CAS 68584-83-8
:Silicic acid, sodium salt, hydrolysis products with chlorotrimethylsilane and dichloroethenylmethylsilane
Description:
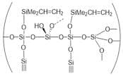
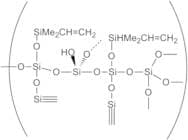
Silicic acid, sodium salt, hydrolysis products with chlorotrimethylsilane and dichloroethenylmethylsilane (CAS 68584-83-8) is a complex silicate compound that exhibits unique properties due to its silicate backbone and the presence of various functional groups. This substance typically appears as a white to off-white powder or solid and is soluble in water, forming a colloidal solution. It is characterized by its ability to form siloxane bonds, which contribute to its stability and reactivity. The presence of sodium ions enhances its solubility and facilitates interactions with other compounds. This material is often used in applications such as coatings, adhesives, and sealants due to its adhesive properties and ability to enhance the mechanical strength of formulations. Additionally, the hydrolysis products indicate that it can undergo further reactions in the presence of moisture, leading to the formation of silanol groups, which can participate in additional chemical reactions. Safety data should be consulted for handling and exposure guidelines, as with any chemical substance.
Formula:C3H9ClSi·C3H6Cl2Si·Unspecified
Synonyms:- Silicic acid, sodium salt, hydrolysis products with chlorotrimethylsilane and dichloroethenylmethylsilane
Sort by
The purity filter is not visible because current products do not have associated purity data for filtering.
Found 6 products.
Vinyl Q resin dispersion cSt 50,000-60,000 (20-25% Q resin)
CAS:Color and Shape:LiquidMolecular weight:604.976228228Vinyl Q resin dispersion cSt 4,500-7000 (20-25% Q resin)
CAS:Color and Shape:LiquidMolecular weight:604.976228228


