CAS 72432-03-2
:Miglitol
Description:
Miglitol is an oral antihyperglycemic agent primarily used in the management of type 2 diabetes mellitus. It belongs to the class of medications known as alpha-glucosidase inhibitors, which work by delaying the absorption of carbohydrates in the intestines, thereby reducing postprandial blood glucose levels. Chemically, miglitol is a polyhydroxylated iminosugar, characterized by its ability to inhibit the enzyme alpha-glucosidase, which is crucial for carbohydrate digestion. This inhibition leads to a slower release of glucose into the bloodstream after meals. Miglitol is typically administered in tablet form and is often used in conjunction with other antidiabetic medications to enhance glycemic control. Common side effects may include gastrointestinal issues such as flatulence, diarrhea, and abdominal pain, which are associated with its mechanism of action. Overall, miglitol is an effective option for managing blood sugar levels in individuals with type 2 diabetes, particularly when dietary control alone is insufficient.
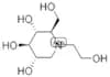
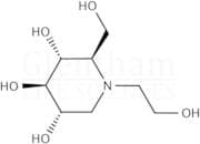
Formula:C8H17NO5
InChI:InChI=1S/C8H17NO5/c10-2-1-9-3-6(12)8(14)7(13)5(9)4-11/h5-8,10-14H,1-4H2/t5-,6+,7-,8-/m1/s1
InChI key:InChIKey=IBAQFPQHRJAVAV-ULAWRXDQSA-N
SMILES:C(CO)N1[C@H](CO)[C@@H](O)[C@H](O)[C@@H](O)C1
Synonyms:- (2R,3R,4R,5S)-1-(2-Hydroxyethyl)-2-(hydroxymethyl)-3,4,5-piperidinetriol
- (2R,3R,4R,5S)-1-(2-Hydroxyethyl)-2-(hydroxymethyl)piperidine-3,4,5-triol
- 1,5-dideoxy-1,5-[(2-hydroxyethyl)imino]-D-glucitol
- 1,5-didesoxi-1,5-[(2-hidroxietil)imino]-D-glucitol
- 1,5-didesoxy-1,5-[(2-hydroxyethyl)imino]-D-glucitol
- 3,4,5-Piperidinetriol, 1-(2-hydroxyethyl)-2-(hydroxymethyl)-, [2R-(2α,3β,4α,5β)]-
- BAY-m 1099
- Bay 1099
- Diastabol
- Glyset
- Miglitol
- Miglitose
- N-(2-Hydroethyl)deoxynojirimycin
- N-(2-Hydroxyethyl)-1-deoxynojirimycin
- N-(2-Hydroxyethyl)moranoline
- Plumarol
- Seibule
- (4R,5R)-1-(2-hydroxyethyl)-2-(hydroxymethyl)piperidine-3,4,5-triol
- 1-(2-hydroxyethyl)-2-(hydroxymethyl)piperidine-3,4,5-triol
- 3,4,5-Piperidinetriol, 1-(2-hydroxyethyl)-2-(hydroxymethyl)-, (2R,3R,4R,5S)-
- Glyset, N-(b-Hydroxyethyl)-1-deoxynojirimycin
- N-(B-HYDROXYETHYL)-1-DEOXYNOJIRIMYCIN
- See more synonyms
Sort by
Purity (%)
0
100
|
0
|
50
|
90
|
95
|
100
Found 12 products.
Miglitol
CAS:Formula:C8H17NO5Purity:>98.0%(GC)(T)Color and Shape:White to Almost white powder to crystalMolecular weight:207.233,4,5-Piperidinetriol, 1-(2-hydroxyethyl)-2-(hydroxymethyl)-,(2R,3R,4R,5S)-
CAS:Formula:C8H17NO5Purity:98%Color and Shape:SolidMolecular weight:207.2243Miglitol
CAS:Miglitol (BAY1099) is an alpha-Glucosidase Inhibitor with antihyperglycemic activity.Formula:C8H17NO5Purity:99.75% - 99.88%Color and Shape:White To Pale-Yellow Powder SolidMolecular weight:207.22Miglitol
CAS:Controlled ProductApplications A potent α-glucosidase inhibitor. A new antidiabetic drug.
References Lembcke, B., et al.: Digestion, 31, 120 (1985), Yoshikuni, Y., et al.: J. Pharmacobio-Dyn., 11, 356 (1988),Formula:C8H17NO5Color and Shape:NeatMolecular weight:207.22N-(b-Hydroxyethyl)-1-deoxynojirimycin
CAS:Inhibitor of α-glucosidase with applications in diabetes therapy for control of post-prandial blood glucose fluctuations. The compound inhibits the digestive breakdown of complex carbohydrates to absorbable monosaccharides and smoothens hyperglycaemic peaks in type 2 diabetes mellitus. It also possesses anti-obesity effects thanks to activation of brown adipose tissue and increasing energy expenditure.
Formula:C8H17NO5Purity:Min. 95%Color and Shape:White PowderMolecular weight:207.22 g/molMiglitol
CAS:(2R,3R,4R,5S)-1-(2-Hydroxyethyl)-2-(hydroxymethyl)piperidine-3,4,5-triolFormula:C8H17NO5Purity:98%Molecular weight:207.22Miglitol extrapure, 98%
CAS:Formula:C8H17NO5Purity:min. 98%Color and Shape:White to off white, PowderMolecular weight:207.22











