CAS 69388-79-0
:Sulbactam pivoxil
Description:
Sulbactam pivoxil is a synthetic beta-lactamase inhibitor that is primarily used in combination with beta-lactam antibiotics to enhance their efficacy against resistant bacterial strains. It is a prodrug of sulbactam, which means it is converted into its active form in the body. The compound is characterized by its ability to inhibit a wide range of beta-lactamases, enzymes produced by bacteria that confer resistance to penicillins and cephalosporins. Sulbactam pivoxil is typically administered orally and is known for its favorable pharmacokinetic properties, including good absorption and distribution in the body. The substance is generally well-tolerated, with a safety profile similar to that of other beta-lactam antibiotics. Its chemical structure includes a beta-lactam ring, which is essential for its mechanism of action, and it is often used in clinical settings to treat infections caused by susceptible organisms, particularly in cases where resistance is a concern.
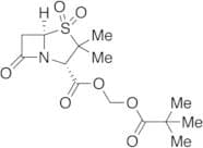
Formula:C14H21NO7S
InChI:InChI=1S/C14H21NO7S/c1-13(2,3)12(18)22-7-21-11(17)10-14(4,5)23(19,20)9-6-8(16)15(9)10/h9-10H,6-7H2,1-5H3/t9-,10+/m1/s1
InChI key:InChIKey=OHPVYKXTRACOSQ-ZJUUUORDSA-N
SMILES:C(OCOC(C(C)(C)C)=O)(=O)[C@@H]1N2[C@](S(=O)(=O)C1(C)C)(CC2=O)[H]
Synonyms:- (Pivaloyloxy)methyl penicillanate S,S-dioxide
- 4-Thia-1-azabicyclo[3.2.0]heptane-2-carboxylic acid, 3,3-dimethyl-7-oxo-, (2,2-dimethyl-1-oxopropoxy)methyl ester, 4,4-dioxide, (2S,5R)-
- 4-Thia-1-azabicyclo[3.2.0]heptane-2-carboxylic acid, 3,3-dimethyl-7-oxo-, (2,2-dimethyl-1-oxopropoxy)methyl ester, 4,4-dioxide, (2S-cis)-
- Cp 47904
- Sulbactam Pivoxil
- Unasyn Oral
- [(2,2-Dimethylpropanoyl)Oxy]Methyl 3,3-Dimethyl-7-Oxo-4-Thia-1-Azabicyclo[3.2.0]Heptane-2-Carboxylate 4,4-Dioxide
- [(2,2-dimethylpropanoyl)oxy]methyl (2S,5R)-3,3-dimethyl-7-oxo-4-thia-1-azabicyclo[3.2.0]heptane-2-carboxylate 4,4-dioxide
Sort by
Purity (%)
0
100
|
0
|
50
|
90
|
95
|
100
Found 9 products.
(2S,5R)-(Pivaloyloxy)Methyl 3,3-Dimethyl-7-Oxo-4-Thia-1-Azabicyclo[3.2.0]Heptane-2-Carboxylate 4,4-Dioxide
CAS:(2S,5R)-(Pivaloyloxy)Methyl 3,3-Dimethyl-7-Oxo-4-Thia-1-Azabicyclo[3.2.0]Heptane-2-Carboxylate 4,4-DioxideFormula:C14H21NO7SPurity:98%Molecular weight:347.384-Thia-1-azabicyclo[3.2.0]heptane-2-carboxylic acid,3,3-dimethyl-7-oxo-, (2,2-dimethyl-1-oxopropoxy)methyl ester,4,4-dioxide, (2S,5R)-
CAS:Formula:C14H21NO7SPurity:98%Color and Shape:SolidMolecular weight:347.3840Sulbactam Pivoxil
CAS:Formula:C14H21NO7SColor and Shape:White To Off-White SolidMolecular weight:347.38Sulbactam pivoxil
CAS:Sulbactam pivoxil is a prodrug of sulbactam, exhibiting oral bioavailability and superior absorption. Sulbactam functions as a β-lactamase inhibitor.Formula:C14H21NO7SPurity:99.68%Color and Shape:White SolidMolecular weight:347.38Sulbactam Pivoxil
CAS:Applications Sulbactam Pivoxil is a prodrug of the semi-synthetic β-lactamase inhibitor Sulbactam (S699195).
References Foulds, G. et al.: Curr. Chemother. Infect. Dis., Proc. Int. Congr. Chemother., 11, 353 (1980); Pei, Q. et al.: J. Chrom. B Anal. Technol. Biomed. Life Sci., 879, 2000 (2011);Formula:C14H21NO7SColor and Shape:NeatMolecular weight:347.38Sulbactam pivoxil
CAS:(2S,5R)-(Pivaloyloxy)methyl 3,3-dimethyl-7-oxo-4-thia-1-azabicyclo[3.2.0]heptane-2-carboxylate 4,4-dioxideFormula:C14H21NO7SPurity:98%Molecular weight:347.38Sulbactam pivoxyl
CAS:**Sulbactam pivoxyl** is a prodrug, which is a chemically modified form of sulbactam intended to improve its pharmacokinetic properties. Sulbactam itself is a beta-lactamase inhibitor of synthetic origin, specifically designed to combat antibiotic resistance by inhibiting the beta-lactamase enzymes produced by certain bacteria. These enzymes typically break down beta-lactam antibiotics, rendering them ineffective.Formula:C14H21NO7SPurity:Min. 95%Molecular weight:347.38 g/mol








