-58-2, is a complex glycosylated amino acid derivative. This compound features a threonine backbone that is modified with a galactopyranosyl moiety, which is further substituted with an acetylamino group. The presence of the β-D-galactopyranosyl and α-D-galactopyranosyl units indicates that it has glycosidic linkages, contributing to its structural complexity and potential biological activity. Such compounds are often studied for their roles in biological systems, including cell signaling and recognition processes. The acetylamino group may enhance solubility and stability, while the sugar components can influence interactions with proteins and other biomolecules. Overall, this substance is of interest in fields such as biochemistry and medicinal chemistry, particularly in the context of glycosylation and its effects on the properties of amino acids and peptides.
Formula:C18H32N2O13
InChI:InChI=1/C18H32N2O13/c1-5(9(19)16(28)29)30-17-10(20-6(2)23)15(12(25)8(4-22)31-17)33-18-14(27)13(26)11(24)7(3-21)32-18/h5,7-15,17-18,21-22,24-27H,3-4,19H2,1-2H3,(H,20,23)(H,28,29)/t5-,7?,8?,9+,10+,11+,12+,13+,14+,15-,17+,18+/m1/s1
InChI key:InChIKey=VWNOCGQJSBAAFO-RBMHVKAPSA-N
SMILES:N(C(C)=O)[C@@H]1[C@@H](O[C@@H]2O[C@H](CO)[C@H](O)[C@H](O)[C@H]2O)[C@@H](O)[C@@H](CO)O[C@@H]1O[C@@H]([C@@H](C(O)=O)N)C
Synonyms:- O-[2-(Acetylamino)-2-deoxy-3-O-β-D-galactopyranosyl-α-D-galactopyranosyl]-L-threonine
- L-Threonine, O-[2-(acetylamino)-2-deoxy-3-O-β-D-galactopyranosyl-α-D-galactopyranosyl]-
- Threonine O-linked TF antigen
- O-[2-(Acetamido)-2-deoxy-3-O-β-D-galactopyranosyl-α-D-galactopyranosyl]-L-threonine
- 3: PN: US20070237785 PAGE: 8 claimed protein
- Threonyl 2-acetamido-2-deoxy-3-O-(b-D-galactopyranosyl)-α-D-galactopyranoside
- Threonyl 2-AcetaMido-2-deoxy-3-O-(β-D-galactopyranosyl)-α-D-galactopyranos
- Threonyl 2-acetamido-2-deoxy-3-O-(b-D-galactopyranosyl)-a-D-galactopyranoside
- 3-O-b-D-galactosyl, N-acetyl-a-D-galactosaminyl-1-O-Threonine
- ide
- O-[2-Acetamido-2-deoxy-3-O-(beta-D-galactopyranosyl)-alpha-D-galactopyranosyl]-L-threonine
- 3-O-β-D-galactosyl, N-acetyl-α-D-galactosaminyl-1-O-Threonine
- Gal beta(1-3)GalNAc-alpha-Thr
- See more synonyms
Sort by
Purity (%)
0
100
|
0
|
50
|
90
|
95
|
100
Found 4 products.
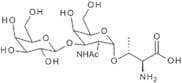
Galβ(1-3)GalNAc-α-Thr
CAS:Formula:C18H32N2O13Purity:>97.0%(HPLC)Color and Shape:White to Almost white powder to crystalMolecular weight:484.46gal β(1-3)galNAc-α-Thr
CAS:gal β(1-3)galNAc-α-ThrFormula:C18H32N2O13Purity:>97.0%Molecular weight:484.462-Acetamido-2-deoxy-3-O-(β-D-galactopyranosyl)-α-D-galactopyranosyl-1-O-L-threonine
CAS:2-Acetamido-2-deoxy-3-O-(b-D-galactopyranosyl)-a-D-galactopyranosyl-1-O-L-threonine is a fluorinated monosaccharide that is used as a building block for the synthesis of complex carbohydrates. This compound can be used to synthesize glycoproteins, glycolipids, and other glycoconjugates. 2-Acetamido-2-deoxy -3 -O-(b -D -galactopyranosyl) -a -D -galactopyranosyl 1 O L threonine has been modified with methylation and click chemistry reactions.
Formula:C18H32N2O13Purity:Min. 95%Color and Shape:White to light yellow solid.Molecular weight:484.45 g/mol




