CAS 68832-13-3
:(-)-2-Pyrrolidinemethanol
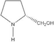
Description:
(-)-2-Pyrrolidinemethanol, with the CAS number 68832-13-3, is an organic compound characterized by its pyrrolidine ring structure, which is a five-membered nitrogen-containing heterocycle. This compound features a hydroxymethyl group (-CH2OH) attached to the second carbon of the pyrrolidine ring, contributing to its classification as an alcohol. It is typically a colorless to pale yellow liquid with a mild odor. The presence of the hydroxymethyl group imparts solubility in water and polar solvents, making it useful in various chemical applications. (-)-2-Pyrrolidinemethanol is known for its potential as a chiral building block in organic synthesis, particularly in the production of pharmaceuticals and agrochemicals. Additionally, it may exhibit biological activity, although specific pharmacological properties can vary. Safety data should be consulted for handling and storage, as with any chemical substance, to ensure proper precautions are taken. Overall, its unique structure and functional groups make it a valuable compound in synthetic organic chemistry.
Formula:C5H11NO
InChI:InChI=1S/C5H11NO/c7-4-5-2-1-3-6-5/h5-7H,1-4H2/t5-/m1/s1
InChI key:InChIKey=HVVNJUAVDAZWCB-RXMQYKEDSA-N
SMILES:C(O)[C@H]1CCCN1
Synonyms:- (-)-2-Pyrrolidinemethanol
- (2-(<span class="text-smallcaps">D</span>)-Pyrrolidinyl)methanol
- (2R)-2-(hydroxymethyl)pyrrolidinium
- (2R)-2-Hydroxymethylpyrrolidine
- (2R)-2-Pyrrolidinemethanol
- (2R)-Pyrrolidin-2-ylmethanol
- (R)-(-)-2-(Hydroxymethyl)pyrrolidine
- (R)-(-)-2-(Hydroxymethyl)pyrrolidine (R)-(-)-2-Pyrrolidinemethanol
- (R)-(-)-2-Hydroxymethylpyrrolidine
- (R)-(-)-Prolinol
- (R)-(-)-Pyrrolidine-2-methanol
- (R)-1-(Pyrrolidin-2-yl)methanol
- (R)-1-Pyrrolidin-2-ylmethanol
- (R)-2-Pyrrolidinemethanol
- (R)-Pyrrolidin-2-methanol
- (R)-pyrrolidin-2-ylmethanol
- 2-Pyrrolidinemethanol, (2R)-
- 2-Pyrrolidinemethanol, (R)-
- See more synonyms
Sort by
Purity (%)
0
100
|
0
|
50
|
90
|
95
|
100
Found 11 products.
D-Prolinol
CAS:Formula:C5H11NOPurity:>99.0%(GC)(T)Color and Shape:Colorless to Light yellow to Light orange clear liquidMolecular weight:101.15(R)-(-)-Prolinol, 98+%
CAS:This Thermo Scientific Chemicals brand product was originally part of the Alfa Aesar product portfolio. Some documentation and label information may refer to the legacy brand. The original Alfa Aesar product / item code or SKU reference has not changed as a part of the brand transition to Thermo SciFormula:C5H12NOPurity:98+%Color and Shape:Liquid or viscous liquid, Clear colorlessMolecular weight:102.16(R)-(-)-2-Pyrrolidinemethanol, 99% (D-Prolinol)
CAS:(R)-(-)-2-Pyrrolidinemethanol, 99% (D-Prolinol)
Formula:C5H11NOPurity:99%Color and Shape:light-yellow, viscous liq.Molecular weight:101.15(2R)-(-)-2-(Hydroxymethyl)pyrrolidine
CAS:(2R)-(-)-2-(Hydroxymethyl)pyrrolidineFormula:C5H11NOPurity:95%Color and Shape:Colourless to pale yellow. LiquidMolecular weight:101.14694d-Prolinol(oil)
CAS:Formula:C5H11NOPurity:96%Color and Shape:Viscous Liquid, LiquidMolecular weight:101.149










